Skip to main navigation Skip to main content
  • E-Submission

JKSPE : Journal of the Korean Society for Precision Engineering

OPEN ACCESS
ABOUT
BROWSE ARTICLES
EDITORIAL POLICIES
FOR CONTRIBUTORS
SPECIAL

플라즈마 보조가공에서 가스 유량 및 출력의 영향분석

A Study on the Effect of Gas Flow Rate and Power in Plasma Assisted Machining

Journal of the Korean Society for Precision Engineering 2018;35(6):603-608.
Published online: June 1, 2018

1 창원대학교 기계공학부

1 School of Mechanical Engineering, Changwon National University

#E-mail: cmlee@changwon.ac.kr, TEL: +82-55-213-3622
• Received: April 11, 2018   • Revised: April 24, 2018   • Accepted: May 14, 2018

Copyright © The Korean Society for Precision Engineering

This is an Open-Access article distributed under the terms of the Creative Commons Attribution Non-Commercial License (http://creativecommons.org/licenses/by-nc/3.0) which permits unrestricted non-commercial use, distribution, and reproduction in any medium, provided the original work is properly cited.

  • 25 Views
  • 0 Download
  • 1 Crossref
  • 1 Scopus
prev next
  • Recently, demands for difficult-to-cut materials with high mechanical properties have been increased in various industrial fields, such as the aerospace and automobile industries. Because difficult-to-cut materials have high mechanical properties, it is difficult to achieve conventional machining. Therefore, many researchers have been studying the machining methods for difficult-to-cut materials. One of the many studies of how to cut difficult-to-cut materials involves plasma-assisted machining (PAM) is a machining method that softens difficult-to-cut materials by a plasma heat source to remove by the cutting tool. PAM has various machining conditions, and it is very important to determine the optimal conditions to improve machining accuracy and efficiency. In this study, the cutting force was analyzed by using a gas flow rate and power which are the easiest to control in the PAM system. The results of this study can be applied to PAM data under optimum conditions.
최근 뛰어난 내부식성과 내열성을 가지는 난삭재는 의료기기, 우주항공 등 다양한 산업분야에서 수요가 증가하고 있다. 하지만 이러한 난삭재는 우수한 기계적 특성 때문에 일반가공으로는 가공이 어렵다.1-4 이에 따라, 많은 연구자들이 난삭재를 가공하는 방법에 대해 활발한 연구를 진행하고 있다. 그 중 열원 보조가공(Thermally Assisted Machining)은 난삭재를 가공하는 효율적인 방법으로 주목 받고 있다. 열원 보조가공이란 먼저 열원을 소재(Workpiece)에 예열하고 소재의 강도를 낮추어 난삭재 가공을 쉽게 함으로써 가공성을 향상 시킨다.5-8 열원 보조가공은 열원의 종류에 따라 구분되는데 플라즈마 보조가공은 플라즈마 열원으로 소재를 예열하여 가공하는 방식이다. 다른 열원인 레이저(Laser) 및 인덕션(Induction)에 비해 가격이 저렴하며 용접, 절단 등에 많이 사용된다.
Fig. 1은 플라즈마의 발생 원리를 나타낸다. 플라즈마의 발생은 저온전자(Cryo-Electron)가 전기장(Electric Field)으로부터 에너지(Energy)를 얻는 전자가열(Electron Heating) 과정과 중성종(Radical) 입자와 분리되는 이온화(Ionization) 과정을 통해 플라즈마가 발생된다. 현재 플라즈마 보조가공은 많은 연구 진행이 이루어 지지 않고 있으며, 기존의 연구들은 주로 플라즈마 보조가공의 가공특성에 대한 연구가 진행되었다. Lopez de Lacalle 등9은 플라즈마 보조가공에서 공구마모(Tool Wear)와 절삭력(Cutting Force)을 실험을 통해 분석하였으며, Moon 등10은 AISI 1045 소재를 플라즈마 보조가공하여 절삭력 및 표면거칠기(Surface Roughness)를 분석하였다. Kitagawa 등11은 터닝 공정에 플라즈마 열원을 적용하여 세라믹 소재의 공구 마모 및 피삭성(Machinability)에 관해 연구를 수행하였다. Lee 등12은 플라즈마 토치 각도를 가공 변수로 두어 토치 각도에 따른 가공특성을 연구하였다.
Fig. 1

Principles of plasma generation

KSPE_2018_v35n6_603_f001.jpg
플라즈마 보조가공의 예열효과에 관한 연구도 진행이 되었다. Kim 등13은 플라즈마 보조가공에서 실린더형(Cylindrical Shape) 시편의 예열효과를 해석을 통해 연구하였으며, Baek 등14은 레이저-플라즈마 열원의 예열효과를 연구하여 효과적인 절삭가공을 위한 적절한 예열방법을 제시하였다.
플라즈마 보조가공의 가공특성 및 예열효과에 관한 연구는 진행이 되는 반면에 플라즈마 보조가공의 가공조건에 대한 연구는 거의 이루어 지지 않았다. 플라즈마 보조가공은 가공조건에 따라 절삭력, 가공품위 등이 확연히 달라지게 되므로 적절한 가공조건을 연구하는 것은 매우 중요하다.
본 연구에서는 플라즈마 보조가공에서 가장 쉽게 제어가 가능한 가스 유량과 가스 출력을 가공 변수로 두어 절삭력을 비교분석 하였다. 본 연구 결과는 플라즈마 보조가공의 가공조건에 관한 자료로 활용될 수 있을 것이다.
2.1 해석모델
Fig. 2는 본 연구에 사용된 유한요소 모델(Finite Element Model, FEM))을 나타낸다. 소재는 항공 및 자동차 부품에 많이 사용되는 대표적인 난삭재 소재인 티타늄 알파-베타 합금(Ti-6AL-4V Alpha-Beta)을 사용하였으며 시편의 크기는 16 mm × 16 mm × 60 mm(T ×W× L)이다. 메쉬(Mesh)는 육각형 메쉬(Hex Dominant)을 적용하였으며 예열이 되는 부위(Heated Zone)는 정확한 해석을 위해 요소 크기(Element Size)는 0.5 mm, 이외의 부위는 1 mm로 설정하였다. 해석은 유한요소해석 프로그램인 ANSYS Workbench를 사용하였으며 Transient Thermal 해석을 수행하였다.
Fig. 2

FEM model

KSPE_2018_v35n6_603_f002.jpg
2.2 열 전달 해석
플라즈마 해석에 사용된 열 전달 방정식과 경계조건은 식(1)식(2)와 같다.15,16
(1)
Cp=xkTx+ykTy+zkTz+Q˙
식(1)에서 T, t, K, C, ρ, Q˙는 각각 온도, 시간 열전도율(Thermal Conductivity), 비열(Specific Heat), 밀도(Density), 발열량(Heat Generation Rate)을 나타낸다.
(2)
-KTZ=qx,y-h(T-To)
식(2)에서 q, h는 각각 열 유속(Heat Flux), 열 전달계수(Heat Transfer Coefficient)를 나타낸다.
2.3 해석조건
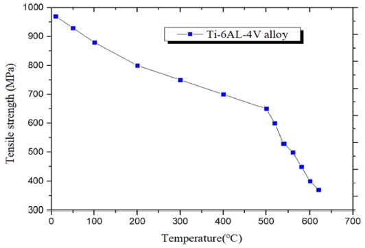
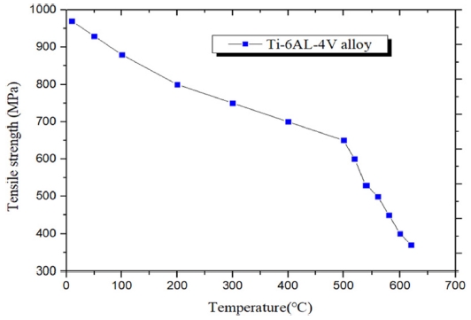
Table 1은 열 해석 조건을 나타낸다. 초기온도는 22oC를 적용하였으며 플라즈마 열원에는 열 유동(Heat Flow)조건을 적용하였다. 티타늄 합금의 열 해석을 수행하기 위해 열전도율과 비열을 Fig. 3에 나타내었다. Fig. 4는 티타늄 합금의 온도변화에 따른 인장강도 변화를 나타낸다. 티타늄 합금의 인장강도는 500~550oC의 범위에서 급격히 감소한다.17,18 따라서 본 연구에서는 티타늄합금의 예열 온도를 550oC로 결정하였다.
Table 1

Analysis condition

Table 1
Materials Ti-6AL-4V
Plasma profile diameter (mm) 6
Plasma current (A) 50
Convention coefficient (W/m2) 5
Density (kg/m-3) 7,850
Plasma feed rate (mm/min) 100
Fig. 3

Thermal conductivity and specific heat of Ti-6AL-4V

KSPE_2018_v35n6_603_f003.jpg
Fig. 4

Tensile strength of Ti-6AL-4V according to temperature changes

KSPE_2018_v35n6_603_f004.jpg
2.4 해석결과
Fig. 5는 연구에 사용된 플라즈마의 열 해석결과를 보여준다. 해석결과, 550oC까지 예열이 되는 깊이는 표면에서부터 0.4 mm로 확인할 수 있었다. 플라즈마 전류(Plasma Current)에 따라 예열 깊이가 달라지게 되고 절삭 깊이를 크게 하여 가공 능률을 향상시킬 수 있지만, 동일한 절삭 깊이로 실험결과를 비교하여 가스 유량과 출력의 효과를 확인하고자 하였으므로 전류값이 가장 작은 50 A에서 최고 절삭 깊이인 0.4 mm로 선정하였다.
Fig. 5

Result of the thermal analysis

KSPE_2018_v35n6_603_f005.jpg
플라즈마 아크 토치는 생성방법에 따라 비 이송형 토치(Non-Transferred Torch) 및 이송형 토치(Transferred Torch)로 나뉜다. 전자는 토치 내부에서 플라즈마를 생성하지만, 후자는 소재와 토치 사이에서 플라즈마를 생성한다. 본 실험에서는 비 이송형 토치를 사용하였다. Fig. 6은 비 이송형 타입에서 플라즈마가 생성되는 원리를 보여준다.
Fig. 6

Schematic of non-transferred torch

KSPE_2018_v35n6_603_f006.jpg
3.1 가공조건
플라즈마 보조가공의 가공변수로는 플라즈마 출력, 가스 유량, 토치각도, 절삭 깊이, 스핀들 속도, 이송속도, 절삭공구와 플라즈마 열원 사이의 거리, 플라즈마 토치와 소재와의 거리 등이 있으며 가공의 정밀도를 높이기 위해서는 가공조건의 적절한 선정이 필요하다. 적절한 가공조건의 선정은 가공능률을 향상시켜 난삭재 가공품을 빠르게 생산할 수 있는 효과가 있다.
본 연구에서는 플라즈마 보조가공에서 플라즈마 출력과 가스 유량이 가공특성에 미치는 영향을 분석하고자 하여 가공변수로 선정하였다. 플라즈마 보조가공에서 출력과 가스 유량은 플라즈마 장치에서 쉽게 제어가 가능한 변수이기 때문에 위 2가지를 선정하였다. Table 2는 플라즈마 보조가공의 가공조건을 나타낸다. 본 실험에 사용된 플라즈마 장치는 2 kW까지 사용이 가능하며 플라즈마 출력은 1 kW, 1.5 kW, 2 kW로 변수를 두었고 가스 유량은 15 l/min, 25 l/min으로 가공변수를 두었다. 가스 유량과 가스 출력에 따른 실험 결과를 분석하기 위해서 다른 조건들은 고정변수로 두었다. 절삭 깊이는 0.4 mm, 스핀들 속도는 7,000 rpm, 이송속도는 100 mm/min, 토치각도는 60o로 선정하였다.
Table 2

Selection of machining conditions for PAM

Table 2
Gas flow rate (l/min) 15, 25
Plasma power (kW) 1, 1.5, 2
Spindle speed (rpm) 7,000
Feed rate (mm/min) 100
Torch angle (°) 60
Depth of cut (mm) 0.4
3.2 실험장치
Fig. 7은 플라즈마 보조가공에 사용된 장비를 나타낸다. 본 실험에서 현대위아(HYUNDAI-WIA)에서 제작된 5축 공작기계(HI-V560M)를 사용하였으며 플라즈마를 발생시키는 토치는 스핀들(Spindle) 우측에 장착되어있다. 플라즈마 토치는 플라즈닉스(PLASNIX)에서 제작된 비 이송형 토치를 사용하였고 아르곤(Arogn) 가스를 사용하였다. 또한, 냉각장치(Chiller)를 설치하여 플라즈마 토치가 고온의 열에 의해 손상되는 것을 방지하였다.
Fig. 7

Experiment set up of PAM

KSPE_2018_v35n6_603_f007.jpg
Fig. 8은 플라즈마 보조가공의 개략도를 나타낸다. 절삭공구는 초경공구 Flat End-Mill을 사용하였으며, 공구의 지름은 플라즈마 열원이 6 mm인 것을 고려하여 지름은 8 mm를 사용하였다.
Fig. 8

Schematic design of plasma assisted machining

KSPE_2018_v35n6_603_f008.jpg
3.3 실험방법
플라즈마 보조가공의 가공조건은 Table 1에 나타난 바와 같다. 절삭력 측정은 KISTLER사에서 제작된 공구 동력계(9257B)를 가공물 아래에 배치하여 측정하였다. 절삭력을 모니터링 하기 위해서 공구동력계의 외부 신호를 증폭기(Multichannel Charge Amplifier)로 증폭시킨 후 데이터 수집장치(Data Acquisition)에서 디지털 신호로 변환하여 컴퓨 터에서 실시간으로 절삭력 데이터를 모니터링할 수 있는 시스템을 구축하였다.4 Fig. 9는 증폭기를 나타낸다.
Fig. 9

DAQ and multichannel charge amplifier

KSPE_2018_v35n6_603_f009.jpg
3.4 절삭력 분석
플라즈마 보조가공의 가스 유량과 가스 출력의 가공변수에 따른 절삭력을 분석하였다. 각 실험마다 공구와 소재를 교체하였으며 각 실험마다 총 3회 반복실험을 하여 평균값 산출을 통해 신뢰성 있는 결과를 확보하였다.
Fig. 10은 가스 유량이 15 l/min일 때의 절삭력 측정결과를 나타낸다. 절삭력 측정값은 평균값으로 도출하였다. 측정 결과, 가스 출력이 2 kW에서 절삭력은 1.5 kW, 1 kW에 비해 절삭력이 11%, 29% 감소함을 보였다. 가스 출력이 높을수록 절삭력이 감소하는 것을 확인할 수 있었다. Fig. 11은 가스 유량이 25 l/min일 때의 절삭력 측정결과를 나타낸다. 측정 결과, 가스 출력이 2 kW에서 절삭력은 1.5 kW, 1 kW에 비해 절삭력이 16%, 28% 감소함을 보였다. 가스 유량이 15 l/min 때와 마찬가지로 가스 출력이 높을수록 절삭력이 감소하는 것을 확인할 수 있었다. 가스 유량이 15 l/min과 25 l/min을 비교 하였을 때 분석 결과는 25 l/min일 때, 15 l/min 보다 1 kW에서 10%, 1.5 kW에서 5%, 2 kW에서 4% 절삭력이 감소하는 것을 확인할 수 있었다. 본 실험을 통해 가스 유량 25 l/min, 가스 출력 2 kW에서 절삭력이 가장 크게 감소하는 것을 확인하였다.
Fig. 10

Cutting force according to gas flow rate 15 l/min

KSPE_2018_v35n6_603_f010.jpg
Fig. 11

Cutting force according to gas flow rate 25 l/min

KSPE_2018_v35n6_603_f011.jpg
본 연구에서는 플라즈마 보조가공에서 가스 유량과 출력에 따른 절삭력을 비교 분석하였다. 가스 유량과 출력에 따라 플라즈마 예열온도가 달라지게 되어 절삭력에 영향을 미치는 것을 확인하였다. 본 연구에서 가스 유량과 출력의 최적 조건을 실험을 통해 확인하였으며 본 연구를 통해 얻은 결론은 다음과 같다.
(1) 가스 유량과 가스 출력에 따른 플라즈마 보조가공을 연구하였으며, 위 변수에 따른 플라즈마 보조가공에서의 절삭력을 분석하였다.
(2) 절삭 깊이를 선정하기 위해서 유한요소해석을 수행하였다. 티타늄 합금의 절삭을 위한 예열온도는 약 550oC로써, 해석결과에 따라 절삭 깊이는 0.4 mm로 결정하였다.
(3) 가스 출력이 2 kW일 때, 1 kW, 1.5 kW에 비해 절삭력이 16%, 28% 감소하였다. 위 결과는, 가스 출력이 클수록 절삭력이 감소한다는 것을 실험을 통해 확인하였다.
(4) 가스 유량 25 l/min와 15 l/min를 비교하였을 때, 절삭력이 미비하게 감소하여 가스 유량은 절삭력에 큰 영향을 미치지 않는 것으로 실험을 통해 확인하였다.
(5) 본 실험을 통해 플라즈마 보조가공에서 가스 유량과 가스 출력을 가공변수로 둘 때, 가스 유량은 25 l/min, 가스 출력은 2 kW에서 절삭력이 가장 적게 나오는 것을 확인할 수 있었다. 위조건이 플라즈마 보조가공에서 가스 유량과 가스 출력의 변수 중 최적의 조건으로 확인되었다.
본 연구는 플라즈마 보조가공을 위한 최적조건 선정에 관한 연구이며, 플라즈마 보조가공의 기초자료로 활용될 수 있을 것이다.
본 연구는 2018년도 정부(미래창조과학부)의 재원으로 한국연구재단 BK21 플러스사업의 지원을 받아 수행되었음.
  • 1.
    Chen, W. M., Xie, Y. M., Imbalzano, G., Shen, J., Xu, S., et al., “Lattice Ti Structures with Low Rigidity but Compatible Mechanical Strength: Design of Implant Materials for Trabecular Bone,” International Journal of Precision Engineering and Manufacturing, Vol. 17, No. 6, pp. 793-799, 2016.
    10.1007/s12541-016-0097-6
  • 2.
    Bok, W. M., Kim, S. Y., Lee, S. J., Shin, G. S., Park, J. M., et al., “Surface Characteristics and Bioactivation of Sandblasted and Acid-Etched (SLA) Ti-10Nb-10Ta alloy for Dental Implant,” International Journal of Precision Engineering and Manufacturing, Vol. 16, No. 10, pp. 2185-2192, 2015.
    10.1007/s12541-015-0281-0
  • 3.
    Cha, N. H., Woo, W. S., and Lee, C. M., “A Study on the Optimum Machining Conditions for Laser-Assisted Turn-Mill,” International Journal of Precision Engineering and Manufacturing, Vol. 16, No. 11, pp. 2327-2332, 2015.
    10.1007/s12541-015-0299-3
  • 4.
    Lee, C. M., Kim, D. H., Baek, J. T., and Kim, E. J., “Laser Assisted Milling Device: A Review,” International Journal of Precision Engineering and Manufacturing-Green Technology, Vol. 3, No. 2, pp. 199-208, 2016.
    10.1007/s40684-016-0027-1
  • 5.
    Kim, I. W., and Lee, C. M., “Investigation into the Machining Characteristics of AISI 1045 Steel and Inconel 718 for an Ellipsoidal Shape Using Laser-Assisted Contouring and Ramping Machining,” International Journal of Precision Engineering and Manufacturing, Vol. 18, No. 9, pp. 1231-1238, 2017.
    10.1007/s12541-017-0144-y
  • 6.
    Woo, W. S. and Lee, C. M., “A Study of the Machining Characteristics of AISI 1045 Steel and Inconel 718 with a Cylindrical Shape in Laser-Assisted Milling,” Applied Thermal Engineering, Vol. 91, No. pp. 33-42, 2015.
    10.1016/j.applthermaleng.2015.08.006
  • 7.
    Lee, S. J., Kim, J. D., and Suh, J., “Microstructural Variations and Machining Characteristics of Silicon Nitride Ceramics from Increasing the Temperature in Laser Assisted Machining,” International Journal of Precision Engineering and Manufacturing, Vol. 15, No. 7, pp. 1269-1274, 2014.
    10.1007/s12541-014-0466-y
  • 8.
    Gupta, N., Ahirrao, S. B., Paul, S., and Singh, R. K., “Modeling of Micro-Scale Fiber Laser Hardening Process and Optimization Via Statistical Approximation of the Engineering Models,” International Journal of Precision Engineering and Manufacturing, Vol. 16, No. 11, pp. 2281-2287, 2015.
    10.1007/s12541-015-0293-9
  • 9.
    De Lacalle, L. L., Sanchez, J., Lamikiz, A., and Celaya, A., “Plasma Assisted Milling of Heat-Resistant Superalloys,” Journal of Manufacturing Science and Engineering, Vol. 126, No. 2, pp. 274-285, 2004.
    10.1115/1.1644548
  • 10.
    Moon, S. H., Lee, C. M., “A Basic Study on the Machining of Flat Shaped Workpiece by Using Plasma Assisted Machining,” Proc. of KSPE Autumn Conference, pp. 83-84, 2017.
  • 11.
    Kttagawa, T. and Maekawa, K., “Plasma Hot Machining for New Engineering Materials,” Wear, Vol. 139, No. 2, pp. 251-267, 1990.
    10.1016/0043-1648(90)90049-G
  • 12.
    Lee, Y. H., Khulan, E., and Lee, C. M., “A Basic Study on the Thermal and Machining Characteristic of Inclined Workpiece According to the Torch Angle in Plasma Assisted Machining,” Proc. of KSPE Autumn Conference, pp. 86-87, 2017.
  • 13.
    Kim, J. H., Jung. H. I., and Lee, C. M., “An Analytical Study on the Preheating Effect of Workpieces with Cylindrical Shape in Plasma Assisted Machining,” Proc. of KSPE Autumn Conference, pp. 93-94, 2017.
  • 14.
    Back, J. T., Moon, S. H., Lee, Y. H., and Lee, C. M., “An Analytical Study on the Preheating Effect of Flat Workpiece for Laser-Plasma Assisted Machining,” Proc. of KSPE Autumn Conference, p. 236, 2016.
  • 15.
    Baek, J. T. and Lee, C. M., “Analysis of Overlapping Heat Zones in Laser-Assisted Machining,” Journal of the Korean Society for Precision Engineering, Vol. 32, No. 12, pp. 1023-1029, 2015.
    10.7736/KSPE.2015.32.12.1023
  • 16.
    Moon, S. H. and Lee, C. M., “An Analytical Study on the Preheating Effect of Flat Workpiece in Thermally Assisted Machining by Multi Heat Sources,” Journal of the Korean Society for Precision Engineering, Vol. 33, No. 8, pp. 629-634, 2016.
    10.7736/KSPE.2016.33.8.629
  • 17.
    Kim, I. W. and Lee, C. M., “A Study on the Machining Characteristics of Specimens with Spherical Shape Using Laser-Assisted Machining,” Applied Thermal Engineering, Vol. 100, pp. 636-645, 2016.
    10.1016/j.applthermaleng.2016.02.005
  • 18.
    Brecher, C., Rosen, C. J., and Emonts, M., “Laser-Assisted Milling of Advanced Materials,” Physics Procedia, Vol. 5, pp. 259-272, 2010.
    10.1016/j.phpro.2010.08.052

Download Citation

Download a citation file in RIS format that can be imported by all major citation management software, including EndNote, ProCite, RefWorks, and Reference Manager.

Format:

Include:

A Study on the Effect of Gas Flow Rate and Power in Plasma Assisted Machining
J. Korean Soc. Precis. Eng.. 2018;35(6):603-608.   Published online June 1, 2018
Download Citation

Download a citation file in RIS format that can be imported by all major citation management software, including EndNote, ProCite, RefWorks, and Reference Manager.

Format:
Include:
A Study on the Effect of Gas Flow Rate and Power in Plasma Assisted Machining
J. Korean Soc. Precis. Eng.. 2018;35(6):603-608.   Published online June 1, 2018
Close

Figure

  • 0
  • 1
  • 2
  • 3
  • 4
  • 5
  • 6
  • 7
  • 8
  • 9
  • 10
A Study on the Effect of Gas Flow Rate and Power in Plasma Assisted Machining
Image Image Image Image Image Image Image Image Image Image Image
Fig. 1 Principles of plasma generation
Fig. 2 FEM model
Fig. 3 Thermal conductivity and specific heat of Ti-6AL-4V
Fig. 4 Tensile strength of Ti-6AL-4V according to temperature changes
Fig. 5 Result of the thermal analysis
Fig. 6 Schematic of non-transferred torch
Fig. 7 Experiment set up of PAM
Fig. 8 Schematic design of plasma assisted machining
Fig. 9 DAQ and multichannel charge amplifier
Fig. 10 Cutting force according to gas flow rate 15 l/min
Fig. 11 Cutting force according to gas flow rate 25 l/min
A Study on the Effect of Gas Flow Rate and Power in Plasma Assisted Machining

Analysis condition

Materials Ti-6AL-4V
Plasma profile diameter (mm) 6
Plasma current (A) 50
Convention coefficient (W/m2) 5
Density (kg/m-3) 7,850
Plasma feed rate (mm/min) 100

Selection of machining conditions for PAM

Gas flow rate (l/min) 15, 25
Plasma power (kW) 1, 1.5, 2
Spindle speed (rpm) 7,000
Feed rate (mm/min) 100
Torch angle (°) 60
Depth of cut (mm) 0.4
Table 1 Analysis condition
Table 2 Selection of machining conditions for PAM