Skip to main navigation Skip to main content
  • E-Submission

JKSPE : Journal of the Korean Society for Precision Engineering

OPEN ACCESS
ABOUT
BROWSE ARTICLES
EDITORIAL POLICIES
FOR CONTRIBUTORS
SPECIAL

보행 중 유발되는 인체 좌우 불균형 개선을 위한 스마트 인솔 개발

The Development of Smart Insole for Improvement of Human Body Imbalance during Walking

Journal of the Korean Society for Precision Engineering 2018;35(1):53-59.
Published online: January 1, 2018

1 전북대학교 바이오메디컬공학부

2 ㈜제윤메디컬 연구소

1 Division of Biomedical Engineering, Jeonbuk University JFIFddDuckydqhttp://ns.adobe.com/xap/1.0/ Adobed     ! 1AQa"q 2#w8B36v7XRr$9bCt%u&Ws'(xy4T5fH  !1AQaq"2B Rbr#u67Ѳ3sTt5v8Sc$4ĂCÔ%UӅFV ?_Aנj- H>>,m*>fzp"TrKkr^r.|_&]|*vPuܶvoQ1mwVJUhu-I"=LniAƕ8"۲ k*ҿ[yu:.vUQ+)%F DHyVBk>Hy8jݹ q~9D4KRmzQ)^ʔ.J%k_tVi5NTjg!'ky|5asOȻ)R۸ߩFMԿ3L4j6dڜ#NIwUF]JqB/(FafJRzq3\G՛ ?~\ 6)6W4m[O^L0E&rRMض*C .]Unl-1 1r#Rj/&QɈ׉˩s6Rj=5Tg.y.·Pӡ:JJS:C8-2u]d&vUz;7p9 5VnL֢"y)">iי(IDDd| Yj0; LRfS:ktYK%*N2^m|&dğth":ey)uPQZW)gcC3Pv&MMWd&Ŵ۲mvTRoժM03*F3Yd6\8,\hݻ kߔi<k NTwSԪmljj[>->ptU%'LR>&EBH$MQAUx[$Z6vi&_a.KIQ{hyƒ j"JOC9eFҝfj;˚Ω<[3_m% lQ@4g=5$(J]Yc-OMq<Ǎ wSzڗ)k$7VIP붾ͯnV+卵*t]iЎD31~SA1éC2u)ʼnQn-Uoi3:grI8ؓWm*G zܕ)ZקJ}Y YlGeJ6cB2I NS3Q>k=KTBT]W6+SOXQgGR? telˊ%-Re\hѯ2TF"C/OJΩ6r[N.0{SpljjX1“jOsӥ;ҭhe}xu`Ք&.)yO̒ Fߑ.$Qw;9Iw2o+RVJMSOj[SoҌZ%;`d$blQ{Ro{Imڌ>3egf\O֝Uzx"䢸g+mv%Gʆ:|V[N'&ס-ޝ'kfE|K,G&˳98Juin/\\Qݿ̋v~Ǩ!rtWU d|E߫R4d}.qPw*Ӭv5YEcn~f5c%MTMkb-F>5JT,})QHg%{("ӔȸWMsYyWNRrkkJr0XドnͫT}r-jj,Ŕʍ\Q2Ri>v$5!]"JB2WɅ)]VԜUc8i|.jeRO6^V.¸ Q&#|ܶ-*uOG%JAtRZRr]FFG\۩w+?'zչSѧt jz>KW&ot{7P&2D;&\\>Q2JzܗAKSfeNn[jRrԕf6,q,F1tRfԗ>vֶևj-&R'Zi2=xv~Elbsvm8=ӛ"ū񕜈BȩlWau[]ٷBߨF~J!|Ipr3R̴#Yp)={7:G{+:\W}n|Q#%)7^-h"Ƒq:M*%J&$T軨I333׎g_- ucBwwjp[6i25$̏bU’ٱRv?G\~#Iͪb7<<}Ezt" q_Inw,7-d,G÷%T* Wg1"䥱kq/A.,_KhqŒxwvo u2ۥۧ.bQ}XκA$֣ +K״ZUNmڸII{.v{5z5ѮRme[moyƾd~cRݾK'j.\i&/S6f|b=5: p!6i_ 4j6=.si˧eƾtS^c.Y^RJVS-Vi3,esi08?H$GvZgg?gi䤟2adw릿:"۪lkSN>q-4kI܋ێe̊qۅgDoѨ9; #T.Q;7#~_Ufstb_'w~Xw1Xk,vcOt._}v}8"(4Z\ۘgk?J?bm_c!g{HZV]Fkk%~gEt)b秴vΰB|꽸}mp~E6ݹv;7P٤v+ri*3Ԣ|'O14_~7nP{7ZU\Vű[ +7󖱅o#:ǥŬ\|3r%TJX]V7ez¨Y]lc|O3V! R zbJ'PnGqVJ"19WVeOF埜EaEJωqCN5Z g-9[S<$sUK5b|7sn\7x qmv##FF\ w[=-43$^ooVSiXօv7iB۴yg>]Vf"r$J3""32!Zh[K%7GvNLs+4nB/B{vlsobJaҺJR:0g%&zR\ S3T[&ִor*ⷳc3ʊO[iozW٨%$gn:ܶWwFBԹjHP&z u&F2\f;ipW73 [; '_̽b;vib!oec dC-tS__$Xs]l9&z$2/N>%'[}b{h/{`{Ji׉׏ YJB/X%}.|+{(S:qz]4_Kѵo`^tY_4S#* ^zvݾMr+TrkQ g.8Ͽ^i>ӈǙvix>$o( ^qt*&t1oJVu-ql5U6jCЉmĻ*"?JT=K'O/|=Vo}l0b}}f?X[?/\JSBe,kP8ETJ==?.p5ފgbU9}ǶdNKk—_$8̸͓ۍ8Di\BԿ-1v{FF]|.^ۅ{vl12׏z7-R7wE?\nh\jN/Kձr_oBw"N QMBZqe-m:ӨSn6j4%!hQ;sv'm4kcM=!8\m[M4{SMliۇ%eֽR&N:{2A8)THLK3Zj[jPBx#BگMf:G1\`edcʮ?|w(-̮vXt,bW2;.ιNHRR#YwTM"<;mk\.foIDjmlJ;vxy7o7i\,KQŊ9d^Mmgc L*.T6tLeIuOH3SJQ3=F/ʿ<9\JM6mN6=<{xkP!F1QR[I$6ُimXu2An2yԒMU q f[IB-'䤯jYm52&JG\zд\~vdg QtHGXw&1Lw+nDEdC1w|YJmvP)HZ>i0BPβә?R:QO["]I_Jʏۍ>QKyu^bycBq4lXF~l [\*N>-J6,Gq(Zr5h]CwYӤU~ʶߑ u*SIv%ZfJ7)! FS*s_\|IŸZ)J ]ܜi4"z[+Z,MOZ))}|Ʀ(RUNIII.S'ˍO~˨rn}M)xxӕ0 eyҵ7YMAB]ӣU:/ѭ*6bcwP͵ "+qēVjŹO|GtY4V j[mLV M -m>",B$ GD1~j6O4|LxnNmqATNR3ε|DŽa[fmn-ڭ+FiK7Pcm;r5 l8r{#-]'nrFh2ruycb;pW=njRqRJ(d mnpckNnʹ+6]tz~E=ʕ l ZZ5jSi3#47.Lcfe`9؏v囜.F\-UZ:*0_<Νu9Lӵm&)_3\^ҹ3"1n1v_|uRʞͫr'iȧN_kH׺8xXrj=\МH)V\ˬ.Xʸ oVRC}ySU9/OBY먌5 ٿwޞ)rw8Ӫi5*5ZΗcGƱ !ZۄlmpjJ -l <R̵/JAպZuq\IdUS 48wXJJtcg4cI~aqߓwŷrm-v)G7yS^7H^-\mŌAq|"m9IBnF㏉9[N+mmy/!KKۉ%n +BdddfFF6FQRN-U5;Sv'm4kcM=Mn)\qιqUd9F%",6MGdT%-+~ f%+y֛^3SrF>6lc(֪vۊN;g._0Sѧ]ETWرkQKzGe9ʨsKA"yC y2\[5 rԭ7Gk5Mzw_4sM3hxЊ'oÍ5jsub )ͪ~tR2H]R͍>̋m6=%(˿(Wrr-܅y5(ܔJ޺YunW̹븹NsqK ]/QR#"ZMDfD|43Qw|._ԡSqTZBg??O Ϥ)/E_U|i}2 9Z?¹0:x'3,whǣ?C y-A~=daJј&M?D1_PS+Oi&;a @;Dž7[ zZC"bv:jjMQk$M RԸ3uA\=wI.AwC"^.{?-\NSiˏ"b}T/}q/ o.1M}R%:-ZniʒL$SgrBW*,Mw'N\ɇ{s\j]VryG'8f`}'N<*/`U숻z CwHq18J+vԕKss4R53/&XTt1bZƟo\=%nO)h$rBi-nKĪ^ ջڜlwkYm[̑+/QrZo%TQ;TLs($2C:s.%+eoNttq۰kK7O0m_t_pZ1SsSM7"mevFZ[w -FJ*T*jФQRg BSu|]g:ɵzjqwmltL.e3sRMچkSmjkmWœިm++¦'tILk*բQ D,PB\lI[9{%Gb R6öۍmX-MaʉA931cs..G4CujQտ[9 }G-xwl)IQz j Ó"rqe&=]꾧֎c)<kӳ+0JrRR3'TnXi^xMF Bު*tIL.[h"2"nKzZe'ZV/RrNYz]8죝n]Ķܩ>^Ժ]u-7^\mZjܣ9+Rmn ߑv?oꋘ?&ƪy^N4o=3-ؔ̿*`}V݁ ƒPu8%$ ݗ]wt;\y\>='OjPIp/nJU8{϶FNMsf"ίNqƹ(+ ݮF2Km |jܴZs%zf*eȫ?]4)I۵nR&FX + [jDh(#哑9q9Eծj8noǕZf\J-l&Z˫}`ӎhyrΉn\űn]9pʌӣ"׮Wt?N4_I_~54#/my1Xr*척aS#DT >q ssΛW;3oUaJSRMDgQnt:Ql,/ ܷfRqiM Ȼ>Cob;A>ڦWقM9X~/!'MW.}Vrߔꔵ!5|iB(0-zF=}okڢE$^wW~nokY߮\6՜̌{i-AF*9)\t9IV6۸5ZUF6R$ŨQIq砳YUZ]eyv >hI櫥N )&l JulwE1GDOuFN2| }馥uC1rޫV+^gdb&W[4<^e4YW,d|htͮsUM)۸8:{3d{AѢ)~ \#J=NdƮꮓ90 |1K$v*?мS ]i$J,C,SG?/_՜pMSƯM|mG1V1$~K>CSvkuj=&) -,yLjuFHK{c駗.SOua;BrSqj-ۍZ#'Jys7[g2z/.u4+XV2VQ.ޕ)$"(%)#Z7suZ%j }BǬݕe)Jvz8zJf:hIN|svO1O#IEcۍjݽ:SdὮvu^@:o^5cs>i/VqmVm]ؔܢn6'vޑ̗J4Wn@OlKbX ;n:hgJ9ŻyǑz8f܌q&Y fN0N;[69 rbׅC2/#kE l&2~èMR.*%g=Ft.%؝e8<.e=Uv{~㻏"EˑnvDѭ͜Lu3u0:U֝$[M5<:oi+V4V9 6nXvx&_ q Qqw3W:uϔ2yb/(ɳ|5zQiJ#r|Hw#.W?4aDŲ\ugWG;Cw鐢K|xg)##=O.dF˟jMUvWĻsr.z]kPc9"]R)mkfOd*uYf١RsB Aîh=k]ʳUrrZsq`d#r$/Ը3o^&lRWȍyuW̦Y4QDUMJ65ƒ[+ygk XK_±k#y:8(TJOSQhJt2.DR}"5[) r)6V6u5k:eXZmv𭤔!푊Q[qQ}ҹLE- 8qIZG|UM4j}Mܕ[Vwm{} Naqµ"ԈM zOpKѰ?IAD3Ir0'/q1itoB5{%wkOBn-ۜduqIzYK60{+DʕܞqIt";r1mG/\/ym[6JƫR \L=S=OT@Ix[TMm{>ݾտ֒ݸӉLYIx>+"JVNzx||5rI?C{oz8۹e\R-^\A2F R+N9 vlT]"ۭ d)t֞i #E2jB@׵=#/N+!ĕhx}I!cM`ąZ*ŻɄҒ߮Y.Z}='/oۙ3IpW̮hT7cTSuz9>B}΄&h!>lӵn~j˅IvU.'v'CSZw8QK3G> ,J59ٷ+HSg䧎hJdzvwv-cvxS5[̊n~ؿ%ַX?O0\6ne 6kn9.ϯ} *h 8_QhLݣ7q +=XBҲ5?[[)+F`=4 }B,sNg==u*Nj9k_GJ)+R~GSPBȒZ:(K]heL=vKPӢwq(NrG^ثϣ?#tC?.ͼ[ۅo؞y#%ǛjVyLSw%T*s92JTM%"YkQО.q)gCͲn8cgi6j1MѾ[{9h^vƘǚםidfi.^RHmg&rׇz:}݃}xT$ضk'5s-狶,\vpbPD،=Okf.c#cdz2FK5T!&)|ntD<+OŹU i-G[EE*FDfeaf2QƤM\UG_{ǹm%\yrGy:.\4wjPGUJޕUV7Do\7Vy_13w;[?c]H\$IJ,*L]3b%L{y.JRKG2sq,B6T}(#nW|km+q5] r㪍bJ@y{byz,b踊3ϻJ,'^xd،)JVw#.Vټc''ÝպWtbRؒJz۠8!o9IۄS95E9ؔ-e9JR{dmnッ<[~n${~Њ$W?&ՐY_? #a.ߑv?oꋘ?&ơ|y^N4o=3t=~7!/M3>n8W홎2M`Qx+ z qy8%]7_~540ۦ彷]Wq CѡwkďyF5Dum_}~P(5.(X,K9vᯐ?leB9;Jhm#3{CxGE-S{;@Fz˙]=O'!ɿ]' r`:7'2bЖ>Iy,/eTy/V<.H?UYY{\^#ѣr9^7?xoRȆ7EoS_&??zϾM?(~Q-K&>"~aߨ t7Emsϛ+?;fCr)fY+>z$tIkjn_>vnrֳki-˹l= t;'EyC¥|/BLwBJdgjۛ$s S1|ɍV%JI6KvəhzIlBYɒ|0"Sy0F>eo5W)O+X˻u';v)2vVq۳kۮws?UʑBǴYO漪e2MIjPAک\b1)DDؚKm6ZWΨgȕ۶yjڳ 2ضN[C[|r@9Jfo<_eI7q.|cÊV߷:i.:$ȋ)1%%)ADZCEBxJ0MJۥy(bNsKM9k43IwNt.\%N簤I'.j|ƃ2$grBEٌ\}9:v*!n7M(ɽ]7c@XxƱԨ37īf62cTTfFK]9wntQHͮvٱI/f|j=7}\_V5U^+:uljSȃY(XI.ȱmo1甅jڎIZ2>#\*:gY|4k\8ZwSqtyA!+];бޞKծË¥e)#5ap.QK^8VdU{*ѽL\=qmjnB5>{ Ӟ`v±5 ^k&O~Oshɷ,;6nOW>u6{RqS`)S%jp\ipdEBLfTWy$GIYw~䲭J.1vSY5z.V>^+Ǎvc.I[R{QsNR3ӎfhd>y?UJ*}~[e\i5U^͛E]G_FS(Iɿ]i8:4zj~շsW,ˆsy:%O}iur]iF5~3M:Ӟ#N06)4ߧgdawIotiz:1r5YDZLHBSi;NQc44la=Y kQIT*ըl:tq2(է9VO4뒳܂~2rq'nrVZŦ[t7\oլfb/mlpc.I8콚q^1iE~䰳mi[dۧw֤ICfdFeCsg:i| 6擣׋* 96lust^{%99UNRvaMܽo ammi$em4D6DD\nA%$$#}۷/ݕr99JMն[oT޲E"KTaP+HGkŴj5TM5xƱOS-k`ۛkٝWz;{kS}F;~q|~^_|euwnE'pSupUP)V]vE+t =ZRaVdG6= *.ϼnj9:UɷbېmF_tޫgHjVS'śǕًdkkѻ_]Kv?nT>)^e=Ar1'3ԔILyD?:-^in):{7.؂\.:V }#뺾.3r̸*xbFM aȵz 6SQ:ײj[ 8nn iFMw rR"5M5I旘35f^j='j:nNW.ʭocZvZKV^ɚJ.cM1ZI7E'6rg탸5oZ=[m Z`\hbMUR١Ȗĉ):Jin!_7Dй+f̷eKҷvͨBPR(V`y6tw*MRΝcB.ڭTnc;P$8nFvm4(D(R#R-L -2:FP lxZKQc6I("Km%$E, 78uXIFA$RQI$JbInG]c[ֹ:ZM+n^')JmJMJRu{e)7jQDw~%yQl}BZujSSf۩QZ+Dzhd5o%BIc'GZ?}΍:>Ɵivז-%݌J5MqGWTVʦh݇ܟ~Օ_6 n'{3~mϬj'J11OȻn߃r Qr\3y٘+WӍ'WxEs^O3 o~[|7>]]H9݇ZomT@]?5B:Z߂'`V_+/MSKX߆ޠk3?o7y:4R/7þ] iG߬aBRU&?r&/} cQߥGj2?C5Yśe7hU=?+ x龳f-܈czW^7p%-(\D4h{UK&ӡn^m]Fݢ:`δvj俜F+) y[{{ 7 tu>gvrěOj'5 iRg[ͶFjGe n~qT$ci ۚ0oԹc*jL[sVWqj\ݻ&6"WoK:cnWmrv)o>66(F>=W^bf#c zzʞtپy%mՉPël e}J.\Zk4ttt>oEM=q)hJjI=ͥ(%]脼_88ф;͛gWG;Cw~˘$4=uWdĜTثNDkiQL9U*O"4XP`02,Ge-k5$h>ܼ]3vr6!9RQPIVSnM(ۓ{>;/Qͱv{3&-[rc)ܚI$n{Sv3[j00)-D3z}MRzVQпj,T[uVs0\}Sid;r(ݝJ>æʺL&c[jPK0~d(FKÝW\m]GTcF|Iׁ)I3~#oX%vҦEݑؼ5Żv2qAZTE^..M{ʐfȏ2##.R}*KʛZz^ӞN*lPťLf\G6[WVQquV]XAi)5J!,$iJ6o$tPZc;Kjx_n3`qIelV~vLy{fn匋Ѿn%;zV.n'-ұdd2߽1bZksPe3TI9)$ԩIN9Vơ\=2885N\ p)/a柛w9g_lױo8ݷ iixJV& ғRi{N^_oAŮE6Y7I$Nk$|Q)-*4Z)^¸%4Qm [I%.c-OV+C֧R#%ѨCe3i;w$G+_dy| Fzj$DI(=OA gj%v/]8qԯNIS*֩',Q%\44ZZ%D|Ǧʴ6&vֵI$%8(ԬƾS&#Z. }6z?b/|Jl{ץv&mpx4Z$”ڝ4-H%dGKfM:sKSRWeJAn]>s6应-W9'H]'uȫYvgK^\czp|My\鏩w/ËQ.)]\QiS`8uL뚛̸=J"ܻi\å'-)54Ue]:K\퓡vK xwBqrH\*֕TnzC.mT=t-H]SČ~Nu╏NÅ3f|͡G~B+Xm[Q7U{9"~jgK Zoʰ7"qJ,ekSeNGgϳ] ^.6:s}_,%eRg<5⿨z{ZPun#jRІ.6g T.!]xa c#jN$Zpl̋H WZu8WmMRýsĮ?Mco~sx TU҆Q :KDG4n42.<3/'^?6/ܠڒ^yrrÿr2\D}}B]^E~^T cɛ7϶Y[<֞[7d}2%QPqOLEQR\CIsj1?\}%tJ0e~ *sk"*)&ۓEi#{1J8Hrt|'ܝRr8)=ƔN'RVz:cf]F7bZyZUȘ4x8,#JG̒?.W9XnO]KO]%]ƻ O5Γ/3qÓj؍/r̺rƵ 5\&m6h.xoeX[=<3%< lZ"2h\Z[&jW3ejm?k&[]ųj+{N{66leu_+lj]q* 7g*knأYv= q ەdxЬZ|%GUrQ3jLŒqET]1% qkXYūYc[7Ś]QY\jko\</Lc7+'hMSUc6qXyؙ~6#ѯv.0$BQi5YyIhɍiy=KD!n3Vm[V%W-B%swa97ajۗ m+9~]fKq|Ddaˑ0A]_v޺mM5* F-BYHJ5}q>ʉ.6hyDmpD׬'-_v5;5[8K[viJ.3dR:oYHHh9I7:۽fi+wm^ [)odPѱ52CZUJicSw\&_s0uBȍh32džzQflcd^m|7GѹE!fO5]]H9݇ZomT@]?5B:Z߂'`V_+/MSKX߆ޠk3?o7y:4R/7þ] iG߬aBRU&?r&/} cQߥGj2?C5Yśe7hU=?+ x龳f-܈czW^7p%5|Y:SJE\U-(a_cƣUǽXXKiȞNlmۊڭڄR!**ܤMeȽ$|X5(Ź\rJ~ܮ]>'HB0cp XFr_c?f?7<ukSgov¥iG>>䙗i.+t+bOjIܶ . i^:nm}s}(3>NZ$2Qg([".>i.ƾ)B̋M8+"- >eE6DݥJnJˣt׻ 5.˅nJGwZD~!i۶a,Db3ZQ3O#KO5/֍ozuK'GbRi᝘NV_ҝcvם ZoX}F6z 7e5_e:ۓj=AB+iܔERadMBq*ԯ DwI/Gy*mĥiRKg6skY/#SN4e$-yXM YL?^ĸNNӪ{$r1JJRSLO]Aqm>V/s[~i/j+m>z}eI"Qvp]{ZԼ:{vPAG2=T͡@ڐ#u"E*>C;o$~C#_d/HBq^YRٽzIKbOm\~żjFFGdiQ(*/i*#.FF]©m=BmpQQQSP&Ҫ!T&^>:y)$ˑÐFčI Bӡ-t!bM WҦŶ'UZ=}zvn~oT/\ǒ'nr8 AJIӆz<^uߖ4eFC1i+v!3qNyߕni?4JZlmYFXFۼO0B\m[ tʄU3s"Sr(NJ;SKW72L4̏BVdf^Ҹj\]ȱ۪(ӷm?J-KEmWڽ^4<8qu%9pŹW~877ܾeVгS(յe^C]yX͹! םm4FGȋ\y'Z FX7e)|Gjt߹#gb\ŧq_([R8[qU$Z (ʻezV2V!iQ,i$JE˂٩ a(GK'O{vnBvryRd-RK4=qxZJMl_CuuIz @Rt㮽޳!|68\-l[џ84-2Pu" RJ_^OL>G1~XnBŬw6J0*Uvlږ1N G1q9IUm*'oWu][&UyYZbBZRZNfEJf"+2nF~Eû7n1xv.RUM$6 lAxSQJ&n5ܞwlEói"#>4׿Q.nEq7Oko[1wg8ZQwZYiqtm&~">Bo?w͡ni2峋NCEy Ҕ+%ZJ ʩq*fpˤl,~^Mχk1+:ݕ z&Y`KLӪУDr3[*Z :(SL&ݻ۬Vqsyԭs x|iI߽zZrg.:mp%6ԜvgmpIUt;QbS.Է) ǨKSV,*lڌ|5Jt3#NP.=+OZ~/G سIgbꥹJnl_DUM\iM!֔wVZuԺ,yV.Q>f v:݇WiaŸN5Ҕ[M7SsrvǣrMW= \8ZW-jsnڕ.ZnF2qt ً[ٻޘY۷Zm"Jxr&NAfA-݌to9s359݆mZ+N1-qS$D=17 x׵+%_ ve4ir6Z$FDڗnFtOr'7'{9C˨ꤡaYoace{Refnft RR"4%ʌm:Sj3)OdInTO>X'vxV#jܮw9Fog;5.~Y5\~18YQܹvj4+~t7S ﬕs %^۵ڴDZV69R^Y+rj$ԇoJKR5wB9C>Y:l+EǎS{ʲ{T6Wi* ^^9k/y/Cs\g*qڵgn4T8mERr|Ti+iPe;;.i\EBEJ 丬i9ɧM-ԼsGDrZ>r#R>~X9y4b棇9JwV۔%m(b[Tjvl}۩~nDԺ{Zo-YuK1vx.nWuO+jN [ٮ0%"΢CdTJK-RަH"$I(*ve &҉FzB,_Vpqp9m8werv')E;o&QE׵^d9˦j\_,ڵugZȻ̧8k+jK{wmr@3ӭ2 wFkzFVqs1؛.v'I%$[iT]D5Dl2 nk7qUxԫLS+sا3/ΖeZYK<["%-g/kRs:f3;*E ت wJ%)5&+&rw*霣i|sMҴ|;R+fm䡩.!**dӶ-6s6,]zAXMWjmnz%SJߴm2UXw7MQ%<!tKys#P,W>s;3IYwx<+i_\\\U6 u7P|xbn_k&ӓVOe䦒 VUr,-㘘"-LZeOSҠթrEvq8Kf%5%&K"#%vD/.ZYYŏ+p$nZkvއuW9㓱Z G wYIFyf)?ƎUm5ԉ/'k84{KO:rQI}XRuԪ|*lu)3qZ[mSm5R3".Xcَ5c®ࢫI*۳~wRϿQWޝ(EJrri&ۥ^ʶ齲Im|[yb;mnm֩uiܘq>E+Ikx߄3r33-5𹻖09ϖ9[Tz~mr5NsWl$oPusޛ^{Z;);sڹf\3oٹZmԉ/'k84{NO:rQIBø8Bݱ3n֤DiK4u& ofSȒܩx<˘|N0Fչ]qsp"}! QWw@t4ӭ+cO5%]'*{eM߲DRO1y*q8w++e!c߶ܪlZWّM欼 CQ̼빶lX{vib/V/ ai;x6~]+z]MWB>re-:lgk}պ!#9?%܋V-c[z!W?c7YNm/jRr[HOzԻefճ0q15Zp#rkQQ0tU-AmڵP/cȕ?0cZYj;:0ZM=D6g ?'UN+ձ[K ܖB2'xq9{|۫N0ku 7xaj;n\ 2[VznMlWiKbSk))f..)Km)&bGZ=>OR܍W:j'rM'wYz&/鶧{Sʵb"vջq[I-ՌZH._x*BagC'T(Q:$ͳQcMCKy?3g'ߝqnT);qs #ؤZ}OOI:cfnc8W~qy.;^pVl]Hԓ>^H^@7-AA܃nmL(uWܻS߿ Td95Bdh4t6*dDh!EhI[iŨ\L.&Nc ܮf^;$R)\rip9I|ٺ?#R.ZDZ;/]nݻqs\QE9M&Bd ]N mN*D>tgbK>+ˏ.!23]BȔR1ɝ^j'k2ƮqBQq[$di]icV/e`޵B.FIIJqbi>Ӥ|p; 6${)RU>_e}^dzdfzi %ekRVUS?6'hׂ)5.\+qUgzE2C˷ecŏ^֔ibk shesFWJ#~> Wk~ݨ}ڶ>ơǚ)׽ZƉo~B-ڼrvoE:Ʃ3ۣK7+Y`WirS):{>ڛ}:wԨ(J_";6R%[u&ƫdZ_\'np| RJwNeTW,=rrbnkڄ[M3ܴz)3- R.?:okۼ0TU'w{6&w7j1z3ON'fGoO?)S_bQ_¿R(^ԴԴG.EtMڇ&RUiW uQjU> Kiu1d<ѥIQ'RQ1:O/lŗᏩiʂv&Jc{D5 Tt)1.n[n۶X}RjqnOʽ(~[Ns{ސ⛌uO,kgo֢dRNQȄ .'6W!׌P朼tdZjFGE"]K@'i۪N;sI[{SOzk>`rRR+!σj8&TjlvA̷Q?HyjyLHNտJMjܶT۽lG?SnKN%<‘ nq[N0Sq[Ta(&t(|HGO~gvkݻTR4&Z$#ViOY1r$6YF?e4U/Mvxų:zbU^gQQ+NW_'4jfz^c'#`rvrڡ(IJ/J ݦ6 ]-CW |_{v*_q3^DZ}Ic6Uڌ8p7{crZq5ki`)mU6|-Z5^iEz3P=:Cu7DF'k%}<C-޹ֲ̱#\,(f88%X-N(ck0VLR~} G"-8ӏ/ϰKq?(#nrVTmZ;zióM4 m |UT'C^_1X.gXM{%ʤd 4\ovN":"y-,T)fLQgۢr=/CƹǨJVr[a+!rT|%Y\ٱzsS>jͱ.oOc6f$q% ǒGo;n[];ߎjrk{~\VۓNIGn:iqxo |~t5)Rxעri{Vi&NUOl_ѮMfsޕkЄay.0P{7N((BaIP$ K"U6Gl ݙqJRu+qN$ m#*p<|{:>-Ev=86N*MM긭U*uѾ?/^o7;'u,h4݌xښRM:5.(/ \իU.{F^rmF-Jɷ.>Q"[4xT^OZ~mK}T0ݛ^SAo9u?lX(' qj%=X}"^e4wˠ|rܫ 6I\Ķ;Ӻw!'ڍWg{ i U_9Avhۣƾ+:vs/MK[ɭīe{`Zgb}r[i'GE2J7Nez579wRq+Un ]J.cJ4M:h箽Wxxm^ pc\wcN%'My $$| :$Fqɏ¾^қP9J6Wxvu}ݵP>Z'FFdg"-; [¢cmWkÎT8nG%ݣ7*\խCLRYZͤiD&J#'ehbSyXK|y*ӞpS̍R`[pTr/Eg)K+92{_ n3zwz'oŸۤ+sOj J:`T>Cf*lwd\fYOP"R E֢̔L4ɥ :;.b(B02rJ蠟9>V'9M%)IqnhP<%,r'P/vNSwr#w"ݨaqc(|{kd=^0jTMR2ULNz|.<|^PfY22##!,K~E BEJۜ&jRNsHަޛg\r,v؜.jK3)[EJ2ii{KEiHP^&]Gn8x=K}Wx/KI9-ϵwQ%spܾ[^R}S3$qvq8M[ ozKxcqmJ/ӿ{_}7&ݨ\f6ZSyQz& 7ۉ[8~UNn|nkiTB+4RI8'Nc%tn{!]Ȋo.nEmʱn𵵥J A+wy#+ikǒڂ;՛s85'KmE:Ђu""Iģ5p=БbTY-ͽڔ詻ngL2Q}$de# fs^o{DUUsfwӶ;s1T,ǤtޒQ\෼J=.tKU,7čJ5 N$y3kdSMQU~mO[03 $zAڟsF5^뜞"Կ QHmrR"ӳηer+ҔZ]hE-6Jmt'ޒ=O[sQj)6K}?e4v_KfZheޓ=BV[bY}lݒTTЬ{ȫvO_qpRApVŗ 6ju=*BR)g "O1yhb=tqJ gtm\b3RY+JQ^Ō֍\յ\>+uSi{=x ^w;uӘ#ĸzLn*$anok߷CBӷ}5Yqvdž<( "_OWit5:EZj2 B ρ1̊fi[n!HQF82q1牙nqnEpT(2RMoM4ϳOu ':֧_Xjsg jP^(ڙ{2%E͖j^}ZU[Q$'U) <܂%!s"m R'G5M0<+zM6qYm$ڕ$3ǧH]?o2N<8F1̻r_my[Rf59NjpzBnl7*{.QP 3N&^BLJPjAHCK2Q}$#~YMq8 k(MFMU)8MEqTy+Tʞ-ar5yܕOXw!e;q-Jqܶ䓊Y:LC UE{/t>r"lI9)3KJjϤA 6SEE$d߇3KG*En|P\ԭTn6I-ƍKTj<1H_zwGr19wF N8ݝ+a9ɫM6mhePi%mmD! """"""*1bRKrD"vnrM۫mmĽm]ӡiG~e"˩ lhRTMk^MX["Jݱk7_ޕ*DqĒ&flՒ}`W}~SմZ{ĕ~wm*/{{ѹ_-0ط#P]xlڱ~Tn5wi*lڪ (JxioϏbqKYR|!|KN53 OS222$jzww%i}>N)E+rۥ7c$Ofl/LNث\6H9: FY󡈾I)fB֔JI_ ֣^: 9mY{66㒢7Uj]:.-os[R&gMF3˸#໹kmjq^8W"PΦURjʄWa˧T!͋ lW48JB2ko+ /Nw QwQzQ ے%$ޓ7^YL|r7!v%Trܥ &|M8~ybrn[RV gSn{{*#2#ԽᢏӴHak" ӌcwҜw&RJ07ױ>Ļ =^ BɆ)v32.M1=#6%̠tҤnzqMwԣ~s*%-j|_m*.Yx9Sz=)qE4 3pk+,`=kNRڥ=B=nŔNAx)Q$ԩȧ4z3t#Z2lҮYn$S%y- JzGpu|LBV7ZW#;Wwipܷ%(6jFG5#{$D"uۭ~]֫SrD܃fҎӾ+Tu>-ZTQ& N|$沸ii>eRWݳu'[O̻j8JۻEѩ[]vni= ڒ,[_%kC7I3Nv$4ɎЈeٸoUu:[}Do5|zNq=Tre%ɧ6&~DȍF]ƞG5q m]/w/ \ʲr8=oʔe9U(W"|S]uZd#?Se[W"ֿh][-7Nu:T=)R}.;ml*5Dlf $fF(̏T hiIUU4Szɕ t(%_|2 ~6eM;TƗK[f&]LK^CE2[ȏBOd;Mi|cx,^6;sیGpQ\NuJIFTJ~đArh* B"$H쉩eXPRj?sl"ԥ)su]xpԴY%VESH"ЋJǰ K&5^Ukzׄ8kEgS2h&Se\ Yl]WҶp-ZUvi7QS:4byqOo+[̺腋[6-_Fo.6[7$p&^ _GZԸߍkc.qqoI[9m߸YxOZЦ1uoiSH)P9Uʄjcq= S>֙NeR><;+ڌk%_qT].srNO?s[=vH[]RZHRMtᩗVؾ:/~u)ԍdg%=edVrISb{6vSu=(ܥ)mTv/J}̇8 S3ad:^hBSf؉OɔLhI_1d8,L><_A0y3rXq"'(۱;mFNII.v5_(^q~X>y{3צ I*Vܛv/jW' T'NR'j%ꔩ:mJ3SB}΋!-H-RJBТQoedi9tjENenPpke.%4]#{:>mkEɱdYWl\\\'nRM4&U>?Ќˉk÷!𴪛]]5}UqG~ݏI"O~s6(Ļ)qO~h}uԕd}Q~G,oE!&G&/]_H-O=o{k\̭bkv.Ô܈+;arZx)m?M\3lU$mk-CFXjTv6u' g:Vn_*qk:VC A%'4JV%EY)#BғO4<e׿jQQ]yUr4=wm[K1r׵%Iũ-O}|kC;/VcݩWZ)EHdžTru]8hgĵ-;=>U_ InvTm_jBM+QiF"9*{DI/iuo(=TzϖmPQl_v4z>T*ȴ>YF;ε\t]EH4ꌇ[VrLzef 2T^V>g2~kg5~Nק;{~Z~W}&ŒBӿS2$J?~(Yœ"˲ߩ\O]: J׉ښT{mmIѩn3˧)4LdFZ/zUG>U> n 5& ϴ-KJi2o]uKljvK3$bԔҚV旧iY5.ίfi96v7!v))FJM4{jG~Jt/lUE%pTAFe4qQk\ve۽/u/Im+W')v{\-E|Pms7߮DZRr۞/mu*1ՙaB܆ -xg3#6ۥtRogʌU)׎]ZҞNnŞr}F1Nnޞ;cZ{N}ۿMiuxʉ*3qi'9KHQ$WJxXyرŔe~[v5~/jN9Q4o6rJv FrdxM*iRjMzUinHdн7ᾞS=S'7 } ̽zt7K|_g J=Lq+/Bw_\ۧx\HJUPzQ<hqF[V0x==CsU7q|^ {)Iq38$_A(VgcKu06Ƅ"%i~_ˉk QCܣB8Ku/񋇵u([w}$F|8TՠI.E !;RJ^}MɒD_q2];Ɖ{5}*n7nEInO{Mwv}&q+v [V}Ĝ@%>#dXQ$f;iep.GquixVt x6bj͵mlKقQ[T]zs/&yەnM'W}!Fp_d^Tu N{ɻ'l{խ2.sTu{W^H&;1s)Pӛ6>$mě;Łnj= fLT)>׸+qReɴ[UR\L*P/!$Ӊ3Q 'K=m~6XqW3^W+ųO_[F$rR*u"T%@O +%# ]˽!aܽz{ͷvQh쩎]hGތ5ɇ*DzJDRNLi 4:{~2FmXY-zzĽ^f=]uū{/+&c:Ma{ĝDp2m܍kHș/(--m_vݮK(V{R}.k&yƴ7i^4@3f sK3^Ř˸B=]?gt5KbZB<e;kQLpxuWC}n 5ҴepB##~q= `x]KWF {GfŲ}?G.I9pjWkU]>={7q{kO/^I3==f1ɏ%nnʫ/Zu_yXN<57ۍ'vy/"8넭M2eԷ&Y,в33%IkjMr7xf nmQkX4踼>a-GcIeތw&U=-:qnW)z¥j :WqSZvԒ#j"KrIU)%qrmRoDGQ~SYRsu*V)  ,/x)MFD6O#]z 96[Ui(JRfw'y$GeUީkdMF-ݻ98F2d[o{Rn0n-xsV6Dh|Eb2E:KCOӪv4SJCr"J!!m,hRLD| ZYFm/X~ΧfrN&4Ƒ=Z9Mh.Mܵw/BdrܥniŪ8ɧ|y%œ[M=_tj?F!z5\evM:\ ~F-sg钬OWq“iiȍ<Gi%%n2rqͻllƑ)okw7}\Uk-:&fj솘XerV9yZuʼşdFC=rmo%~ZN78X(N)_7.Εn1MpJ}62jjJdI";R5&iLԸc:jmqiQj$ujp\{;v5B񥍪Xn Ą4qOERjzN(Ga٠䌡)p*v(J7#ZۻZ8O W uONb+^Qipv9GvֽƼϯrYƖKGJQDNPhRJjᡧC"21"9ѓS1;R_O7/WGz)8fE%F2ukmvSov/iZ&/]~KmI[:^~ͤ\kMi稜\ywJt3W7 8Ʒ~ݥeFgѼw"8VVSج\뻆}ݭ/J6Q)d|)zU3>k\L=;ow֯gN3pKѫ|wmkZ$z^2R:E)f>ς нd|#׆?\ǔpV{;\$ƵE%-ͪm0S6[n< kE[}mvE4DDZ^$OZ0*$~XUv҅B@^?]so#%ojw;Y#SxxueBگy v^i-)s)zV jC{7Gt.w3v,ygg8s]aE_,*E tY5k٨h=o"m泏:\6w噓aiL׎n^c\75AGkЯ0Lf46َ`egZ˓p/k;̛]kq!ݸzpԭG"}R9Ve>ˏHUjJ-&7nrnwG*Xv\˱/vN}O)ʼn&CV͍f̵]r\PMB-6Du-#RͰtRN^)mT _}nSȕC*_xBuTkJW[`ɩ`ejvsngP ڻ.-WUtܑqԹQj)t;vN&RNũT+8%IXӃ5fK՛-d9 ]CƑm|nZ-6=Hz,*aEm W3VzRšdY~Xf׀Xx"]s;)5u*ُHB BRGS6bݶؿ 9j[1*jױga7oX CUI%0v#~\-O-Ꙛuɷ쏪&5mY٦M`LJ2qK~HZbr =N'YobI. (^ ׾{_ ?OJ`S`3BN[}5w6:ǵ/iSlt=4F*d&T4y/#. ɵim5Uֲf 眕6Y7 fơ=3dϕq뚩$qTM-%r!$@A? ޾V0c~{[{;򥧅a~ڵ»&ڄv1ek=wb MLkNAԬw-x>~/r=e73VeVN)K%Sښe"+3uXuچrn ֺVzscJ峻m}vb㶓n\YbIUBT%*,0nov=;z꣓S/nSXSpl##k9mXGrZv^Gde!ŷRԠzQyjC]`gToPov{j~KRBMY}i[߶9KL2ԉO0K#m>wB[ٍ+n[[b٦DX ݲpo] [\m5qdT()mo4Oy9Ie b][wղmM~vmi۱~t \}$яimRk(L c Cvk7r9_r1 ;zv|F@KyZ[&jEji/"6$69ml#e]9s\{ScL}Ȣؿ0q/nZ*t,CLoD߉Njǚy=Pgmu6^]l-["çUʖMlʍp-"qmU>۷uFOJ%Ǔkx 'g=睋k[3u,{³WɘݪF]ՍeFX"Oy\,cچ=w/gn Ļ]#2? vqy-gXnR.^}ݺFs{ŝG]}e|#0mjx"ƬWكm?rgU^xVB":Dt>@LRbun~ݭ,w+v⪕;\U(RYa61>#Jm˞Μ9g9XKaG='u8gf}'qy#ɉw J]We.ʲ-<+&q%s?2dњztҼn`cΤmmqMdz O[-ߩӲ&;[tmܝVnr">{x<8U+p:Ig]zjGkt,uzf}dؠoJaکqEq -(:d<պ=eKy[˗^%ZXkX[C2߱\ITTLGzANM￵i]K>UsOGDDD.ZF6* ҃V Zhz{'xp^`wo8r0h ZmJ5"jb[l=yUu7-;7IT%:jFjߖm0tzU'K)څNۧYJ)4IQ}^KWm7kSP>q;ނ#)'n7&׊r?óM{IwR\j2Qn[v pe#/tAF\ϵ225q֒om6z})6҅*oqDsMf CNIN=T S2t,_ѧ}kveMF0J\Rnnݙܹy[rUc-j{yGtkQ%s]5qB.Nw.JN1LvR Ui5J ZESQԙr):MJ+g}χ!2;q([jAud][ljVK3$ײSJI=/|&tl'*n۽f.frܥ jQO8>&Z];.|7T/C}$ڋUmP2Reҭ8hFF\L 3~e v\۫]ݝNmrnB%*]Z«hKc=BTLG :V74$=Ǘy+EX'4tn(I:Ѝ;Df8c,k1%dJ6.j6ź{N~l6&*fœI7 WAlGOu-ҢH,,(ǔe뿋쩨kM܍ZſgRvQ' 9)?n|er˭|I|-fGK.rΛp8XV1%K6mvG+tc+qE&ǸC_Nm:l=_/m5^[dߌڇ.c<%:)tQ$Ow~-aY;UJ>=F)2[nk؆?훐M=l6[4(O.]2#-H^n#->&mp5~Fӛ+|| S,xag%qkEUzUgæBhߕP(7]kFnq?֖CpruZ6*rEڊtS|*tI*E}7R<,nUU֫^I7Q*mSly%rdȓd8hE<9oHhMfNSRj[i7D[Rj݊+kდq{"$$H?p\̅S?㭻;t~R߁)^/>Qj`yt[w ԛ;²~+ߔ_ YW~|o]?x^ᯛ `ʼn;g)T@vWn]>&4lp+$D̢1l|ȨF%-}.9[}w~ ԠLM9hСablfe&QoW!s?wjLK?s7yO>(=C~_nyǜu?v3vyo oI@qV-jeES^[9WoSܝh"l2C1a͔CiJ@3:Pճw=/7ovuk+\V;lDgն<[A+rX~d;m!_s8ݖ׷;;.0llUC+?i#_crʙ1~C.\–q ul8Hܶ2m`ܻM3Tov|Bs rɵ"oLS- DКw=Tv@f'6|YlD͓Y%׵-#Ѯo%:&!3o%\J<02;K87>^vgƓ# ;ݝmz^Y6=PS39U%~ &f# }o!muH;ʲŇ˷yvP+&.7e[3'vR4Yj̗IZ`e˽3o[WU{ m[sUbۋZǾۆl6~9'V*.\S2<Sd*zY[aŶ`]C$n.v^Ʌ dng>ەZ,Mmϑ :n6nϦezWqUJ4! ۇ4R! =>>Fn|Q[{pRO17ƕ~._I''00k=b՛o}Osðc2'o\3}ݭQ^2 . R1yKȣtAݿ-uܾw!`?1Whn|gzUo[ECWwjUIן)^h#1ɭ!/Z np;o;ΗŻkXs."6E`Z1 עӐ9Kl8qd q} 2Stt;#j>;խabONŗ=fwP1j)l6J̶|gV2`y/0E˛6+ԫ1? 6}KW c\KoKͨ2ۅFw–s*TԞLיuDx .kCzWXhy۶gLu|%TnupǺl-S* PRaLnT+c+*xl.v!.U=|; !_L̎뱚U=4hm:ٯ"y)$:>%(n}X'p[ȴ ^˒4kƓmzDx \ 'NqamP7nyN݅=j7%McSڵj%STy qXymvCg{w/w=wSW5r̹u erծˊsOm=DhEҚRb#n)QOxtվQwe]I}wCa'"[ۂ-z}2UuKP$㜉ԧ:mc<Ý>RoL?wu|%ҷ&K y_!y9 ??:tq3(UU-lkS'ɸ@jdzQˬR] EVPW1DJq2n:,c|ǻ̑;y{X,ۂ.u.b˕u.tKBjQ"[S園S`ٮdNبeJ&9Ơ ~0a(Vm٘L+Jr*vڑE( x0+tp˕ n';wm-ޜMOxX>{#2%jgb2M[`K*\5@8l'e=0u+w ֘鳾{y܀:R*Ya]"Ӧ%ktynlۣ65,3gU}{GYrb;ge'TKwǘ.,rpܚV]Tr,!dp /ԺU,xՉ>s׽~W5oTh yx?xrrx?)?ilbT׬,z$Ԏ.UH٠\U1pU:]JwSrGZq8àd驐,N67QYBӢD㏙W!Q25ϸo9ms-7-%3CihO.J鯽-;MZM8ku-7k9S$8]q2E(}bۏI[DKOK}3KUB^u %Y,u.-&f#]'܆o$x`Yu,dzwM;#oKxn;\[d7}Rb+*Y䛂ZuBӱl{j0O̓}LhK;[aֶaGL{Cb#S.T[>߃F]NK"u^LUʐ_ykW?!GRj29͖qa'0[npcDvV)qz9R)PۨM^aJx W] r>];eN3vxdmĘ(5W2K1䪖weF{mE/QP6\u54x5[hۮ-Nk”i[lUgL]J}5 S:EhiUrgHl!ŒJ$pe=q^b͵Q' ?6|R\,JA ڵ"TDꈭ:ymg`B5t%M] <N_zv2_Ortٵ/i/ReӮ*7[qүqEG* m"[I:6e^p"I$jԴęh!m)]GZkcjS!{e^z}+Cѥ9;R|/ֱeiUԏCNu2Zhcٗg$ݭwvr P8*7/Lk~I'Km1+MW%Bk|oOm>-#qj*|Dbѱkn|n{v#jĮqNpMIUm(7Liz;{ҜݞڝVƚVϬ+sO!OstGvxӉ']uӎ4g_ 1^-8ۦ k!)Ύ5O;YSB#2Zzχ;<.ֵOtge~.(RC#wFZeGZٸ6FFJ4e2ˇpJT$[wgV)q6muDGJ56q\I!̗ y/I~RtJ9kJ]Iy*'FN0s.[l!fw'y(7$œ WƫgyΙdMEU JQJv̋vmrۖ.jWR_M֨djYgSj0^\y'EoECjm$ IƩK>Z28J2TiJ2N#}.s cArl嫶nB.FIJ.)۔\ZiM>/hLĸ=C1s[?YMqp|94- 鮝𦔽/k^#NT(Y LS$6˩}{;5 )B۷W$qpN)qqoot}ZDVә;7TiK|6f3h$dԄ}fqݡ>Nb򗉉+ͶO]>ߡ_VtYf79ڰիF sq~prս|QM)g%l0ocJȨHz V;Bb/kLAcfPJ,ԭ{ƍgpjNR6VSI*$!yV足jᇑ.](EܣqM\qJ2eZT).<9UB/(B0j)mtKEj#׿fDI-=rZړj|'Nڤ]k*i$5qt"ݙPM6E4ke^Z8ۏhz$Q(R Ay2zfRñnpnkbkI:=j &ΝșW?׵d{+ύM'??XqeeĽ.[o=UxFS=ӷdZwenՄ]_X=ĭVa* pKs0ބۍfJ3 gz̚i|wnxtjc¼5${(1fXQ65ȼb̶Zkn>%FQMJXӡ{TZEVNᖣimT/37cNJUPnP҂ZOE~"-Rc4^b- FEͧtf5[)S!OZIښݲ͑;tvܡ+N)AR=hCNn;wL16-:特7M$=Tҕ-.R[HٷnXk sn[ҞD-0WS9p9:-Ϸ-jѬNu{ҹfv)[Ľvwfg(ٷfe+0mYj8Q1\ݧg]Eǎvڿc!4#j5̋C2"}BRriFp7=ô\TZ:\BLfj#I22װ<;صZl j 6:l"6]۸ K'6RTѯ^ئOԓV\?$x7s#r:Oh{ց=MmuHԷd{pN /܅:UE#Yy+(SgQ(Щ)RHzw>^Ѿݻ>mK&^ '$Jۻ&w%F|xfz%˳ L~3N?Cy9 v w/{ƿ kz3x> sXv}vP"@WyC z`'톽Dw%-tt yVY\wmuPYQA0iG-2JP,6/gˢ]u.-n!Zw.N7Q]Df}Q0({a\@=i_X7gFǘ8^⻲}G MZ1)WEfO12G+=-B@z\`||w6ċj߬m}UwRox֢I &c~XGP6Qndpvܻul'V7^FJt^{b^B(L~sѣ6@߿^xqU!ڙ5|Vpvef-uӥ^3  FSDɯKD%0r}FF穛r7 +o"V8tv̖NQU!5uFd"bCr^bJ=֤fM#ʳԷP0O-9xRBm\=`r-:;~3Tl(nXtXi%2Vٛ#vwqƴ`L@"H‹qW.j,JM5B[)WܺUeZFqc'V˷1W7V̾-MHФwn8N;HPSdݷC7&2j.W\τGŎ'Vb]c.x+Rx1%C2T{myg[qU|+m:M:շ8҉yWd)ՋWS%%:iqlʹmGwݹ WnNŤѩ5(9hTٵDdGUi-)vSs2 2{OnT$Xck n:¶(lASLeȔBjμPpTb2~N2~%^k[ܗ[Jzs0ӓHBKq[}JَA-$dFQgjxxFv4r/x*Rm% `4J(&iv7SkԲmSH1YWmx 8n.k']:Z˭_W >ڃXЩ. jTq%Aā[E}amc]D:rmHRiu:uӚӢ\p(5-q%e)(۬ҖȽIf<߽pr&ݫVfY91q2ĭEQgYbTGQ&,yL+N$[q*RVۉQ=FuTܻ>f>f㋳8N6$܌n)9&»iˤsX,݅܍ȩv+sRTpO}d?Wn/Inpȸ%O]StQO|v5\}7Zwb.AIVK^:wb{[uݯcytO߶S<{8KSRׁH̏N7ۚ[xkwYy_'ZӵF+>쌛ZUĦreE9F[24De{}@:ExWs-\ǻ7K-\JNvEk%:s˙#κ].oͳ;լ7wB6nwu:$L; DkI#Wz.:Xp(˅v$Sq,wn\qIN-e<5Oe+vuYTpcojUI_ާP8 O 7&VL8z$_B-H-[uh]T{|8=qVRN-:Ij:7PUtXϷmy鉿:RIM~33ӸS2#׳GdŲ5+/Bx{(WzȨ5Y㞎#|˖+ ط.|e<o/rߔX>7s}VE.OVti׽ .5nNJO"95{#q}Ay9do]R"M6z\tnNS-D!@3N_jicWsy*5uٮRcWv/.,j}=S)j5C^> Ie =gu9ӛqjtz]۪TMoߧI!Ǧ¶m:,"[L!{qAv-o 3{"KʼnrIkfٶj2ƙ؄S`7` k6jzޞ?e5G&6uʷ2%ԒRKE*G\Npom F/V |C0.q_eenƣ<5Oh'67ɪn[SĽ{ڔjǘzs;~׌(ۂ`ܢ1ƣ` _l9Va6%UQWh~P~\F^ZHR@:ۧCJ{ôGeBh;~ۧnU J\O+n2 RҠ)ng}Kh{5+S×ܛ.1ZjG)iRȤIN 4%{oΜ/eO[Nffd ĹK?nnԼMqX'܌nZvq<ķbFnͪaQ`5 s,M_լ?-@_{w{ӺձJ}GF[%v\5[ŒGkOw/ΜM9rjË%2+rd~+󲕛C9U۳r[aJǭm|˒LAʨSCq[XMۺoubfp:t+ΤĻo ][ zt-*67kvS7D·MMCQXm;)܎n_h%]4ܙnRk!]ڵsDUF"`R, &#R_*[z*ZqFXɻ]7|۵w+'pFDەs=r./ᐚm3Hשy yD"jHCr':sA65نѮ^o1V/ f;nFr3VM)e*- s D'H݅fӧ\*޷[k<7u<-]֍Q8R h|p=WlW3s%Q %3l}@U-K6f-NϿu|ڴmWN׮[׸F*mW\%r! C78:޳vBG7ŵ.JթԚ2x)ST!řn~9 W:Wpܢ件{xf8ٳwKE ҰWxVB\qBZ 2wMb[lGSnyԚ~z9ZmያvoN2Afnݽjf>)j3 !;gOYʹK" Wftڎ+׭b*2ϻK>ۢӱeyԪXISUm[z+ugX%0lϏnvg!;t{BqPj>PyvR7Cj]O%+ݲ :qiMj6W}3vC/R=4Som]ŗ=ю, TF6U_-\6MyskwMr&Q\wjKܩyMϣUj0*}RZܷSdY3>Zjqj6TgzpA/M`/Cmл,޻feE[/+uk^Vs1W$G(JsW2ٰu*߻q*Y޵.Wi:ur5T),=0uRmho.twܖiYwrWHntvEj8qhf`Ͻpf(R&>Ki%I7$QӖm-2 ~yߗQ-앑/ x[k8nw.c㩵k}]FkbJl:{.(˩n0Hqvαp7 귎.Gupx[N`Yq'+ruU7[ү+>!xrȫoSo]OC# d^Q]\>!ƛGw^Mx"-+%vdX-:M2UR%d>%l ioSu6lsj7D P>XxHz Ukà(n^Q V>5cVtWj SEiJdznyej[lE' 3kuٌNn4JW)gB {4 j6&]' m-(ZMEz8cz>WZ6#7+[,MR-Z!4ܓtCyE|umj1ƽvƷV\;%>Q :#Le(iVz5 4ũۤUWxX ^(ҔsլB2w-V ^R+; ˂M\z+Uwr+RWY⺧~ Q*JcYSNSλUd8in=v K낫k\IRרSUaCFmϿ5̗P|u ZTԕ}>oYѲ1sfP+sQkX8Gb~6r,s>^\,mGL+7[n-E\.Fqḕcl*Jmjb5 ,m]c}NXfeVlǸJ5eˡ$4%g~N p4Y*WwW٧<8v#;qԩTut,m"#Y D\5V`\\Lȋ];LȇiS6ϝZ l>LruR\v=ǘϔDg=ԈdFZ+M{=|,[;0>RiSi4,S5}yxw&(E7&fݙ4UՕ! ~'Id)]ǽu2K-fޭ \08Vڅ쓬=Vy^^ IhyKR-B#Ըr=]mܻӾ'*Umkoy rTqT_i,/8Q^<ݤ|4ԻO(܄"'5N~#m.(Ҿ2i6Uev&I*<}҄$eNtÛzyWJubW^iBW.܅Wڮg]irO6Ve90sgv.+sV޿aޔ[p?3q*FutUo*eL\KM'EG*ZcAFfG5J 5jj=MJ3OK:k˝'NMB7m3uFҕ\-Ywg%PRqMIyZGY9|μvn߻5cWݷa^+X֥vnݘ\v7m>Fgzv"-;Ew֝}1|RjN𿊀7g#֟*GQQ|#/bo]p$>_Un9гUbn9׃ErQBU-^vDmVh'<R[fdHT]*~}3j;nvjc7s-rӳ Y8[n[1pJx kX[Jk9Mn!_Nю6x:iZ˦U |߉^Ԛ݃hYxk &U^bwKk.[jE+P(˞=9j@snCv7%c_7=xǁ<l {t'酚+1F‹l׭:ݻILruǶkL-L(K0L1&>wXB(pm;1fpnlp֓%Skidkt(U +xulo'/ڕeN r=^pZZ:Pnj8Hf"48ijY[ N[yZٻ+=  ø:3 ?^ܷ^Sr#YK[UF?CuhC b]GM')mڏsNrܗI]ljq6VB. W,UK"YX5{c >Iqā> T:n!,5l2VzCl|+I[*SrjnS6٨y+x,@>П.g+!rn9>N|W>OZT_ut Y""v7|sfި;Pclm EùN,{'fNT%U&LfH8~1v>Il}统u6P˗c(WV~H^bMU.o*oOF0N:_:6Smr_.b+|ݶYY غF,mwjv>f*>QM뭱Sd:`N{l/⎱;n-z~"Gze퇎J5S KG9!Gn;N1 ݎ h6m|S?ɂ5'WOÞ 7|7^ao @mxGmi^jϽ>01Mf0լD3-2T. VXR"ɥV Kl J O7|u?bvа;6.eߓ|[1bmRr,eRz`z 6܎-ͨku͹Fː dPhYgZUj}nvX;z=gVեTv_J }\1n7w2J?ޘγc\E 1Aޑzq;\r]]\Y&[nsNei\uURje*Qk2CSl*xJz-xٶlm+|UjUؓ`Ladqiĩ!Gd\W~fz;Tn*PdRM&T4`չSWq5k훶(N"Ӎ% V]֦wb.nUO!u*J&Oӕ2e|Z=eV쫚΅g#+/RW:طnbi*Wyo)p{:ETKؚR(RY+r웓r(IF) VmȵNB:h Q1ғ|u8E]{,'$-TR[j49l*3"I鯴zhd>Q+\BkNF=.$ZR4Nwհ(IpNi.(Gi33#33e$FXK*NdWrud[r{xnk$v2ıh+J1TQ[#JQl[tRO]LHKٮ NӍnF񨔤֞Em'MILB"ԋ%dBŋ+p̿_17jzT~4pc Vo\ƹb9Rq-'1j;8ܗ)hE%DZKS<璸Bu*%*Yw5ڻ9ۣ^z4U; Ñk\U(o~G?VUĎ:?P?_F_Kߤ~ᓾI |pr.Ok\SklRhҪz{­P .}SktZ7UQ4ڌIM8̈eaӊJZ%FFZu,KZvln廐SNFIVtuNi?CM5]+Ph,{jN JSR$IS^tSUVrORYu.9WyP6 [Kiu m!X|]Y79ӄ)\ģ)pbڳr%*&ꑶ_-H*dzk)1 V3')UAϹٶWRxe'պn۫h7AR9 EAJeGLms!%D| A 5]/Q3eb̄vnVn%za\m kZnv([emqrIҕij|""><hjJשvvǕ|Pޟs}V~2&Z?+2N&Z4w@)4iSڪ_>/JN9Hiۏuf8'It[ȲR.hZ$ȋ_Y ~U<UUO*6b)Ovzڜj\R̋.$FsQuҊj^נ䈈y<zZIuP[}Qm=C?zN(Exqu/kn S-FzKZzOסӽjJ\)F3b!r5ٝ|;6 o=-3*λ]αb\abqRi-w޵⦪~b8Kpo)Z=>)ғ"5/GTZLE-輵f7ݘ۹~+&+w/7GFI:l33fg.N~۲\2|*cnermnnM+Fq"ѪIz%j =YW8@~gc/~?N'?)«qȸs➟n=k" X“m֮VreMh2[uݖ] *FܖN)MȐ`f0 g,C9̑o;ddudJ=In13:ݒvvdMUEJLp^,6t-@͐9'{7m{-3,>hnF;ѰM)->>+Ěz!R* :`e--m7nB\u{b U>[8֪]6^ߤLʦ\DFNo$$dͶlgno8OrsQ\l̯hRo8tuNo+ CTxu!2[>ctFpeޓƻֶR"3QrQuOѳgwQr;S~)6HhZw/GgVTmUf_yt7%$];zLWF̰xy2Ʉu!MCmš_0[W6jf#a-KLi+3Q7c^qg%s<1aYIQeZf+}>;S6L0]Yu_h9߻<ƅpmiM$AVvŚ,*#t2.8Y)-Zhshü97/#Oro"u^/uFgWɺ,p:6a,^x%$Yve^3PƗMnTP&yS}OJ '덫MH^:rXԴJۋ/rI;S*,+yz1hv)Qw^ڍJ2oL׊q(\fDj:^T%vOadɂnS}ZO)N*λdaȜkG_PIEO}нa(^iQX᯦-7^)%g'SJx(.S9zVɴZ{E ))ۅi/s7 VIV-|sj0*UBTHIqRf>FP$KqN0 R̻8j\GcC}IUz\i 6F)Q{Gҧ3qSzKj-Az VЛS-zy:8*mNk|D鿓ND2u+0Yŝ7kqm·?8Ib]u>˗^_>(]vӋzv+ݩ){vZrJ2RQ몋C$z [,pp,8mڊbR]Il .f~d/ݓs㓓mͶ{mgjQwn=Oic9ܚm4Q/6ݨ[TƧ?nԶoytf{@AzT{e{[O'ZRZt~AGD?s3􌿂ՉIw'|~U\ w~di:Kޱ)U/sU%njѩ&GSP^ǝd)..!^U` 1wX[aԇSxoFV6_扐)T 2Mfd=ۖͭiZ7KK Bi9%7@<3<ճԻU,},a}FRqɛr i@ONJvK KLN M, ʖv0n-]DwlI-X6ܶ$Jʴh5O+mOI+Ra瞠\ MG7BفjYo1#͖0V`Ѱ2M?c8>-Crt*JkIGS:e#hPKx[鱼>{5m;wcն&>j-M֥^َ) 6yȜl_w{-ō̱r> U=]iw3)r*]:K]6BdCTZ|>gf}LW}[$'Y5 &c -j.z6R 67MԷFMnÌwI7w5E}o޽+K ֵy4܌ȥW"COyR[q5Ӱ͙f[v"_#q{MV6܍3"u9BK(41ӯqˇc${ߝCi6I(OmθzҜ5k^:>Jzw.>qV8{vU[ڶEm|DžBz].KHjI]x;Mɗ{m,qZXr忇2u^RO2Z}ZێS[2Jen!*NDcrBUً4<ǼMҲs1Zw57c3&ĖڻzmP*FuJG1-dN:|OU}ҵgi2t~F^^Z.VxjvŧnNNh<:]^~NN+ge^g.SԔGFe߯'[vn'(ScJ]kܗ7eJOlRrfziݮq̋S"\*U<*W]k$FջV}? 7g#֟*GQQ|#/bo]p$>_Un9;l S VvQU%OLU{οmU6bZ1MTx%!֙Q7, J=!3 ;Q,ڌ;6ͱ݅q^&ߔ·n #WbwӖX.HtG)N&d̵zpI,n cu ޖUj+VXUp[w]N o.J6Z8Ts&utxln;~HPHS/xw`G\ʡ¿rj Z^vt"[L:SD\h0sUwR,}[x^X,R2Vn< ]2YDr[SRKs8tXb̷G?Ps Tv 3be,zVz D[/I.KOEQrm'$7|[J>r S`5յwT#\w1FTz\Ԛ &"ׅhSHrD\'r]~/>p;:Piuu:"9ő=tTaS7V2rӷk7mb[^WmPp*[y.Þ6f]cizJCgRR@UVl큝.WJP1N{/\whZ ػϧӱE7|E֫Sί.x-Y&pi%v''-x6r'Ws*6=DwwUu]=C?MK [yrtܒG$!WGqJ*%SAz ED[^)/tė/g=#Omd.|^n/sl׉g DZqemqowݮRzUܜ=ڽ-o/Iۖ;qVʘgPp|mm;6zGl9.8pwWgsJ2qPbe}}UpNjٯ}7TMQKrؽtEx%v w߾8%|j;~|}pK]ơ/ w߾8%|j;~|}pK]ơ/ w&~e_H 8PL7:%ʭ5Kw&U2vwR_+rm'}C7#rWoO&HoG?M$UR7{FU]u ;# !Wk`|W>׹潇9Vn)6)*ҹ{%qV4q>W1vi#T"Qk&GwxcJBJ- Ϸ^ˁxkU}ԣ/3.;]J=<*)cS)ROK9H=,r zX @)cS)Da^ԽQ gxJI=w֣gf*TRj

2 Research Institute, Jeyun Medical Co., Ltd.

#E-mail: kwon10@jbnu.ac.kr, TEL: +82-63-270-4066
• Received: November 27, 2017   • Revised: December 24, 2017   • Accepted: December 26, 2017

Copyright © The Korean Society for Precision Engineering

This is an Open-Access article distributed under the terms of the Creative Commons Attribution Non-Commercial License (http://creativecommons.org/licenses/by-nc/3.0) which permits unrestricted non-commercial use, distribution, and reproduction in any medium, provided the original work is properly cited.

  • 58 Views
  • 0 Download
  • 4 Crossref
  • 4 Scopus
prev next
  • The purpose of this study was to develop and verify the smart insole based FSR sensor for measurement and improvement of the muscle strength imbalance. We recruited 15 subjects with muscle strength difference over 20% and 15 subjects with muscle strength balance below 10%. We developed the human body load insole and integrated modules using FSR sensor. Subjects walked for 5 minutes at a slope of 0% and a speed of 3 km / h on a treadmill with a smart insole. We measured the real-time muscle activity and foot pressure according to the muscle strength imbalance during gait. FSR data of the developed smart insole showed that the insole had similar accuracy and efficacy as muscle activity and foot pressure. This is the interval in which the muscle imbalance shifts from the stance phase to the load reaction, and the weight support is the largest, and the center of gravity of the human body passes over the whole foot, which is considered to cause the greatest imbalance. This suggests that there is a direct or indirect correlation between muscle strength imbalance of the lower limb and the imbalance of the body weight distribution during gait.
인체 보행은 하지의 관절과 근육들이 복합적이고 유기적으로 작용하여 신체 이동에 따른 연속적인 다리의 움직임을 의미한다.1 이러한 보행의 기능이 저하되거나 변형되면 신체 기능의 저하와 피로를 야기할 수 있다. 노화로 인한 노인들의 신체 기능 저하와 이로 인한 낙상 발생도 결국 보행기능 저하에 따른 결과이다. 이처럼 보행기능은 인체에 중요한 기능 중 하나이다.2,3
보행은 유산소, 균형능력 및 근기능을 강화하고 유지해주는 역할을 한다.4 최근 보행에 따른 인체 좌우 불균형이 신체적 장애를 가진 사람뿐만 아니라 정상인에게도 많이 나타나고 있다. 보행에 따른 좌우 불균형 대부분은 선천적 신체 기능 문제보다는 잘못된 생활습관으로 인한 후천적 생활습관이 주된 요인으로 알려져 있다.5 즉, 일상생활 속에서 무의식적으로 반복되는 잘못된 생활습관이 인체 좌우 근육 기능에 큰 변형을 유발하는 것이다.6 일상 생활에서 불균형을 유발하는 생활습관은 한쪽 다리에 과부하를 발생시키는 짝다리 서기, 데스크 작업 시 바르지 못한 자세, 가방이나 짐 등 무거운 물체를 한쪽으로 메는 것과 여성의 경우 하이힐과 같은 굽이 높은 신발을 싣고 보행하는 습관들이다. 이러한 잘못된 생활 습관들은 무의식중에 지속적으로 반복되기 때문에 그 정도가 경미하더라도 불균형에 대한 높은 위험도를 내포하고 있다. 더불어 잘못된 운동상식과 방법은 인체에 운동으로 인한 근육에 지속적인 스트레스를 주고, 신체기능에 변형을 유발할 수 있다.7 지속적인 근육의 기능 변형은 향후 인체 골반 뒤틀림, 좌우 신체 길이 차이, 어깨 차이와 척추 정렬 변형과 같은 정형적인 구조 변화를 유발하고 이로 인해 통증이나 상해에 위험도를 높이게 된다. 하지만 신체 불균형을 측정하기 위한 시스템도 대부분 고가이거나 활용하기 어려운 실정이다. 뿐만 아니라 불균형 측정이 아닌 보행 중 근기능이나 족압을 평가하는 장비만 있을 뿐 보행 불균형을 평가하거나 분석하여 피드백을 제공하는 시스템은 거의 없다. 또한 보행 중 발생되는 보행 불균형에 대한 연구도 특수 환자나 전문선수를 대상으로 대부분 진행되어 일반인에 대한 연구는 매우 부족한 실정이다.
한국스포츠개발원에서는 전문 운동선수들의 슬관절의 양측 최대 토크비율이 ± 10% 이상이 되면 근력 불균형이 발생되고 이로 인해 운동상해 발생률이 높아진다고 보고하였다.8 이와 유사하게 국외 연구에서도 하지 대퇴 사두근의 좌우 근력차이가 8% 이상 발생 시 근력 불균형이고, 10% 이상 발생 시 운동상해나 부상에 대한 빈도가 증가된다고 평가하였다.9-11 일반인 대상의 경우, 고령자의 하지 근력 불균형으로 인하여 강한 근력을 보유한 다리가 약한 근력을 보유한 다리를 보상하기 위해 지면에 동시에 지지하는 시간이 더 길고, 더 큰 보장 걸음이 나타난다고 보고하였다.12
현재까지 보행 중 근력 불균형에 대한 연구는 전문선수나 고령자를 포함한 특수군을 대상으로 연구가 국한되어 매우 미미한 실정이다. 이는 상지보다 하지 근골격계 질환의 종류나 환자 수가 적어 관심이 부족하기 때문이라고 사료된다.13-15 하지만 우리나라는 좌식문화, 책상에서의 업무와 산업 현장에서 근무 시 장시간 불균형한 자세로 활동을 하기 때문에 이와 관련한 불균형에 대한 연구와 일상생활에서 불균형을 쉽게 평가하고 개선효과를 제공할 수 있는 제품 개발이 필요하다.
본 연구에서는 보행 중 유발되는 인체 좌우 불균형 개선을 위한 청각자극 피드백 기술을 이용한 압력센서(Force Sensitive Resistor, FSR) 기반 스마트 인솔을 개발하고 이에 대한 효과를 검증하기 위하여 보행 중 불균형 발생 시 청각자극 피드백에 따른 실시간 근육 활성도와 족부 압력 특성을 비교 분석하고 고찰하고자 한다.
2.1 피험자
본 연구에서는 하지의 근력 불균형에 따른 보행특성을 알아보기 위해 신체 건강한 20대 성인 남녀 100명을 대상으로 BIODEX System 3 (Biodex Medical Systems, Inc., USA)을 이용하여 등속성 관절토크를 평가하였다(Fig. 1). 하지 좌우 근력 불균형을 평가하기 위해 슬관절(Knee Joint)과 족관절(Ankle Joint)의 신전과 굴곡운동에 따른 좌우 최대근력을 측정하였다. 측정한 관절토크 프로토콜은 신전과 굴곡운동 시 60°/sec 각속도와 60° 운동 가동범위를 제공하였다.9 사전평가 후, 하지 좌우 최대 근력차이가 20% 이상인 15명과 10% 이내 균형 피험자 15명을 각각 최종 선출하였다. 이들은 균형 그룹과 불균형 그룹으로 나뉘어 실험을 진행하였다(Table 1).
Fig. 1

Isokinetic joint torque test for estimating the muscle strength imbalance ((a): knee joint, (b): ankle joint)

KSPE_2018_v35n1_53_f001.jpg
Table 1

The physical information of participants

(M= 10-males, F= 5-females in group)
Table 1
Balance group Imbalance group
Age(yr) M= 22.0 ± 1.5
F= 22.0 ± 2.1
M= 22.0 ± 2.3
F= 22.0 ± 1.9
Height(cm) M= 175.0 ± 1.1
F= 160.0 ± 1.6
M= 175.0 ± 2.1
F= 160.0 ± 0.7
Weight(kg) M= 70.0 ± 2.9
F= 50.0 ± 1.6
M= 70.0 ± 3.3
F= 50.0 ± 2.1
Difference ratio
of knee torque (%)
M= 9.11 ± 1.63
F=7.52 ± 2.11
M= 22.51 ± 3.21
F= 21.75 ± 2.50
Difference ratio
of ankle torque (%)
M= 8.31 ± 0.22
F= 8.70 ± 3.23
M= 23.75 ± 1.95
F= 25.65 ± 2.55
또한 실험 진행 중 구토, 두통이나 근육통 등을 호소하는 경우 실험을 즉각 중단하도록 하였으며 본 실험 진행 중에 중도 탈락된 피험자는 없었다.
2.2 스마트 균형 인솔
본 연구에서 보행 중 인체 불균형 측정 평가용 스마트 균형 인솔을 개발하기 위해 FSR 압력센서를 이용하여 인체 하중 감지 인솔과 이를 제어하기 위한 통합센서 모듈을 개발하였다. 좌우 불균형 측정에 대한 유효성 확보를 위하여 전족부에 2개, 중족부에 4개와 후족부에 2개씩 위치시켜 총 8개 부위에 FSR-400 센서를 탑재한 FPCB (0.2 T Depth, Flexible PCB)를 개발하였다. 개발된 인솔의 압력 감지 범위는 128 단계로 정밀한 족부 하중 측정이 가능하다. 또한 사용자가 보행 시 나타나는 불균형 정보를 측정하기 위한 9축 센서(3축 가속도센서 + 3축 자이로센서 + 3축 지자기센서)와 데이터 전송 및 분석을 위한 일체형 BLE (Bluetooth Low Energy) 모듈을 개발하였다(Fig. 2). 개발된 인솔 좌우의 압력 분포 차이 값이 20% 이상이 되면 불균형으로 인식하고 청각자극 피드백을 피험자들에게 제공한다.
Fig. 2

Developed the smart insole system configuration ((a) FPCB based FSR sensor product, (b) integrated control board, (c) balance insole test screen)

KSPE_2018_v35n1_53_f002.jpg
2.3 실험절차
본 연구에서 피험자들은 스마트 인솔이 장착된 신발을 신고 트레드밀에서 경사 0%와 3 km/h 속도로 5분간 보행을 총 5회 반복 수행하였다. 또한 스마트 인솔의 정확도와 유효성을 검증하기 위해 그룹별 보행 중 발생되는 근력 불균형과 이를 개선하기 위한 청각 자극에 따른 실시간 근육 활성도와 족압을 측정하였다. 보행 시 실내온도와 습도에 의한 피험자 간 생리학적 변화 오류를 최소화하기 위해 실험 기간 동안 25oC의 실내온도와 습도 50% 수준을 일정하게 유지하였다(Fig. 3).
Fig. 3

Block diagram of experimental procedure

KSPE_2018_v35n1_53_f003.jpg
2.4 근육 활성도 및 인체 하중 분포 평가
본 연구에서는 스마트 인솔 시스템을 착용하고 보행 중 발생되는 근력 불균형에 따른 근육 활성도 특성을 평가하기 위해 Bagnoli-8ch EMG 시스템(Bagnoli, Delsys Inc., Boston, MA)를 이용하였다. 근육활성도 특성을 분석하기 위해 측정한 근육은 대퇴직근(Rectus Femoris, RF), 대퇴이두근(Biceps Femoris, BF), 전경골근(Tibialis Anterior, TA), 비복근(Gastrocnemius, GN)이다. 이때, 해당 근육별 좌우측 다리의 동일한 위치에 전극을 부착하여 근육위치에 따른 근육 활성도 결과 오류를 최소화하였다. 근전도 데이터 샘플링은 1000 Hz이고, 노이즈 감소를 위해서 필터링을 하고 증폭하였다. 필터는 버터워스 대역통과 필터(Butter-Worth Band Pass Filter)를 사용하였고, 대역폭은 25-450 Hz구간이다. 피험자의 근육활성도 값에 대한 표준화를 위해 %MVIC 값을 계산하여 비교 분석하였다. 또한 근육 활성도 평가 시 피험자들에게 개발된 인솔을 착용시켜 FSR 센서기반 스마트 인솔의 하중값에 대한 정확도와 유효성을 평가하였다. 근력 불균형에 따른 인체 하중 분포 특성과 스마트 인솔의 측정 값을 비교분석 하기 위해서 PEDAR-X장비를 이용하여 실시간 족부 압력을 측정하였다(Fig. 4). 이를 위해 전족부, 중족부, 후족부로 나누어서 측정 분석하였다.
Fig. 4

The estimation of muscular activity and foot pressure for evaluating the muscle strength imbalance in gait environment ((a) EMG test, (b) Real-Time foot pressure test)

KSPE_2018_v35n1_53_f004.jpg
2.5 데이터 처리
본 연구에서는 보행 중 발생하는 근력 불균형에 따른 사용 근육과 인체하중 분포의 특성을 알아보기 위해 실시간 근육 활성도와 족압 분포를 평가하였다. 측정된 데이터들의 유의성 검증을 위해 SPSS 18.0을 사용하였으며, 우선 스마트 인솔에 대한 보행 중 불균형에 따른 실시간 근육생리신호와 족압 데이터에 대한 평균과 표준편차를 계산하였다. 또한 측정한 대퇴직근, 대퇴이두근, 전경골근과 비복근에 대한 근육활성도 데이터는 각 1-Step별 1초 동안의 측정값을 RMS (Root Mean Square) 처리한 후 처음과 마지막 150 ms를 제외한 중간 700ms 동안의 평균 근육활성도 데이터이다. 사전 측정된 최대 자발 수축능력(Muscle Voluntary Isometric Contraction, MVIC) 값을 기준으로 백분율화하여 좌우 차이값을 분석하였다.
또한 족압 데이터는 보행 중 발생되는 전족부, 중족부, 후족부의 힘을 기준으로 좌우 차이 값을 비교분석 하였다. 보행 중 스마트 인솔의 불균형 검출 결과, 근육 활성도와 인체 하중분포 값에 대한 그룹 간 차이의 변화를 분석하기 위해 반복된 측정 ANOVA를 실시하였고 통계적 유의성 수준은 p < 0.05이다.
3.1 보행 중 근력 불균형에 따른 근육활성도 결과
실험결과, 보행 중 불균형 그룹에서 균형그룹에 비해 30.65 ± 1.70% 수준의 더 큰 좌우 %MVIC 차이 값을 나타내고 있다. 불균형 그룹은 균형그룹보다 보행 중 대퇴직근은 67.76%, 대퇴이두근 74.47%, 전경골근 116.42%, 비복근 102.72%의 유의한 좌우 근육활성도 차이를 나타냈다(Fig. 5). 하지의 좌우 최대 근력 차이는 보행 중 좌우 근육활성도 차이에서도 67.76-116.42% 유사한 수준의 경향을 보였다. 이는 근력 불균형이 단순히 좌우의 근력 차이뿐만 아니라 근육의 기능에도 영향을 미치는 것으로 판단된다. 이는 보행 시 신체 이동을 위해 요구되는 운동에너지를 근육이 발생할 때 우성 근육이 반대측 근육보다 더 큰 근수축이 야기되어 좌우 근력 불균형이 더 커진다.
Fig. 5

The %MVIC result of muscular activity difference according to muscle strength imbalance during gait (RF: rectus femoris, BF: biceps femoris, TA: tibialis anterior, GN: gastrocnemius, mean ± SD, *p < 0.05)

KSPE_2018_v35n1_53_f005.jpg
결국 하지 좌우의 근력 불균형을 보유한 상태에서 보행을 하거나 운동을 수행하면 인체 불균형을 더 크게 야기할 수 있다. 또한 대퇴부 결과보다 하퇴부에서 42.0% 수준의 더 큰 차이를 보이는 것은 보행속도가 3 km/h로 일반 보행속도와 유사하고 인체 이동을 위한 에너지 생산을 큰 근육인 대퇴부 보다 하퇴부 근육의 활성이 더 크게 작용하였기 때문이다.
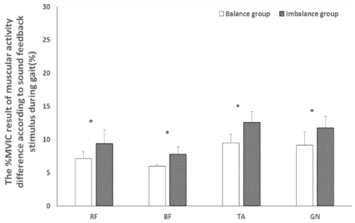
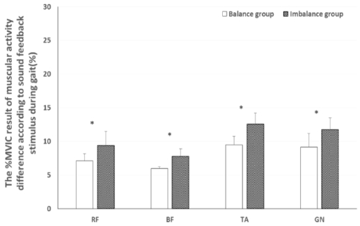
불균형 발생 시 청각 자극 피드백을 제공한 결과, 불균형 그룹에서도 균형그룹과 유사한 수준으로 좌우 근력 불균형이 감소하는 경향을 보였다(Fig. 6). 청각 자극 피드백 제공 시 근력 불균형 결과, 대퇴직근은 36.22%, 대퇴이두근은 18.19%, 전경골근은 73.31%, 비복근은 64.77% 감소하는 결과를 유의하게 나타냈다. 이는 청각 자극 피드백이 사용자에게 근력 불균형 정보를 제공하고 이를 통해 사용자에게 불균형을 인지 및 개선하고자 하는 행동의지 반응을 유도하여 근력 불균형이 감소하는 것으로 판단된다. 사전연구에서 8주간 근력 불균형 개선을 위한 재활운동은 근적응을 통한 개선효과를 보였지만 잘못된 일상생활과 운동 습관에 의한 불균형은 6개월 후 다시 발생되었다. 하지만 일상생활이나 운동 시 사용자에게 청각 자극 피드백을 실시간으로 제공하여 뇌 인지와 행동반응 간 상호 교환적 재활훈련은 불균형에 대한 근본적인 원인 해 결과 동시에 훈련이 가능하여 좌우 근력 불균형 해소에 더 큰 긍정적 효과를 유도한다.
Fig. 6

The %MVIC result of muscular activity difference according to sound feedback stimulus for muscle imbalance gait (RF: rectus femoris, BF: biceps femoris, TA: tibialis anterior, GN: gastrocnemius, mean ± SD, *p < 0.05)

KSPE_2018_v35n1_53_f006.jpg
3.2 보행 중 근력 불균형에 따른 인체 하중 분포 결과
보행 중 근력 불균형에 따른 인체하중 분포 결과, 근육활성도 결과와 유사한 경향을 보였다. 족부 압력의 좌우 차이는 전족부 76.43%, 중족부 107.80%, 후족부 95.79%를 나타냈다(Fig. 7). 이는 입각기에서 하중반응(Loading Response)으로 넘어가는 구간으로 체중지지가 가장 크게 발생되며, 인체 무게 중심이 전체 발로 넘어가 가장 큰 불균형을 나타내는 것으로 판단된다. 후족부 경우, 부하 반응(Loading Response) 구간으로 초기 접지기(Initial Contact)에서 체중지지기로 넘어가는 구간에서 발생되는 인체 하중 분포 결과로써 체중과 근육의 힘이 족부에 처음 전달되기 때문에 체중이 실리는 구간이므로 불균형이 전족부에 비해 크게 발생된다고 생각된다.
Fig. 7

The result of foot pressure difference according to muscle strength imbalance during gait (mean ± SD, *p < 0.05)

KSPE_2018_v35n1_53_f007.jpg
하지만 청각 자극 피드백 제공 시, 좌우 족부 압력 차이는 전족부 17.78%, 중족부 54.89%, 후족부 49.41% 감소하는 경향을 보였다(Fig. 8). 중족부에서 가장 큰 불균형 감소 효과를 보이는데 이는 체중지지에 따른 가장 큰 불균형이 발생되기 때문에 감소효과 또한 가장 크게 나타나는 것으로 판단된다. 후족부에서도 큰 감소 경향을 보이는데 이는 보행 시작단계에서 신체 안정성과 하지의 전방변위에 따른 균형을 유지하기 위해 체중에 따른 족부 압력 차이가 크게 발생되기 때문에 불균형 감소효과도 크게 발생한다.
Fig. 8

The result of foot pressure difference according to sound feedback stimulus for muscle strength imbalance during gait (mean ± SD, *p < 0.05)

KSPE_2018_v35n1_53_f008.jpg
3.3 보행 중 근력 불균형에 따른 스마트 인솔 데이터결과
스마트 인솔의 FSR 센서 데이터 결과, 근육 활성도와 족압 결과를 비교하면 유사한 수준의 경향을 보였다. 좌우 근력 불균형 그룹에서 균형 그룹보다 인체 하중의 좌우 압력 차이 값이 95.12% 더 큰 유의한 결과를 나타냈다. FSR 센서 결과, 전족부 67.79%, 중족부 117.36%와 후족부 100.21% 차이를 보였다(Fig. 9). 이는 하지의 좌우 근력 불균형이 보행 중 인체 좌우 하중분포와 직간접적인 상관관계가 있다. 특히 보행 중 좌우 불균형에 따른 실시간 족압 결과와 유사하게 스마트 인솔의 좌우 FSR 센서 데이터 차이 값은 전족부의 67.79% 수준에 비해 중족부 117.36%, 후족부 100.21%로 중족부와 후족부가 전족부에 비해 더 큰 좌우 차이 결과를 나타냈다. 이는 하지의 좌우 근력 불균형과 인체 무게중심의 이동이 밀접한 관계를 가지고 있다는 것을 의미한다. 즉, 근력 불균형은 근수축력뿐만 아니라 무게중심의 이동에도 영향을 준다. 청각 자극 피드백 제공 시, 족부 압력 결과와 유사하게 전족부 25.47%, 중족부 45.08%, 후족부 38.05% 감소하는 결과를 나타내고 있다(Fig. 10). 이는 개발된 인솔의 불균형 감지 및 개선효과에 대한 유효성을 검증한 결과라고 사려된다.
Fig. 9

The result of FSR data difference according to muscle strength imbalance during gait (mean ± SD, *p < 0.05)

KSPE_2018_v35n1_53_f009.jpg
Fig. 10

The result of FSR data difference according to sound feedback stimulus for muscle strength imbalance during gait (mean ± SD, *p < 0.05)

KSPE_2018_v35n1_53_f010.jpg
본 연구에서는 보행 중 유발되는 인체 좌우 불균형 개선을 위한 청각자극 피드백을 이용한 FSR 센서 기반 스마트 인솔을 개발하였다. 이에 대한 효과를 검증하기 위하여 보행 중 불균형 발생 시청각피드백 유무에 따른 하지의 근육 활성도와 족압 특성을 분석하고 고찰하고자 하였다. 그 결과 다음과 같은 결론을 얻었다.
(1) 보행 시 하지의 좌우 근력 불균형은 보행 시 큰 차이의 %MVIC 값을 보여주고 있다. 이는 보행 중 신체 이동을 위해 요구되는 운동에너지를 발생할 경우, 우성 근육군이 더 큰 근수축을 발생시켜 보행 불균형이 더 커진다. 즉, 근력 불균형이 단순히 좌우 근력 차이가 아닌 근육의 기능에도 영향을 미치는 것으로 판단된다.
(2) 보행 중 족압은 중족부, 후족부, 전족부 순으로 차이를 보였다. 특히 중족부에서 가장 큰 좌우 불균형을 나타내는데 이는 근력 불균형이 입각기에서 하중반응으로 넘어가는 구간으로 체중지지가 가장 크게 발생되며, 인체 무게 중심이 전체 발로 넘어가 가장 큰 불균형을 야기한다.
(3) 보행 중 불균형 발생 시 청각 자극 피드백을 제공하면 좌우 불균형이 35% 이내로 감소되는 결과를 보이고 있다. 이는 청각 자극 피드백이 사용자에게 근력 불균형 정보를 제공하여 불균형을 개선하고자 하는 행동의지 반응을 유도한다. 또한, 일상생활이나 운동 시 인지와 행동반응 간 상호 교환적 재활훈련을 통해 좌우 근력 불균형 해소에 긍정적 효과를 기대할 수 있다.
(4) 스마트 인솔의 FSR 압력센서 데이터 결과, 청각피드백 유무에 따른 근육 활성도와 족부 압력 결과와 유사한 수준의 불균형 감지 및 개선효과를 보여 인솔의 정확도와 유효성을 확보하였다고 판단된다. 이는 하지의 좌우 근력 불균형이 보행 중 인체 하중분포 불균형과 상관 관계가 있다.
본 연구 결과는 향후 근력 불균형을 측정하거나 개선하기 위한 재활시스템이나 운동프로그램 개발에 기초자료로 활용 가능하며 일반인뿐만 아니라 고령자나 환자들의 근골격계 질환에 대한 재활 치료에도 응용 가능하다.
이 논문은 2016년도 정부(교육부)의 재원으로 한국연구재단의 지원을 받아 수행된 기초연구사업임(No. NRF-2016R1A6A3A11935992).
  • 1.
    Heo, G. S., Yang, S. H., Lee, S. R., Lee, J. G., and Lee, C. Y., “A Study on Particular Abnormal Gait Using Accelerometer and Gyro Sensor,” J. Korean Soc. Precis. Eng., Vol. 29, No. 11, pp. 1199-1206, 2012.
    10.7736/KSPE.2012.29.11.1199
  • 2.
    Park, Y. S. and Lee, S. N., “An Analysis of Gait Variables by Muscle Strength Imbalance of Low Extremity and Descent-Stair Walking in Elderly Women,” The Korean Journal of Growth and Development, Vol. 20, No. 2, pp.127-132, 2012.
  • 3.
    Kim, Y. H., “The Effects of Health Exercise Program on Walking Ability, Depression and WHOQOL-BREF in the Fall Experienced Women Elderly,” Journal of the Korea Academia-Industrial Cooperation Society, Vol. 11, No. 10, pp. 3726-3732, 2010.
    10.5762/KAIS.2010.11.10.3726
  • 4.
    Park, M. H., Park, H. J., and Oh, D. W., “The Relationship between Physical Characteristics and Walking Ability in Elderly: A Cross-Sectional Study,” Journal of the Korea Academia-Industrial Cooperation Society, Vol. 13, No. 6, pp. 2664-2671, 2012.
    10.5762/KAIS.2012.13.6.2664
  • 5.
    Kang, S. R., Yoon, Y. H., Yu, C. H., Nah, J. W., Hong, C. U., et al., “The Development and Verification of Balance Insole for Improving the Muscle Imbalance of Left and Right Leg Using based Sound Feedback,” Journal of Rehabilitation Welfare Engineering & Assistive Technology, Vol. 11, No. 2, pp. 115-124, 2017.
  • 6.
    Moon, Y. J., Lee, S. H., and Lim, B. O., “The Research on EMG tendency Following Increasing Record in Snatch Weightlifting,” Korean Journal of Sport Biomechanics, Vol. 16, No. 4, pp. 1-12, 2006.
    10.5103/KJSB.2006.16.4.001
  • 7.
    Kang, S. R., Yu, C. H., and Kwon, T. K., “Evaluation of Bio-Mechanical Characteristics to Improve Muscle Strength Imbalance according to Exercise Load Deviation,” Int. J. Precis. Eng. Manuf., Vol. 18, No. 10, pp. 1439-1447, 2017.
    10.1007/s12541-017-0155-8
  • 8.
    Askling, C., Karlsson, J., and Thorstensson, A., “Hamstring Injury Occurrence in Elite Soccer Players After Preseason Strength Training with Eccentric Overload,” Scandinavian Journal of Medicine & Science in Sports, Vol. 13, No. 4, pp. 244-250, 2003.
    10.1034/j.1600-0838.2003.00312.x
  • 9.
    Newton, R. U., Gerber, A., Nimphius, S., Shim, J. K., Doan, B. K., et al., “Determination of Functional Strength Imbalance of the Lower Extremities,” Journal of Strength and Conditioning Research, Vol. 20, No. 4, pp. 971-977, 2006.
    10.1519/00124278-200611000-00039
  • 10.
    Kang, S. R., Jeong, G. Y., Moon, D. A., Jeong, J. S., Kim, J. J., et al., "Evaluation of Bio-Mechanical Characteristics according to Loading Deviation Methods during Rowing Exercise," Korean Journal of Sport Biomechanics, Vol. 21, No. 3, pp. 369-382, 2011.
    10.5103/KJSB.2011.21.3.369
  • 11.
    Kim, E. S. and Yoon, H. Y., “A Study on the Evaluation of Imbalanced Lower Limbs Postures Based on Subjective Discomfort Ratings,” Proc. of the Conference of Ergonomics Society of Korea, pp. 33-41, 2009.
  • 12.
    Kang, Y. S. and Kim, J. S., “The Evaluation Study of Leg Strength Imbalance Ratios Measured Using Isokinetic Dynamometer,” Korea Journal of Sports Science, Vol. 20, No. 3, pp. 1575-1583, 2011.
  • 13.
    Kim, E. S., “Ergonomic Evaluation of Work Load in Imbalanced Lower Limbs Postures,” M.Sc. Thesis, Dong-a University, 2010.
  • 14.
    Yvonne, N., Andrew, S., Mark, S., Madeline, P. B., and Thomas, S., “Effects of a Shoulder Injury Prevention Strength Training Program on Eccentric External Rotator Muscle Strength and Glenohumeral Joint Imbalance in Female Overhead Activity Athletes,” Journal of Strength and Conditioning Research, Vol. 22, No. 1, pp. 140-145, 2008.
    10.1519/JSC.0b013e31815f5634
  • 15.
    Kang, S. R., Jeong, G. Y., Bae, J. J., Min, J. Y., Yu, C. H., et al., “Effect of Muscle Function and Muscular Reaction of Knee Joint in the Twenties on the Whole Body Vibration Exercise,” J. Korean Soc. Precis. Eng., Vol. 30, No. 7, pp.762-768, 2013.
    10.7736/KSPE.2013.30.7.762

Download Citation

Download a citation file in RIS format that can be imported by all major citation management software, including EndNote, ProCite, RefWorks, and Reference Manager.

Format:

Include:

The Development of Smart Insole for Improvement of Human Body Imbalance during Walking
J. Korean Soc. Precis. Eng.. 2018;35(1):53-59.   Published online January 1, 2018
Download Citation

Download a citation file in RIS format that can be imported by all major citation management software, including EndNote, ProCite, RefWorks, and Reference Manager.

Format:
Include:
The Development of Smart Insole for Improvement of Human Body Imbalance during Walking
J. Korean Soc. Precis. Eng.. 2018;35(1):53-59.   Published online January 1, 2018
Close

Figure

  • 0
  • 1
  • 2
  • 3
  • 4
  • 5
  • 6
  • 7
  • 8
  • 9
The Development of Smart Insole for Improvement of Human Body Imbalance during Walking
Image Image Image Image Image Image Image Image Image Image
Fig. 1 Isokinetic joint torque test for estimating the muscle strength imbalance ((a): knee joint, (b): ankle joint)
Fig. 2 Developed the smart insole system configuration ((a) FPCB based FSR sensor product, (b) integrated control board, (c) balance insole test screen)
Fig. 3 Block diagram of experimental procedure
Fig. 4 The estimation of muscular activity and foot pressure for evaluating the muscle strength imbalance in gait environment ((a) EMG test, (b) Real-Time foot pressure test)
Fig. 5 The %MVIC result of muscular activity difference according to muscle strength imbalance during gait (RF: rectus femoris, BF: biceps femoris, TA: tibialis anterior, GN: gastrocnemius, mean ± SD, *p < 0.05)
Fig. 6 The %MVIC result of muscular activity difference according to sound feedback stimulus for muscle imbalance gait (RF: rectus femoris, BF: biceps femoris, TA: tibialis anterior, GN: gastrocnemius, mean ± SD, *p < 0.05)
Fig. 7 The result of foot pressure difference according to muscle strength imbalance during gait (mean ± SD, *p < 0.05)
Fig. 8 The result of foot pressure difference according to sound feedback stimulus for muscle strength imbalance during gait (mean ± SD, *p < 0.05)
Fig. 9 The result of FSR data difference according to muscle strength imbalance during gait (mean ± SD, *p < 0.05)
Fig. 10 The result of FSR data difference according to sound feedback stimulus for muscle strength imbalance during gait (mean ± SD, *p < 0.05)
The Development of Smart Insole for Improvement of Human Body Imbalance during Walking
Balance group Imbalance group
Age(yr) M= 22.0 ± 1.5
F= 22.0 ± 2.1
M= 22.0 ± 2.3
F= 22.0 ± 1.9
Height(cm) M= 175.0 ± 1.1
F= 160.0 ± 1.6
M= 175.0 ± 2.1
F= 160.0 ± 0.7
Weight(kg) M= 70.0 ± 2.9
F= 50.0 ± 1.6
M= 70.0 ± 3.3
F= 50.0 ± 2.1
Difference ratio
of knee torque (%)
M= 9.11 ± 1.63
F=7.52 ± 2.11
M= 22.51 ± 3.21
F= 21.75 ± 2.50
Difference ratio
of ankle torque (%)
M= 8.31 ± 0.22
F= 8.70 ± 3.23
M= 23.75 ± 1.95
F= 25.65 ± 2.55
Table 1 The physical information of participants (M= 10-males, F= 5-females in group)