ABSTRACT
Finite element analysis was performed for a split-type CFRP bicycle frame, which was designed to apply a compression molding process with carbon fiber prepreg for a conventional bicycle. An epoxy adhesive material for joining the frames was selected by the extent of stress at joint interfaces. The split-type bicycle frame was then formed and its weak parts examined by the boundary conditions according to reliability tests. The results verified the reliability of the bicycle frame after modification of these weak parts. The finished product was manufactured by using this developed split-type bicycle frame.
-
KEYWORDS: Split, Carbon composite, Bicycle frame, Finite element analysis, Manufacture
-
KEYWORDS: 분할, 탄소복합재, 자전거 프레임, 유한요소해석, 제조
1. 서론
최근 자전거에 대한 수요가 꾸준하게 증가하는 추세이다. 소비자들은 고품질, 기능 및 디자인 등 질적 향상을 원하고 있으며, 알루미늄이나 탄소섬유 등 경량 소재를 이용한 자전거의 수요가 증가하고 있다.
1
자전거에서 프레임이 차지하는 비중은 원가기준으로 45%이고 무게기준으로 60%이며 자전거 불량의 25%가 프레임에서 발생한다.
2 자전거의 디자인 수준을 결정하는데 가장 큰 비중 또한 프레임이 차지하고 있다. 자전거 프레임을 단소복합재 파이프로 대체하면 강재 파이프 대비 55%, Al 합금 파이프 대비 30% 정도 경량화가 가능하다.
3
본 연구에서, 고생산성 경량 탄소복합재 자전거 프레임의 설계와 유한요소 해석을 수행하고 시제품을 제작하였다.
2. 분할형 프레임
2.1 분할형 프레임 구조
본 연구에서 설계하고자 하는 자전거 프레임의 형태는 일반 보급형 자전거의 프레임 디자인을 이용하였다. 금형을 이용한 탄소섬유 프리프래그 (Prepreg)의 압축성형이 가능하도록, 자전거 프레임을 좌우 분할형으로 설계하였다. 좌우 분할형 자전거 프레임을 성형 후, 에폭시 접작체를 이용하여 접합하고자 한다.
Fig. 1에 분할형 자전거 프레임의 구조를 나타낸다.
Fig. 1Split-Type bicycle frame 3D model
Fig. 2Carbon composite specimens
2.2 탄소섬유 프리프래그 적층 방법
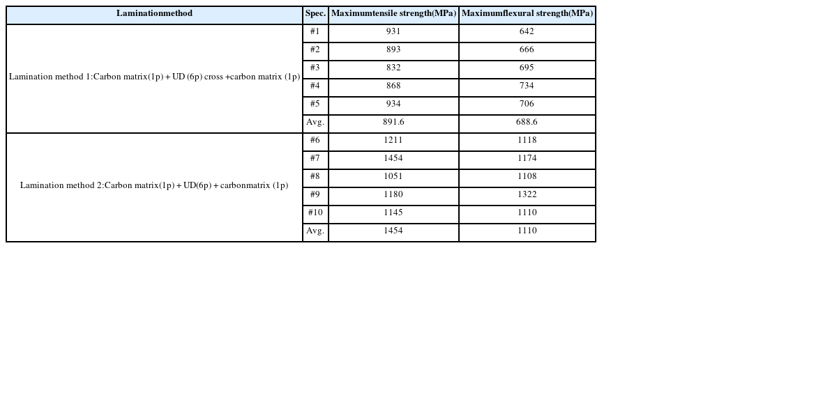
분할형 자전거 프레임에 적용할 탄소섬유 프리프래그는 적층 방법에 따라 기계적 특성이 다르게 나타나며 각도에 따라서 굽힙에 대한 특성이 다르다.
4,5 프레임에 적용할 탄소섬유 프리프레그의 적층 방법을 결정하기 위하여 물성시험을 하였다. 탄소섬유 프리프래그의 물성을 인장강도 600 MPa 이상, 굴곡강도 500MPa이상으로 설정하였다.
2
격자모양의 Carbon Matrix
6 프리프래그와 단방향의 UDT-300
7 프리프래그를 2가지 방법으로 적층하여 제작하였다. 적층한 탄소섬유 프리프래그의 시편을 제작하여 인장시험 (ASTM D638
8)과 굴곡시험 (ASTM D790
9)을 실시하였다. 시험 결과를
Table 1에 나타낸다. 적층방법 1과 2는 모든 시험에서 인장강도와 굴곡강도를 만족하였다. 시험 결과를 바탕으로 적층방법 1과 2를 분할형 자전거 프레임 설계에 적용하였다.
Table 1Property evaluation results of the laminate method
Table 1
Lamination method |
Spec. |
Maximum tensile strength (MPa) |
Maximum flexural strength (MPa) |
Lamination method 1: Carbon matrix (1p) + UD (6p) cross + carbon matrix (1p) |
#1 |
931 |
642 |
|
#2 |
893 |
666 |
|
#3 |
832 |
695 |
|
#4 |
868 |
734 |
|
#5 |
934 |
706 |
|
Avg. |
891.6 |
688.6 |
Lamination method 2: Carbon matrix (1p) + UD(6p) + carbon matrix (1p) |
#6 |
1211 |
1118 |
|
#7 |
1454 |
1174 |
|
#8 |
1051 |
1108 |
|
#9 |
1180 |
1322 |
|
#10 |
1145 |
1110 |
|
Avg. |
1454 |
1110 |
3. 구조해석
3.1 좌표계와 물성
자전거 프레임에 사용되는 탄소복합재는 이방성 재질이기 때문에 탄소섬유 배열 방향에 따라 이방성 적용을 위하여
Fig. 3과 같이 좌표계를 설정하였다. 유한요소해석에 적용된 물성을
Table 2에 나타낸다.
2,10,11
Fig. 3Coordinate system for the FE-analysis
Table 2Material properties
Table 2
|
Mat. |
Category |
X |
Y |
Z |
|
CFRP |
Young’s modulus (GPa) |
54 |
54 |
6.04 |
|
Shear modulus (GPa) |
15 |
15 |
3.424 |
|
Poisson’s ratio |
0.175 |
0.175 |
0.292 |
|
Density (kg/m3) |
1580 |
|
Tensile strength (MPa) |
891 |
Epoxy adhesive |
Young’s modulus (MPa) |
3000 |
|
Poisson’s ratio |
0.37 |
|
Density (kg/m3) |
1300 |
3.2 경계조건
3.2.1 비틀림 강성시험의 경계조건
비틀림 강성시험은 방향전환에 대한 응답성을 확인하기 위한 시험이다.
12 포크부에 좌·우측방향으로 400 N의 힘을 주어 변형량을 측정한다. 경계조건을
Fig. 4(a)에 나타낸다.
Fig. 4Boundary conditions of the bicycle frame tests
Table 3Results of Analysis
Table 3
|
Boundary conditions |
CFRP maximum stress (MPa) |
Epoxy adhesive maximum principal stress (MPa) |
CFRP maximum deformation (mm) |
CFRP safety factor |
|
Torsional stiffness test |
125.91 |
41.957 |
11.44 |
7.08 |
|
Bottom bracket stiffness test |
116.97 |
13.289 |
1.48 |
7.62 |
|
Pedaling load test |
103.00 |
35.54 |
- |
8.65 |
|
Vertical load test |
311.02 |
52.373 |
- |
2.86 |
|
Horizontal load test |
172.70 |
11.284 |
- |
5.16 |
Fig. 5Form type epoxy resin
3.2.2 바텀브라켓 강성시험
바텀브라켓 강성시험은 자전거의 페달링 하중이 발생할 때 프레임이 저항하는 정도를 측정하는 시험이다.
12 바텀브라켓에서 측면으로 150 mm 떨어진 위치에서 아래방향으로 1000 N의 힘을 주어 변형량을 해석한다. 경계조건을
Fig. 4(b)에 나타낸다.
3.2.3 페달링 하중시험
페달링 하중시험은 페달을 밟을 때 가해지는 힘에 의하여 발생하는 프레임의 응력을 분석하는 시험이다.
12,13 바텀브라켓에서 측면으로 175 mm, 전방 아래 45° 방향 150 mm에서 수직 아래 방향으로 1200 N의 힘을 가하여 응력을 측정한다. 경계조건을
Fig. 4(c)에 나타낸다.
3.2.4 수직 하중시험
수직하중시험은 승차자가 안장에 승차한 하중 1200 N을 기준으로 하중에 의하여 발생하는 프레임의 응력을 분석하는 시험이다.
12,13 시트튜브에서 70 mm 떨어진 지점에 하중 1200 N을 수직 아래방향으로 힘을 가하여 응력을 측정한다. 경계조건을
Fig. 4(d)에 나타낸다.
3.2.5 수평 하중시험
수평 하중시험은 제동 또는 장애물과 부딪히는 경우에 걸리는 하중에 대한 시험이다.
12,13 헤드튜브에 평행하며 앞 바퀴 축에서 전방으로 1200 N 하중을 가하여 응력을 측정한다. 경계조건을
Fig. 4(e)에 나타낸다.
Fig. 6Bicycle frame designs and mold
Fig. 7Bicycle frames reliability assessment
3.3 해석결과
유한요소해석 결과, 프레임에 걸리는 최대 등가응력은 311.02 MPa로 CFRP 인장강도의 34.91%이다. 접합면에서 발생한 최대 인장 주응력은 52.373 MPa이다. 이때 에폭시 접착제의 인장 등 가응력 (Effective Stress)는 111.83 MPa이다.
4. 분할형 프레임 시제품 제작
4.1 몰드 개발
확정된 분할형 프레임의 설계로부터 탄소섬유 프리프래그의 압축성형을 위한 몰드를 개발하였다. 소재 선정, 금형 구조 설계, 가공, 조립 및 시제품 제작을 진행하였다. 금형의 특성상 두께가 갑자기 변하는 부분은 성형품의 불량이 발생하기 쉽다. 두께의 급격한 변화를 최소화 하기 위하여 폼 (Form) 형태의 에폭시 수지를 넣었다.
4.2 분할형 자전거 프레임 성형 공정
탄소섬유 프리프래그의 압축성형은 일반적으로 프레스 하강속도, 경화온도, 가압력, 가압시간을 주요 공정조건으로 사용하고 있다.
Table 4와 같은 공정조건을 적용하여 분할형 자전거 프레임 시제품을 제작하였다.
Table 4Forming results of the process
Table 4
|
#1 |
#2 |
#3 |
#4 |
#5 |
|
Press speed (mm/sec) |
10 |
1 |
5 |
5 |
5 |
Upper mold (°C) |
Initial temperature |
80 |
70 |
80 |
70 |
80 |
Final temperature |
160 |
140 |
160 |
140 |
160 |
Under mold (°C) |
Initial temperature |
70 |
60 |
70 |
60 |
70 |
Final temperature |
150 |
130 |
150 |
130 |
150 |
|
Pressing force (Ton) |
600 |
600 |
400 |
400 |
400 |
|
Pressing time (min) |
100 |
100 |
30 |
20 |
20 |
|
Forming results |
F |
F |
○ |
○ |
F |
4.3 성형결과 분석
상금형은 140°C 이상, 하금형은 130°C 이상일 경우 탄소섬유 프리프레그의 과경화가 발생되었다. 또한 공정조건 #5와 같이 초기 성형 온도가 상금형은 70°C, 하금형은 60°C일 때 탄소섬유 프리프래그의 미경화가 발생하여 불량이 발생하였다. 공정조건 #3과 #4에서는 불량이 발생하지 않았다. 성형결과를 바탕으로 분할형 자전거 프레임의 성형 공정 조건을 공정조건 #3과 #4로 적용하였다.
4.4 분할형 자전거 프레임 신뢰성 평가
분할형 자전거 프레임 시제품의 신뢰성 평가를 진행하였다. 시제품의 신뢰성 평가 결과를
Table 5에 나타낸다. 신뢰성 평가시험 결과,
Fig. 8(a)와 같이 수직 하중시험에서 시트튜브 상부의 접합부에서 균열이 발생하여 시트튜브가 파손되었다.
Table 5Bicycle frames test results
Table 5
|
Test items |
Test result |
Requirements specification |
Remarks |
Pedaling load durability (Cycle) |
100000 |
100000 |
Pass |
Vertical load durability (Cycle) |
3 |
50000 |
Fail |
Horizontal load durability (Cycle) |
100000 |
100000 |
Pass |
Weight drop impact (mm) |
0.6 |
Permanent deformation below 30, no cracks and damage |
Pass |
Fig. 8Result of vertical load test
4.4.1 분할형 자전거 프레임 보완
유한요소해석을 통한 수직 하중시험의 에폭시접착제의 최대 주응력을 검토한 결과,
Fig. 8(b)와 같이 시트튜브 상부 끝부분의 에폭시 접착제에서 집중응력이 발생하였다. 에폭시 접착제에 가해진 집중하중으로 인한 균열이 발생하여 자전거 프레임 시트튜브 부의 접합이 재대로 이루어지지 않아 파손이 발생한 것으로 판단되었다. 이를 보강하기 위하여
Fig. 9(a)와 같이 시트튜브에 1 mm 두께의 탄소섬유 프리프레그를 보강하였다. 보강한 모델을 사용한 수직 하중시험의 유한요소해석 결과,
Fig. 9(c)와 같이 시트튜브는 최대 등가응력 274.6 MPa로 안전율 3.25을 나타내었다.
Fig. 9Reinforced seat tube
에폭시 접착제의 최대 주응력은 보강 전 대비 52% 감소한 24.819 MPa을 나타내었다. 보강한 자전거 프레임을 사용하여 신뢰성 평가를 진행 한 결과 모든 평가 항목을 만족하였다. 제작된 분할형 자전거 프레임 시제품에 상용 부품들을 적용하여 탄소복합재 자전거 완제품을 제작하였다.
Fig. 10Bicycle finished production
Table 6Results of reinforced seat tube
Table 6
|
Existing frame |
Reinforced frame |
External diameter of seat tube (mm) |
30 |
32 |
CFRP maximum stress (MPa) |
311.02 |
274.6 |
Epoxy adhesive maximum principal stress (MPa) |
52.373 |
24.819 |
|
CFRP safety factor |
2.86 |
3.25 |
|
Vertical load durability |
Fail |
Pass |
5. 결론
탄소복합재를 적용한 분할형 자전거 프레임을 설계하기 위하여 유한요소해석을 수행하였다. 기존 일반 보급형 자전거 디자인에 대해, 금형을 이용한 탄소섬유 프리프래그의 압축성형이 가능하도록, 좌우 분할형 프레임을 설계하였다. 유한요소 해석을 통하여 분할형 프레임의 응력, 변형량 및 강성을 분석하였다. 프레임 접합면에서 발생한 최대 주응력으로부터 분할형 자전거 프레임의 접합에 사용할 적정 에폭시 접착제를 결정하였다. 분할형 자전거 프레임의 시제품을 제작하였고, 신뢰성 평가를 통하여 분할형 자전거 프레임의 취약부를 발견하였다. 프레임의 취약부을 보강한 후 신뢰성 평가를 진행하여 신뢰성을 확보하였다. 제작된 분할형 자전거 프레임에 상용 부품을 적용하여 완제품을 제작하였다.
ACKNOWLEDGMENTS
본 연구는 산업통산자원부의 지역특화산업육성사업 기술개발(R&D) 사업 (A007600844)으로 수행된 연구결과 입니다.
REFERENCES
- 1.
KDB Daewoo Securities, “Leisure Sports,” Special Report, p. 9, 2015.
- 2.
Hankook ACM Co., Ltd., “Technological Development on Low-Cost, High-Productivity Manufacturing and Application of Carbon Composite Bicycle Frames,” Ministry of Trade, Industry and Energy, pp. 1-45, 2015.
- 3.
Lee, B. S., “Design and Manufacture of CFRP Pipe for Bicycle Frame,” J. Korean Soc. Precis. Eng., Vol. 20, No. 6, pp. 130-137, 2003.
- 4.
Kim, J. H., Ra, S. W., Kim, H. S., and Kim, J. H., “On Clamping Force Characteristics in M1.4 Subminiature Screw for CFRP Stacking Angles,” J. Korean Soc. Precis. Eng., Vol. 32, No. 6, pp. 517-521, 2015.
10.7736/KSPE.2015.32.6.517
- 5.
Kim, G. H., Ha, T. I., Lee, C. Y., Ahn, J. H., Kim, J. Y., et al., “CFRP Drilling Experiments: Investigation on Defect Behaviors and Material Interface Detection for Minimizing Delamination,” J. Korean Soc. Precis. Eng., Vol. 33, No. 6, pp. 453-458, 2016.
10.7736/KSPE.2016.33.6.453
- 6.
Kim, Y.-H., Lee, J.-W., Park, C.-W., and Park, S.-J., “Thermal Characteristics of Hybrid Composites for Application to Surfboard,” Journal of Ocean Engineering and Technology, Vol. 28, No. 4, pp. 351-355, 2014.
10.5574/KSOE.2014.28.4.351
- 7.
TB CARBON, “Product Information,” 2015.
- 8.
ASTM D638, “Standard Test Method for Tensile Properties of Plastics,” 2014.
- 9.
ASTM D790, “Standard Test Methods for Flexural Properties of Unreinforced and Reinforced Plastics and Electrical Insulating Materials,” 2010.
- 10.
HUNTSMAN, “Epibond® 100 A/B High-Temperature Epoxy Structural Adhesive,” 2013.
- 11.
Lee, J. E., Kang, D. S., Lee, B. H., Baek, J. H., Kim, J. G., et al., “A Study on Elastic Modulus Predictions and Dynamic Characteristics Analysis of Composite Structures using CFRP (HPWs193/RS1222),” J. Korean Soc. Precis. Eng., Vol. 33, No. 10, pp. 821-828, 2016.
10.7736/KSPE.2016.33.10.828
- 12.
Gwon, G. B. and Kim, H. G., “Analysis Study for the Bicycle Frame Structure Optimization,” Korea Institute of Sport Science, pp. 1-94, 2008.
- 13.
DIN EN 14781, “Mountain-Bicycles - Safety Requirements and Test Methods,” Public.Resource.Org, 2005.
Citations
Citations to this article as recorded by

- A Study on the Fracture Behavior of CFRP Specimen with Bonding Interface under Mode 1 Fatigue Load according to Laminate Angle
Gue-Wan Hwang, Jae-Won Kim, Jae-Ung Cho
International Journal of Precision Engineering and Manufacturing.2018; 19(12): 1829. CrossRef