ABSTRACT
The present research investigates the wear analysis on SCM440 and SUS410 alloys for a high- load roller chain. In this wear analysis test, we concentrate on two wear factors: wear loss and coefficient of friction. For the wear test, reciprocating and block on ling analyses were used to assess the variation of wear characteristics. The applied normal loads were fixed at 10, 30, and 50 N in all tests. The test results showed that the Rockwell hardness average value of the SCM440 alloy is near 29.6 HRC, and the coefficient of friction and the wear loss are 0.62 and 3.8 mg, respectively. In addition, wear behavior was evaluated using lubricating oil.
-
KEYWORDS: SUS410, SCM440, Wear-resistance, Coefficient of wear, Hardness
-
KEYWORDS: 스테인레스 강, 크롬몰리브텐 강, 내마모, 마모 계수, 경도
1. 서론
최근 기계부품의 다품종 소량생산 방법과 맞물려 시스템의 부품 손상 현상이 다수 발생되고 있는 시점에서 부품의 손상 유형을 보면 파손되거나 마모로 인해 닳아버린 경우로 나눌 수 있다. 특히 베어링, 기어, 축, 체인 등 마모성이 요구되는 부품에 대한 내마모 평가에 관한 연구들이 활발히 이루어 지고 있다. Archard의 마모 이론
1에 따르면 마찰력이란 하중이 표면을 수직으로 누르는 힘에 대한 저항력의 함수로 표시될 수 있으며, 즉 표층 경화정도에 따라 마모현상을 어느 정도 억제할 수 있다고 볼 수 있다.
항만 하역설비인 연속식하역기(Continuous Ship Unloader, CSU)의 버킷 엘리베이터에 사용되는 고부하 롱피치 롤러 체인(350 mm 피치)은 스프라켓과 맞물려 회전하면서 일정 각도를 가지고 다각형 형태로 회전을 하게 된다. 이때 각도 차이에 의해 롤러체인과 스프라켓이 접촉하면서 충격을 받게 되어 큰 진동과 소음이 발생하게 되며, 이 때 롤러체인의 각 부품 간에는 상대 충격 및 접촉으로 인해 마모가 발생하게 된다.
화물 하역을 하는데 중요한 역할을 하는 버킷과 롤러체인은 연속식하역기의 작업 시간과 운전자의 숙련도에 따라 수명이 결정되며, 롤러체인은 평균인장강도, 충격, 마모, 내구성 등의 요구 조건을 만족하여야 한다.
2-4
Nam과 Ahn은 SCM440강의 열처리 방법을 다르게 하여 열처리와 마모간의 특성을 비교 분석하는 연구를 하였다.
5,6 Kim은 일반 강재에 고주파 열처리와 표면처리를 통해 마모 특성의 변화에 관한 연구와 고주파 열처리한 강의 기계적 성질에 관한 연구를 수행하였다.
7,8
Dong은 엔지니어링 플라스틱과 강재간의 표면 거칠기를 다르게하여 마모 거동을 연구하였다.
9 일본 Tsubaki사에서 체인의 수명 연장을 위한 외부 코팅 및 특수 소재를 사용하여 수명 연장 및 경량화를 하고 있으며, 사용 환경을 고려하여 부식방지에 적합한 소재를 사용한 수명을 연장시키는 연구를 활발하게 진행하고 있다.
10
본 연구에서는 고부하 롱피치 롤러체인의 부품간 마모거동을 분석하고, 건식 마모 시험과 윤활마모 시험을 통해 마모 특성을 평가하고 적정 윤활유를 선정하고자 한다.
2. 시험 방법
2.1 고부하 롱피치 롤러체인의 마모 분석
Fig. 1은 고부하 롱피치 롤러체인의 부품을 나타낸 것으로, 플레이트, 롤러, 부쉬, 핀, 오 링, 실 시트 등으로 구성된다. 오링과 실시트는 버킷 엘리베이터가 구동할 때 석탄과 광물 등이 핀과 부쉬 사이로 들어 가지 못하게 하는 역할을 하는 중요한 부품중에 하나이다.
Fig. 1Roller chain components
스프라켓과 롤러체인이 접촉하면서
Fig. 2와 같이 롤러 표면에 연삭 마모가 발생하였으며, 고부하를 지지하는 부쉬와 핀에서의 마모 현상이 많이 발생하여 연신율이 2% 이상이 되어 교체시기가 짧아지는 실정이다.
11
Fig. 2Wear surface on roller
고부하 롱피치 롤러체인의 마모 발생 위치는 플레이트-핀, 핀-부쉬, 부쉬-롤러, 롤러-스프라켓으로 구동 간에 상대적인 운동에 의해 발생된다. 부품간 윤활은 핀의 내부 홀을 통해서 주기적으로 주입되며 윤활이 되지 않을 시 마모가 많이 발생된다. 롤러체인을 구성하는 부품들의 소재는
Table 1에 나타내었다.
Table 1Roller chain component materials
Table 1
|
Material |
Component |
|
SUS410 |
Pin, Bush, Roller |
|
SCM440 |
Plate, Sprocket |
2.2 재료 조성
SUS410과 SCM440 합금의 재료 조성을
Table 2에 나타내었으며,
Figs. 3과
4에는 각 재료의 열처리 조건을 나타내었다. SUS410은 1020°C에서 Quenching을 하고 60°C까지 냉각 이후 250°C에서 템퍼링을 하였으며, SCM440은 870°C에서 Quenching을 하고, 60°C까지 냉각 이후 610°C에서 템퍼링을 하였다. 본 논문에서는 열처리 하지 않은 시험편은 N H/T (Non Heat Treatment), 열처리 한 시험편은 H/T으로 표기하였다.
Table 2Chemical composition of SCM440 and SUS410
Table 2
|
Material |
C |
Si |
Mn |
Cr |
Others |
|
SUS410 |
0.15 |
1.0 |
1.0 |
11.5 |
- |
|
SCM440 |
0.42 |
0.25 |
0.85 |
1.05 |
- |
Fig. 3Heat treated condition of SUS410
Fig. 4Heat treated condition of SCM440
2.3 시험 조건
시험조건은 롤러체인의 소재를 사용하여 경도시험과 건식 및 윤활마모 시험을 수행하였다.
건식마모 시험편은 세로 30 mm, 가로 70 mm, 두께 4 mm로 제작하여
Fig. 5와 같이 왕복동(Reciprocating) 방법을 사용하여
Table 3의 조건으로 실험하였다. 상대재는 베어링강(SUJ2) 볼을 사용하였다.
Fig. 5Reciprocating
Table 3Conditions of wear test
Table 3
|
Wear test |
Reciprocating (Room temp.) |
Block on ring (Oil) |
Exp. Condition |
|
Speed |
5 Hz |
120 Rpm |
|
Time (s) |
1000 |
3900 |
|
Load (N) |
10 / 30 / 50 |
10 / 20 |
윤활마모 시험편은 Φ 40원형으로 제작하여,
Fig. 6과 같이 Block on Ring 방법으로
Table 3의 시험 조건을 사용하고 윤활유는
Table 4의 고부하 롱피치 롤러체인에 추천하는 3종을 택하여 실험하였다. 시험 소재는 열처리한 시험편(SUS410)과 블록(SUS410, SMC440)을 사용하여 조건별 5회씩 실험을 하여 결과를 분석하였다.
Fig. 6Block on ring
Table 4Specifications of lubricant used
Table 4
|
Oil type |
MULTIFAX EP2 |
CERAN HV |
GLEITIMO #805 |
|
Condition |
Base oil viscosity at 40°C (mm2/s) |
200 |
420 |
185 |
Consistency (1/10 mm) |
265-295 |
280-310 |
265-295 |
|
Price (5L/USD) |
20 |
60 |
300 |
3. 연구 결과 및 고찰
3.1 경도 시험
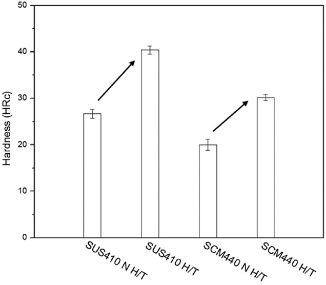
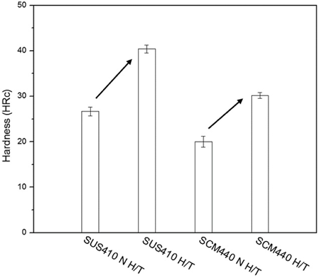
시험편을 사포 200-2000번으로 연마하여 조도를 일정하게 조절하여 실험하였다. 로크웰 경도기의 다이아몬드 압입자로 눌러 압입흔을 측정하여 경도를 산출하였다. 오차를 줄이기 위해 5회 측정하여 경도 값을
Fig. 7에 나타내었다. 열처리한 시편은 비열처리 시편 보다 약 50% 정도 경도가 향상되었다.
Fig. 7Results of Rockwell hardness test
3.2 건식마모 시험
건식마모 시험은 열처리한 시험편과 비 열처리 시험편 4종을 사용하였으며, 왕복동 시험방법으로 하중조건은 10, 30, 50 N으로 1000 s 동안 실험하여 각 조건에서 마찰계수(Friction Coefficient)와 마모량(Wear Loss)을 측정하였다. 마찰계수는 마찰 정도를 나타내는 것으로 물체의 재질 및 표면의 매끄러운 정도에 따라 달라질 수 있어서 시험편의 표면을 동일한 조도로 연마하여 사용하였다.
Fig. 8은 하중 변화에 따른 마모량을 나타낸 것으로, 전체적으로 열처리한 시편이 비 열처리한 시편에 비해 38-41% 감소하는 것으로 나타났다.
Fig. 8Graph of the load and wear loss
SUS410과 SCM440의 열처리한 시편은 30 N하중까지는 마모량이 유사하게 나타났으나 상대적인 고부하 상태(50 N)에서는 SCM440이 SUS410에 비해 약 10% 낮게 나타났다. 비열처리 조건에서는 SCM440이 모든 하중조건에서 일정한 차이를 가지며 낮게 나타났다.
Fig. 9 는 마모 트랙을 주사전자현미경(Scanning Electron Microscope, SEM) 으로 분석한 것이다. 비 열처리한 조건의 마모 트랙에서는 연삭 및 응착에 의해 뜯겨 나간 흔적을 많이 찾아 볼 수 있었다. SCM440 열처리한 시편의 마모 트랙은 다른 것에 비해 좁게 나타났으며, 이는 마모량이 작게 나타난 것과 일치하는 경향을 보인다.
Fig. 9Picture of the specimen and sliding surface
Fig. 10는 하중조건 50 N에서의 마찰계수를 나타낸 것으로, 비열처리한 시편은 강한 하중을 가하면서 표면 거칠기가 약해 뜯기는 현상에 의해 동 마찰계수가 높아져 초기에 높게 나타나다가 이 후 안정되는 것을 확인할 수 있다.
Fig. 10Graph of the time and coefficient of friction
열처리한 시편은 표면의 경도가 높아져 동 마찰계수가 될 때까지는 증가하다가 이후 일정한 값을 가지게 된다. 비 열처리와 열처리 조건의 마찰계수 차이는 SUS410은 약 0.2와 SCM440은 0.07로 앞서 분석한 마모량과 일치하는 경향을 나타내었다.
3.3 윤활마모 시험
롤러체인의 부품간 윤활은 매우 중요하며, 윤활이 되지 않을 시 급격한 마모로 인해 롤러체인의 사용 수명이 감소하게 되어, 적정 윤활유 선정은 매우 필수적이다. 본 연구에서의 윤활마모 시험은 열처리 된 SUS410 시험편을 사용하여 Block on Ring 방법으로 하중조건은 10, 20 N으로 3900 s동안 실험하여 각 조건에서 마찰계수, 마모량을 측정하였다.
12 블록은 SUS410, SCM440을 사용하여 윤활유에 따라 실험을 수행하였다.
Fig. 11에는 윤활유 종류에 따라 마모량을 나타내었으며, 마모량은 SUS410-SUS410보다 SUS410-SCM440이 적게 나타났다. 이는 건식 마모 시험의 SCM440에서 마모량이 적게 나타난 것과 일치하는 경향이다. 윤활유는 하중조건 10 N에서는 CERAN HV가 마모량이 가장 많으며, 소재 간에는 일정한 폭을 유지하였다. 하중조건 20 N에서는 MULTIFAX EP2, CERAN HV, GLEITIMO 순으로 마모량이 높게 나타났다. GLEITIMO 윤활유가 다른 윤활유에 비해 SUS410-SCM440에서 상대적으로 마모량이 적게 나타났다.
Fig. 11Results of lubrication wear loss
Fig. 12는 하중조건 10 N 에서의 마찰계수를 나타내었으며, 마찰계수는 평균 0.05 이하로 나타났다. 마찰계수의 평균은 MULTIFAX EP2, CERAN HV, GLEITIMO 순으로 높게 나타났으며, 20 N 하중조건에도 동일한 경향을 나타내었다. 마찰계수의 거동은 초기에는 점차적으로 증가하다가 동 마찰계수지점을 지나면서 안정적으로 변화하는 거동을 나타내었다. 윤활마모에는 GLEITMO가 마모량과 마찰계수가 낮아 마모 거동에 적합하다고 판단되지만, 경제성 고려시, MULTIFAX EP2가 적정한 윤활유로 판단된다.
Fig. 12Results of 10 N lubrication wear test
4. 결론
본 연구에서는 고부하 롱피치 롤러체인의 부품간 마모거동을 분석하고, 건식마모 시험과 윤활마모 시험을 통해 다음과 결과를 얻었다.
(1) 열처리를 통해 기존 대비 50% 향상된 경도를 확인하였다. 동일한 하중조건에서 SCM440 소재가 경도는 낮지만 마모 특성이 좋게 나타났으며, 열처리 시 마모량은 비열처리 대비 38-41% 감소하였다. SEM 분석을 통해 검증하였으며, 고 부하용으로는 SCM440 소재가 적합하다고 판단된다.
(2) 윤활마모 시험의 마모량은 SUS410-SCM440 시험 조건이 적게 나타났다. 윤활유는 GLEITMO가 가장 좋은 특성을 나타났으나, 경제성을 고려할 때 MULTIFAX EP2가 적정 윤활유로 판단된다.
(3) 고부하 롱피치 롤러체인의 마모거동을 분석하고, 마모 시험을 통해 소재 거동 및 정적 윤활유를 선정하였다. 향후 롤러체인 설계에 반영한다면 큰 도움이 될 것으로 판단된다.
ACKNOWLEDGMENTS
본 연구는 교육부와 한국연구재단의 지역혁신인력양성사업으로 수행된 연구결과이며(No. 2014H1C1A1067175) 일부 저자는 2013년도 정부(미래창조과학부) 재원으로 한국연구재단의 지원을 받아 수행된 연구임(No. 2011-0030058).
REFERENCES
- 1.
Bhushan, B. and Gupta, B. K., “Handbook of Tribology,” McGraw-Hill, pp. 977-1052, 1991.
- 2.
Kim, C. U., Park, J. C., Lee, D. W., and Song, J. I., “Study on Multibody Dynamic Analysis and Durability of Heavy Load Bucket Roller,” J. Korean Soc. Precis. Eng., Vol. 33, No. 11, pp. 919-925, 2016.
10.7736/KSPE.2016.33.11.919
- 3.
Kim, C. U., Lee, D. W., Park, S. B., and Song, J. I., “Dynamic Characteristic Evaluation of the Bucket Elevator Chain Pin and Plate,” J. Korean Soc. Precis. Eng., Vol. 34, No. 3, pp. 211-215, 2017.
10.7736/KSPE.2017.34.3.211
- 4.
Kim, C. U., Park, S. B., and Song, J.-I., “Study on the Load Analysis in Accordance with the Contact Position between a High-Load Long-Pitch Roller Chain and Sprocket,” Journal of the Korean Society of Manufacturing Process Engineers, Vol. 16, No. 1, pp. 51-57, 2017.
10.14775/ksmpe.2016.16.1.051
- 5.
Nam, K. S., Hyun, Y. K., Jo, C. Y., and Cho, Y. J., “Mass Effect on the Heat Treated Mechanical Properties of SCM440 (H) and SNCM439 Steel,” Journal of the Korean Society for Heat Treatment, Vol. 24, No. 1, pp. 10-15, 2011.
- 6.
Ahn, S.-H., Nam, K.-W., Kim, T.-I., Lee, M.-Y., and Kim, D.-K., “A Study on the Mechanical Properties by High-Frequency Induction Hardening of SCM440 Steel,” Journal of Ocean Engineering and Technology, Vol. 23 No. 2, pp. 74-80, 2009.
- 7.
Kim, M. H., Rhee, K. Y., Paik, Y. N., Hong, J. S., and Ham, Y. S., “A Study on the Wear Behavior of SPS5 Steel Surface-Treated by Induction Hardening Method,” J. Korean Soc. Precis. Eng., Vol. 23, No. 10, pp. 74-79, 2006.
- 8.
Kim, H.-S. and Kim, J.-H., “A Study on Mechanical Property of SM53C Steel by High Frequency Induction Hardening,” Journal of the Korean Society of Manufacturing Process Engineers, Vol. 9, No. 6, pp. 7-15, 2010.
- 9.
Dong, S., Chung, K.-H., and Lee, K.-S., “Effect of Surface Roughness of Counter Face on Tribological Characteristics of PTFE and UHMWPE,” Journal of the Korean Society of Tribologists and Lubrication Engineers, Vol. 27, No. 6, pp. 293-301, 2011.
10.9725/kstle.2011.27.6.293
- 10.
- 11.
KS B 1407, “Transmission Roller Chain,” 2013.
- 12.
ASTM D 2714-94, “Standard Test Method for Calibration and Operation of the Falex Block-on-Ring Friction and Wear Testing Machine,” 2004
Citations
Citations to this article as recorded by

- Study on Improvement of Catheter Tip Forming Process according to Plating Characteristics in Mold
Han Chang Lee, Jinhyuk Jung, Gyu Ik Lee, Woojin Kim, Gyu Man Kim, Bong Gu Lee
Journal of the Korean Society for Precision Engineering.2022; 39(9): 711. CrossRef