ABSTRACT
Recently, there are numerous studies on robots to function with smoother movement and high efficiency. It is difficult to develop robots with smooth movement and high efficiency. To solve this problem, the Series Elastic Actuator (SEA) is used. It is an actuator that gives compliance to a general actuator. Presence of compliance will bring to advantages. First, robots can reduce external impact force with high compliance. Second, the force of SEA can be controlled more precisely, than a normal actuator. Some SEAs have been developed with many functions, but the structure is complicated. So, in this study, the SEA with compact and simple structure was proposed. Shape of the SEA is cylindrical, and its diameter, height and weight are 70mm, 338mm, and 2.5kg respectively. The SEA was modeled in a two-degree of freedom mass spring damper system. To demonstrate travel response characteristics of the SEA, experiments were conducted and the result revealed design of the SEA is validated.
-
KEYWORDS: Linear series elastic actuator, Actuator design, Elasticity, Compliance
-
KEYWORDS: 선형탄성구동기, 구동기 설계, 탄성, 순응성
NOMENCLATURE
Rotary force of allowable motor torque (Tal/r)
of internal body and load (disturbance)
Force applied to the ball nut
Force applied to the end of LSEA
Position of the end of LSEA
Damping ratio of friction
1. Introduction
최근, 로봇의 안정적이며 효율적인 동작 구현에 관한 많은 연구가 주목받고 있으나, 강성 구조에 기반을 둔 제어 방법으로는 안정적인 동작 구현에 어려움을 보인다.
1,2 그 대안으로 동물의 탄성 모션에 관한 연구들이 다양하게 진행되고 있으며,
3 대표적으로 구동기에 탄성 요소를 결합한 Series Elastic Actuator (SEA)를 통한 동작 구현이 주목받고 있다. SEA는 외부 충격에 대한 일시적인 충격을 흡수하여 시스템의 내충격성을 개선하고, 힘 성분이 예측 가능하여 힘 제어가 가능하다.
3
현재까지 SEA 관련 연구들이 많이 수행되고 있다. D. Lahr는 판 스프링(티타늄)을 사용한 LSEA를 제작하였고,
3 G. Mathijssen는 병렬스프링구조를 통해 큰 토크를 발생시킬 수 있는 SPEA(Series Parallel Elastic Actuator)를 보였다.
4 W. Jonathan은 모터로 스프링을 예압 할 수 있는 구동기를 제작하였고
5 S. Groothuis는 지렛대 피벗의 위치 변화로 강성을 조절하는 구동기를 제작하였다.
6 또한 D. Accoto는 토션스프링을 통해 고출력 회전형 SEA를 개발하여 하체 착용형 로봇에 적용하였고,
7 D. Ragonesi은 SEA를 이용하여 WREX를 제작하였다.
8 그러나 현재까지 개발된 많은 SEA는 복잡한 구조나 큰 부피 등의 단점을 보였다. 따라서 본 논문에는 간단한 구조로 소형화가 가능한 LSEA (Linear Series Elastic Actuator)를 설계 및 제작하였다.
2. Design of Linear Series Elastic Actuator (LSEA)
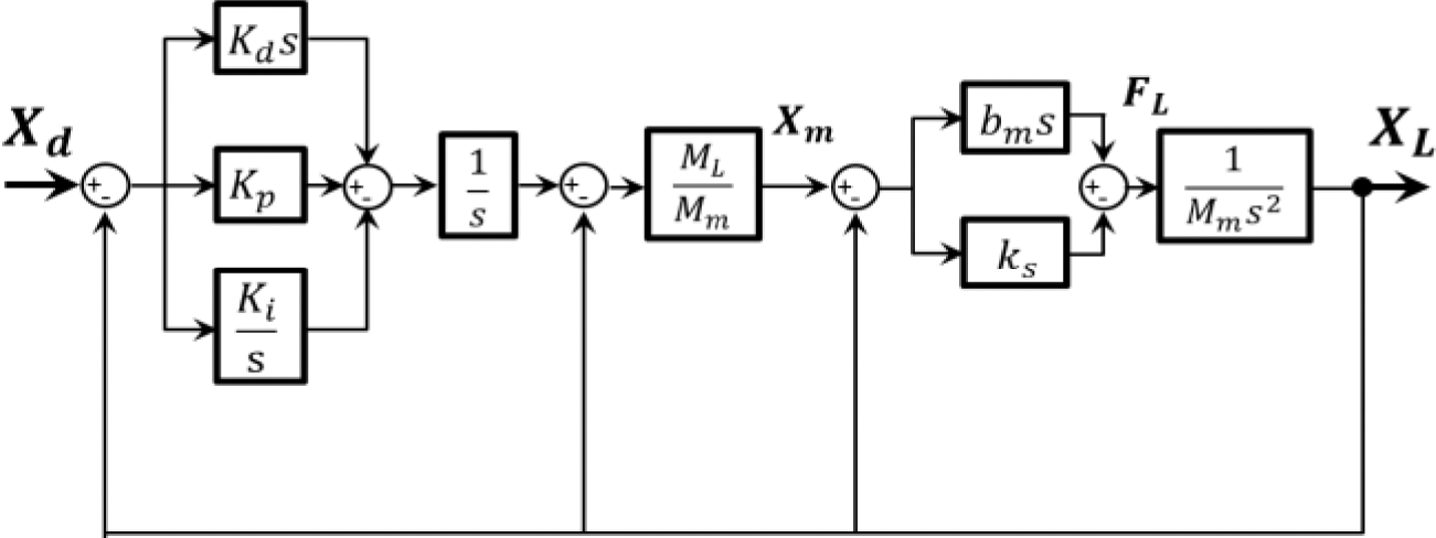
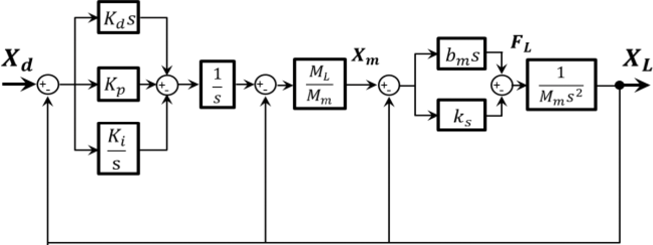
본 연구에서는 실린더 형태(직경: 70 mm, 길이 338 mm)의 LSEA (
Fig. 1)를 모터, 볼스크류, 압축스프링 등을 통해 제작하였다. 볼스크류는 LSEA축과 축정렬 되었으며, 볼너트 앞/뒤에 위치한 압축스프링을 통해 LSEA 끝단에 가해지는 충격을 일시적으로 저장한다. 볼 너트, 내부 몸체 및 2개 압축 스프링으로 내부를 구성하였다. 외부 결합부는 근접센서(OMRON E2S-Q11B), 볼스크류, 모터(ROBOTIS MX106-R) 및 커플링으로 구성하였다.
Fig. 1 LSAE (a) Picture (b) 3D Model
Fig. 2은 LSEA에 축 하중이 가해질 때, 볼 스크류(리드: 10 mm, 리드 각:
α = 17.7°, 직경: 10 mm)의 Free Body Diagram(FBD)을 보여준다. LSEA에 가해지는 허용 하중(W), 충격 하중(3W) 및 마찰계수를 각각 30 kgf (=294.3 N), 90 kgf 및 0으로 가정하였다. 또한, 비탈 면에서 하중에 의한 힘(
Fx')과 하중에 의한 회전력(
FTal) 및 허용토크(
Tal)는
식(1) -
식(3)에 나타내었고, 볼스크류 리드각(
α)은
식(4)와 같다.
Fig. 2 Free body diagram of SEA’s ball screw thread
3. Modeling
제작한 LSEA의 FBD을
Fig. 3에 나타내었다. LSEA의 볼 너트 질량(
Mm)은 0.205 kg이고, 내부 몸체 및 하중 질량(
ML)의 합은 0.834 kg이다. 스프링 탄성계수(
ks)는 40.3 N/mm이고, 내부 몸체와 외부 몸체 사이의 마찰은 알루미늄 간 미끄럼 마찰계수(
bm)값인 0.1로 가정하였다. 볼 너트에 가해지는 힘은
Fm, LSEA 끝단에서 가해지는 힘은
FL, 위치의 목푯값을
Xd로 정의하였고, LSEA 끝 단의 위치(
XL)와 볼 너트의 위치(
Xm)를 아래와 같이 표현할 수 있다.
Fig. 3 Free body diagram of LSEA
또한, 볼 너트에 모터가 가하는 힘(
Fm)과 볼 너트의 위치는
식(9)와
식(10)으로 유도된다.
9
4. Experiments
LSEA 끝 단에 축 하중이 가해졌을 때 응답 특성을 확인하기 위해
Fig. 4와 같이 실험하였다. 브라켓과 LM (Linear Motion)가이드는 LSEA 끝 단이 지면과 수직으로 하였고, LSEA 축 방향과 레이저 센서를 평행하게 하여 LSEA의 끝 단거리(
XL)를 측정하였다.
Fig. 5에서 PID Gain은 P Gain, I Gain, D Gain을 각각 0.53, 0.0001, 0.01로 설정하였다.
Fig. 4 Experiment setup
Fig. 5 Control block diagram of LSEA
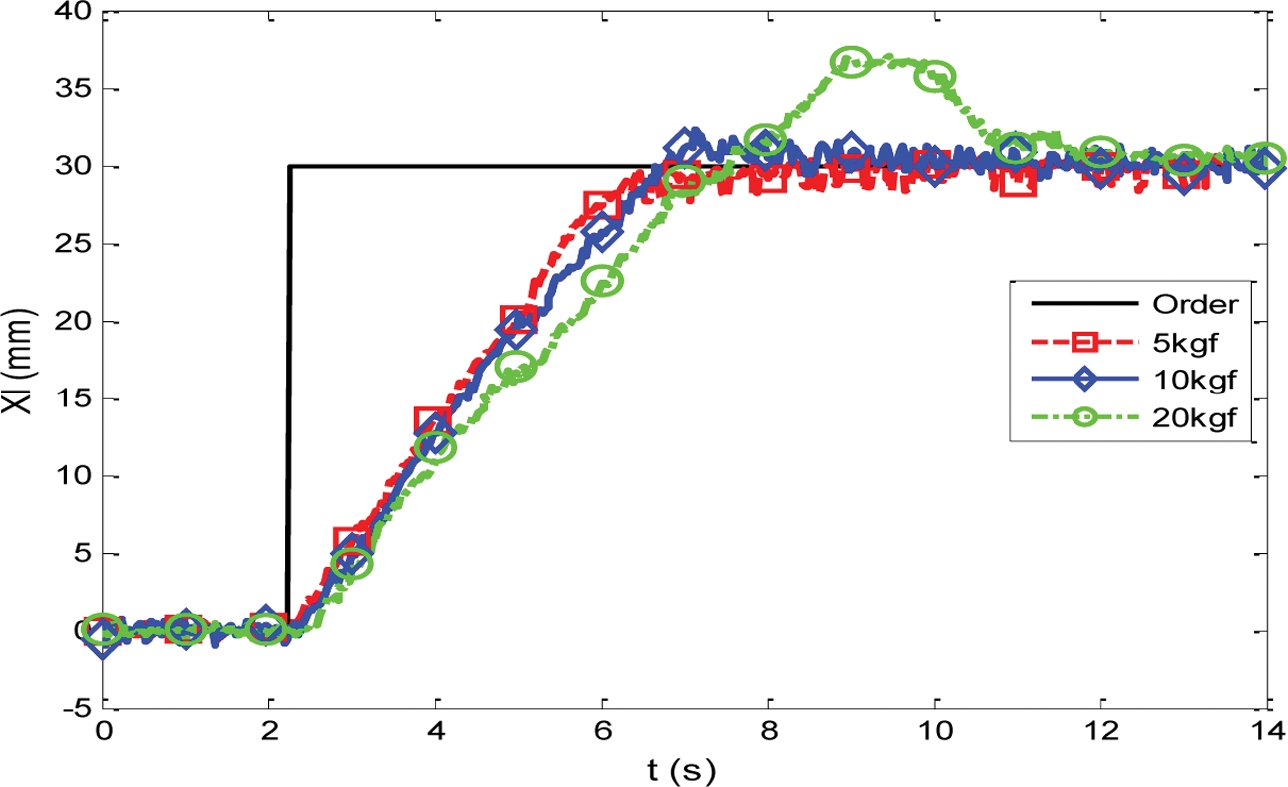
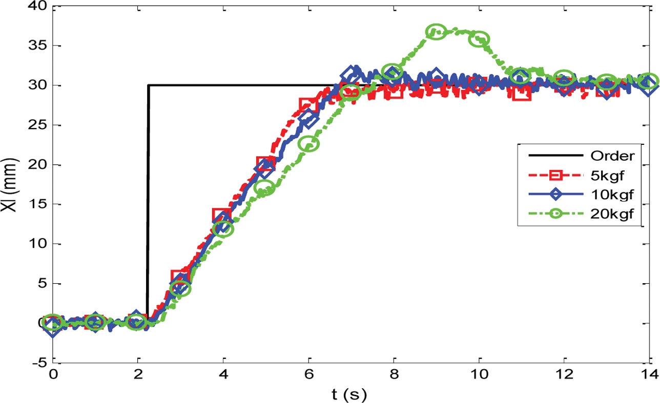
첫 실험에서는 Bracket에 추 무게를 각각 5 kgf, 10 kgf, 20 kgf로 증가시키면서 LSEA 끝 단(
xL)의 이동(0 ~ +30 mm) 응답특성을 살펴보았다(
Fig. 6). 각 하중(외란) (5 kgf, 10 kgf, 20 kgf)의 증가에 따라 상승시간과 정착시간은 5 kgf일 때 3.5초와 5.8초, 10 kgf일 때 4.0초와 6.3초, 20 kgf일 때 5.0초, 11.8초로 증가하였다.
Fig. 6 PID Control moving 30 mm experiment with static load
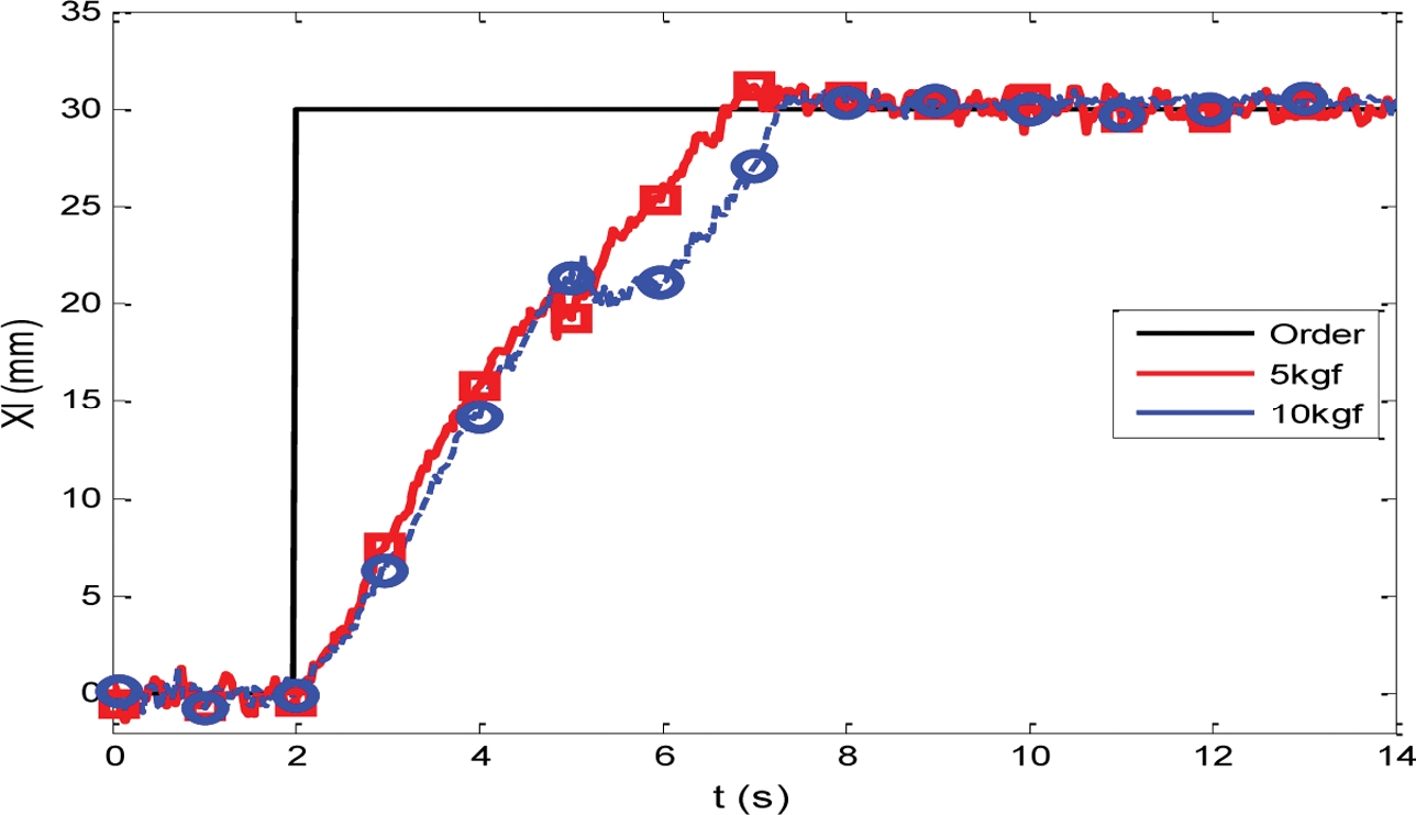
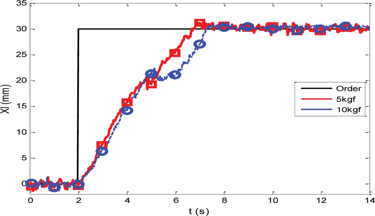
두 번째 실험에서는 LSEA를 무부하로 구동하다가 3.0초 후 하중(외란)을 들어 올리도록 설정하였고 하중(외란)을 각각 5 kgf, 10 kgf로 증가시키면서 LSEA끝 단(
xL)의 이동(0 ~ +30 mm) 응답 특성을 살펴보았다(
Fig. 7). 하중(외란)이 가해지는 시점(
t = 5.0초)에 스프링이 충격을 흡수하여 LSEA끝 단의 길이(
xL)가 일시 감소하였고, 외란(하중)이 증가할수록 스프링이 흡수하는 충격량 또한 증가하였다. 상승시간과 정착시간은 하중(외란)이 5 kgf일 때 4.3초와 6.0초, 10 kg일 때 5.0초와 7.2초였다.
Fig. 7 Result of PID control moving 30mm experiment with Impact load
동일한 하중(외란) 조건에서 첫 번째 실험과 두 번째 실험의 결과를 비교하면, 첫 번째 실험보다 두 번째 실험의 상승시간과 정착시간이 5 kgf일 때 0.8초 및 0.2초 증가했고, 10 kgf일 때 1.0초 및 0.9초 증가했다. 그리고 하중(외란)이 5 kgf일 때 5.0초 동안 LSEA가 흡수한 충격량은 630.4 N·s이었고, 하중(외란)이 10 kgf일 때 5.3초 동안 LSEA가 흡수한 충격량은 711.8 N·s이였다(
Fig. 7). 본 실험을 통해서 스프링의 탄성으로 인해 충격력이 감소하는 것을 보였다.
5. Conclusion
본 연구에서는 직경 70 mm, 길이 338 mm인 실린더 형태의 소형 LSEA를 제작 및 모델링하였다. 첫 번째 실험에서는 정하중 외란(하중)이 5 kgf, 10 kgf, 20 kgf로 증가할 때 LSEA 끝 단(xL)의 이동(0 ~ +30 mm) 응답 특성을 살펴보았다. 두 번째 실험에서는 충격 하중이 5 kgf, 10 kgf로 증가할 때 LSEA 끝 단(xL)의 이동(0 ~ +30 mm) 응답특성을 살펴보았다. 동일한 하중(외란) 조건에서 첫 번째 실험보다 두 번째 실험의 상승시간과 정착시간이 더 길었다. LSEA에 장착된 스프링의 탄성으로 인해 LSEA가 충격 하중을 받는 시간이 길어지고, 충격력이 감소함으로 내충격성이 증가함을 보였다.
ACKNOWLEDGMENTS
이 논문은 2017년도 정부(미래창조과학부)의 재원으로 한국연구재단의 지원을 받아 기초연구사업 지원을 받아 수행된 연구임(No. 2017R1C1B2005512).
REFERENCES
- 1.
Pratt, G. A., Williamson, M. M., Dillworth, P., Pratt, J., and Wright, A., “Stiffness Isn’t Everything,” Experimental Robotics IV, pp. 253-262, 1997.
10.1007/BFb0035216
- 2.
Pratt, G. A. and Williamson, M. M., “Series Elastic Actuators,” Proc. of the Intelligent Robots and Systems International Conference, pp. 399-406, 1995.
- 3.
Lahr, D. F., Yi, H., and Hong, D. W., “Biologically Inspired Design of a Parallel Actuated Humanoid Robot,” Advanced Robotics, Vol. 30, No. 2, pp. 109-118, 2016.
10.1080/01691864.2015.1094408
- 4.
Mathijssen, G., Lefeber, D., and Vanderborght, B., “Variable Recruitment of Parallel Elastic Elements: Series–Parallel Elastic Actuators (SPEA) with Dephased Mutilated Gears,” IEEE/ASME Transactions on Mechatronics, Vol. 20, No. 2, pp. 594-602, 2015.
10.1109/TMECH.2014.2307122
- 5.
Hurst, J. W., Chestnutt, J. E., and Rizzi, A. A., “An Actuator with Physically Variable Stiffness for Highly Dynamic Legged Locomotion,” Proc. of the Robotics and Automation International Conference, pp. 4662-4667, 2004.
10.1109/ROBOT.2004.1302453
- 6.
Groothuis, S. S., Rusticelli, G., Zucchelli, A., Stramigioli, S., and Carloni, R., “The Variable Stiffness Actuator Vsaut-II: Mechanical Design, Modeling, and Identification,” IEEE/ASME Transactions on Mechatronics, Vol. 19, No. 2, pp. 589-597, 2014.
10.1109/TMECH.2013.2251894
- 7.
Accoto, D., Carpino, G., Sergi, F., Tagliamonte, N. L., Zollo, L., et al., “Design and Characterization of a Novel High-Power Series Elastic Actuator for a Lower Limb Robotic Orthosis,” International Journal of Advanced Robotic Systems, Vol. 10, No. 10, pp. 359, 2013.
10.5772/56927
- 8.
Ragonesi, D., Agrawal, S., Sample, W., and Rahman, T., “Series Elastic Actuator Control of a Powered Exoskeleton,” Proc. of Engineering in Medicine and Biology Society International Conference, pp. 3515-3518, 2011.
10.1109/IEMBS.2011.6090583
- 9.
Robinson, D. W., “Design and Analysis of Series Elasticity in Closed-Loop Actuator Force Control,” Massachusetts Institute of Technology, pp. 1-123, 2000.
Biography
- KwangJin Lee
Received his B.S. and M. S. degrees in the department of mechanical engineering from Kyungpook National University, Korea in 2017 and in 2019. His research interests are design and control of the robotic system.
- SangRyong Lee
Received his B.S. degree (1980) and M.S. degree (1982) from the department of mechanical engineering at Seoul National University and at KAIST, respectively. He received his Ph. D degree in the department of mechanical engineering from Georgia Institute of Technology, U.S.A. in 1989. Currently, he is a professor of the school of mechanical engineering at Kyungpook National University. His research interests are design and control of mobile robots, intelligent systems and automation.
- Hak Yi
Received his B.S. (2005) and M.S.(2008) degrees in the department of mechanical engineering from Chonbuk National University and Ph. D. at Texas A&M University (2012). His research interests are design and control of robotic system. Currently He is an assistant professor in the school of mechanical engineering at Kyungpook National University since 2016.
Citations
Citations to this article as recorded by
