Skip to main navigation Skip to main content
  • E-Submission

JKSPE : Journal of the Korean Society for Precision Engineering

OPEN ACCESS
ABOUT
BROWSE ARTICLES
EDITORIAL POLICIES
FOR CONTRIBUTORS
REGULAR

스마트폰을 이용한 걸음걸이 시 다리분절과 관절 각도 측정의 신뢰도 연구

Study on the Reliability of Smartphone-Based Measurements of Leg Segment and Joint Angles During Gait

Journal of the Korean Society for Precision Engineering 2019;36(3):293-300.
Published online: March 1, 2019

1 유원대학교 물리치료학과

1 Department of Physical Therapy, U1 University

#E-mail: lovewisd@yd.ac.kr, TEL: +82-43-740-1404
• Received: January 12, 2018   • Revised: July 14, 2018   • Accepted: August 16, 2018

Copyright © The Korean Society for Precision Engineering

This is an Open-Access article distributed under the terms of the Creative Commons Attribution Non-Commercial License (http://creativecommons.org/licenses/by-nc/3.0) which permits unrestricted non-commercial use, distribution, and reproduction in any medium, provided the original work is properly cited.

  • 23 Views
  • 0 Download
  • 2 Crossref
  • 2 Scopus
prev next
  • [Objective]
    The objective of this study was to investigate the reliability of smartphone-based measurements of the upper body, thigh, and shin segmental angles, and the hip and knee joint angles when walking.
  • [Method]
    The sample size of this study included eight young and healthy college students. In this study, smartphones were used to determine the changes in angles when the subjects walked with smartphones attached to their torso (upper body), thigh, and shin. The obtained angles represented segmental angles for the torso, thigh, and shin, and were later used to calculate hip and knee joint angles. Measurements were taken and then the test-retest method was used to evaluate the agreement between the test and retest results.
  • [Results]
    According to the results, a very high reliability for the torso and shin segmental angles (ICC>0.75) and a high reliability for the thigh segmental angle and hip and knee joint angles (ICC>0.60) were displayed.
  • [Conclusion]
    According to the results of this study, it was established that smartphones can be sufficiently used as devices for gait analysis.
Gait refers to the motion involved in moving the human body from one location to another, and this action moves the center of body mass forward by continuous motion of various joints and muscles.1 Despite being a very basic motion in activities of daily living, many elderly and disabled people have gait difficulties.2 Therefore, highly reliable assessment tools for determining the functional level of gait ability are needed.3
On the basis of this demand, efforts to quantify gait have been ongoing since the 19th century.4 Development of image-capturing technology for image analysis of human gait sufficiently satisfied the demands of researchers in this field. In particular, using a greater number of cameras and markers increased accuracy of the measurements and produced reliable images. However, such motion analysis equipment required a separate testing space and highly trained specialists to operate them, as well as involved high costs.5,6 Moreover, depending on the need, dozens of markers need to be attached on the subject, which may generally require 10 to 30 minutes of preparation for the measurements.7 Furthermore, the possibility of a confined space and complex and unfamiliar equipment placing a psychological burden on the subjects, compromising the reliability of the experimental data, could not be ignored.2
Therefore, an onsite gait analysis method is needed that involves low cost and maintenance, is easy to use and interpret, and allows the measured data to be used immediately.8
With recent advances in sensor and data processing technologies, it has become possible to extract acceleration values according to body movements using acceleration sensors attached directly to the body, which has also allowed analysis of body movements by easily attaching sensors to the body regardless of location.9,10 Gait analysis methods using such acceleration sensors show high correlations with methods based on conventional motion analysis, and thus, they are expected to replace existing methods.11 In this regard, LeMoyne et al. (2010), Rigoberto et al. (2010), and Yamada et al. (2012) proposed methods for analyzing gait using data extracted from smartphone acceleration sensors.12-14
However, by using acceleration sensors alone, only the amount of spatial-temporal changes in the body can be determined, whereas segmental or joint angles that many researchers require cannot be determined. Moreover, if an acceleration sensor is not already equipped onsite, acceleration values cannot be extracted. On the other hand, smartphones are devices that are readily available and familiar to us, while also having small spatial-temporal limitations. Moreover, smartphones have not only an acceleration sensor, but a gyroscope sensor already installed in them, which allows angles from tilting of the smartphones to be extracted.15 Wellmon et al. (2016) reported that smartphones have a very high reliability for measuring joint angles,16 whereas Cox et al. (2017) stated that measuring plantar flexion joint angle using a smartphone was a useful method with a high validity.17 However, these precedent studies did not track segmental or joint angles on continuous movement, but rather, they used a smartphone to measure the angles at specific points. Meanwhile, studies measuring segmental and joint angles during gait using gyroscopic sensor values of smartphones are still lacking.
Accordingly, the present study investigated the reliability of smartphone-based measurements on the torso, thigh, and shin segmental angles and hip and knee joint angles during gait.
Fig 1.

Study design

KSPE_2019_v36n3_293_f001.jpg
The present study used smartphones to measure torso, thigh, and shin segmental angles, with the angle of each segment relative to an imaginary coronal plane perpendicular to the ground. For test-retest reliability, first and second measurements were taken one day apart.
2.1 Subjects
The present study received the approval from the Institutional Review Board at U1 University. The subjects consisted of eight college students residing in Korea. The subjects were recruited by word-of-mouth and posters. Detailed selection criteria were as follows:
§ Those with no history of falling during activities of daily living due to vision problems or vestibular disease§ Those with no injury or disease in the musculoskeletal or nervous system§ Those who voluntarily consented to participate in the study
2.2 Smartphone and Application
The smartphone used in the present study was the Galaxy S8(Samsung, Korea, 2017), and the application used was the Sensor Kinetics pro (Ver.2.1.2, INNOVENTIONS Inc, US, 2015). Sensor Kinetics pro can simultaneously record the values of the gyroscopic sensor according to the tilt of the smartphone and converts the recorded measurement values to the csv file format, which can be sent to email or a cloud drive for analysis using MS Excel. Moreover, the starting point of each measurement was time stamped with International Standard Time (IST) and saved, which made it possible to identify the time point at which the data were collected. The present study used a sampling rate of 50 Hz.
2.3 Measurement Procedures

2.3.1 Attachment of Smartphones

Sports armbands (JSA-04, China, OKmart) that are readily available in the market were used to attach the smartphones to the body, and if the armband was not long enough to attach the smartphones to the thigh and torso, Velcro was used to extend the length of the armband. Smartphones were placed inside the armbands and attached to each body segment, as shown in Fig. 2. On the torso, the smartphones were attached on back near the lower back area, whereas on the thigh and shin, the smartphones were attached in the front.
Fig. 2

Attachment of smartphones on the torso, thigh, and shin

KSPE_2019_v36n3_293_f002.jpg

2.3.2 Preparations for the Measurements

Prior to the main measurements, all of the smartphones were placed on top of a table that was measured with a level to make sure it was horizontally level. The smartphone screen faced the ceiling and the USB-C terminal of the smartphone faced downward, matching the direction in which the subjects would walk. In this state, the smartphone was switched to airplane mode, disabling all wireless functions, including WiFi, Bluetooth, NFC, and GPS. Subsequently, all smartphone applications were closed, and the smartphone was powered off and restarted. Once the smartphone was restarted, the experiment was conducted as quickly as possible. This process was repeated for every new subject.
After attaching the smartphones to the subject with the armbands, each subject was instructed to walk around the measurement environment at least five times to become familiar with the environment. During all measurements, the subjects were bare foot, and the ground had a hard and even surface (Fig. 3).
Fig. 3

Gait measurement with the smartphones attached

KSPE_2019_v36n3_293_f003.jpg

2.3.3 Measurement Methods

Prior to the actual measurements, Sensor Kinetics pro application was run to adjust the final position to be completely vertical to the ground, as much as possible, after which the application was restarted. During the measurement, the subjects were instructed to maintain a standing position for at least 3 s to make sure the baseline value was closest to being vertical as possible, after which, the subjects were instructed to walk naturally as they normally would.

2.3.4 Post-Measurement Processes

Data measured by the smartphones and application were saved by their designated file names for each measurement point and converted to csv files upon completion of all measurements. Subsequently, WiFi function was turned on and the files were sent to Google drive. All measured values from each subject were organized individually into a single MS Excel file for each subject.
The walking motion of the subjects was captured with the smartphone, and to determine the time point of heel strike for each stride, IST was recorded together. Data were extracted from each gait after the third and up to the fifth gait for each subject.
2.4. Analysis Methods
The present study used MS Excel (Microsoft Office 365 ProPlus, v.1707) and SPSS 18.0 for data processing and statistical analysis. The significance level was set to 0.05.
IST was set to 1/1000 s. The point of heel strike was designated as the start of a stride, and the point of heel strike in the next stride was designated as the end point of gait. Segmental angles were calculated by subtracting the baseline value measured while standing from the values measured at each point during gait. Each gait cycle was set as 100%, and data were extracted from every point in 2% increments, so that 50 data would be extracted for each gait regardless of the time required. Moreover, relative to the standing position, when the torso and thigh moved backward, the data were inverted to positive numbers instead of being expressed as negative numbers; MS Excel formulas were used to automatically invert those values to be expressed as negative numbers. For each time point corresponding to 2% of gait, the thigh segmental angle was subtracted from the torso segmental angle to derive the hip joint angle, whereas the thigh segmental angle was subtracted from the shin segmental angle to derive the knee joint angle.
For agreement between the first and second measurements, the intraclass correlation coefficient (ICC[2,1]) of the mean of 50 values extracted from each item in gait was examined.
3.1 General Characteristics of the Subjects
The subjets’ general characteristics are presented in Table 1.
Table 1

Demographic characteristics of the subjects

Table 1
Subject Mean ± SD
Sex (M/F) 4/4
Age (yr) 20.5 ± 0.926
Height (cm) 167.05 ± 7.962
Weight (kg) 63.875 ± 11.618
3.2 Agreement of Segmental Angles
Agreement between the first and second measurements of segmental angles was very high for the torso and shin (≥0.75), whereas the thigh showed a high agreement of ≥0.60 (Table 2).
Table 2

Agreement of segmental angles

Table 2
Mean ± SD ICC
First Second
Torso 2.259 ± 5.212 1.111 ± 4.311 0.975**
Thigh 6.809 ± 2.998 6.786 ± 5.688 0.737*
Shin -6.307 ± 4.83 -3.452 ± 7.717 0.909**

*ICC>0.60, **ICC>0.75

Segmental angles at each time point (unit of 2%) from the first and second measurements were as shown in Fig. 4.
Fig. 4

Segmental angles from the first and second measurements

KSPE_2019_v36n3_293_f004.jpg
3.3 Agreement of Joint Angles
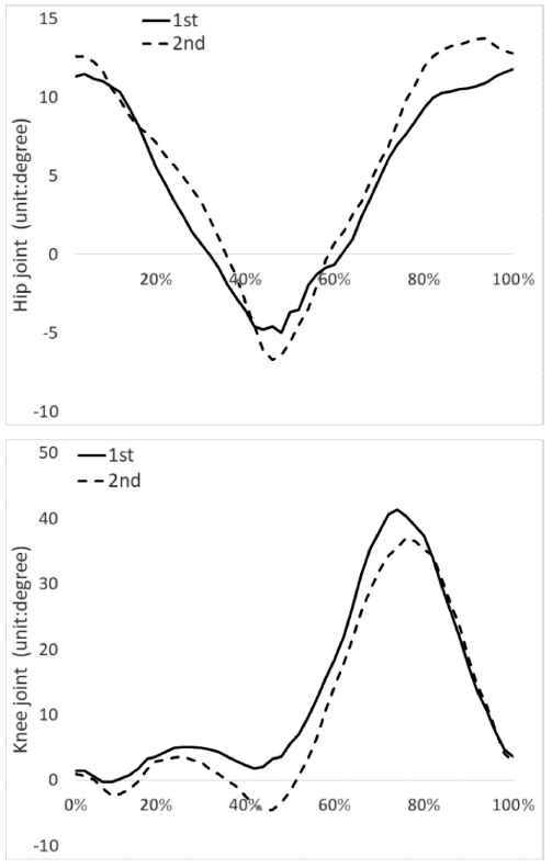
Agreement between the first and second measurements of joint angles was high for both the hip and knee joints with ≥0.60 (Table 3).
Table 3

Agreement of joint angles

Table 3
Mean ± SD ICC
First Second
Hip joint 4.55 ± 4.572 5.675 ± 4.361 0.632*
Knee joint 13.117 ± 3.089 10.237 ± 4.317 0.626*

*ICC>0.60, **ICC>0.75

Joint angles at each time point (unit of 2%) from the first and second measurements were as shown in Fig. 5.
Fig. 5

Joint angles from the first and second measurements

KSPE_2019_v36n3_293_f005.jpg
The purpose of the present study was to investigate the reliability of smartphone-based measurements of torso, thigh, and shin segmental angles and hip and knee joint angles during gait.
Previous studies that measured human body movements using smartphones attached the smartphones on the back rather than the front of the torso.13,18,19 Even in the present study, the smartphones were attached on the lower back for extracting segmental angles of the torso. This was because, based on a preliminary study, attaching them to the lower back was expected to show a higher agreement than attaching them to the stomach or above the sternum.
Moreover, in precedent study, for the thigh or shin, the smartphones were attached on the front.19 In the present study also, the smartphones were attached on the front of each segment of the thigh or shin. On the basis of a preliminary study, it was determined that attaching the smartphones on the side of the thigh or shin resulted in most severe data distortion, whereas attaching the smartphones facing the ceiling caused the least amount of distortion. However, attaching the smartphones to face the ceiling can be cumbersome and unnecessary shaking is also measured. Consequently, the smartphones were attached to the front side of each segment. It was also determined that attaching the smartphones to be vertical to the ground can be expected to produce measurement values with less distortion and higher reliability.
The present study used rotation sensor values provided by the Sensor Kinetics pro application. The Sensor Kinetics pro application used values from an acceleration sensor and gyroscope sensor installed on the smartphone to provide rotation values based on the tilt of the smartphone as angular values. Since smartphones were attached to each segment of the human body, the segment angle of each segment relative to a line perpendicular to the ground could be determined. Before the main experiment, preliminary experiments were conducted several times, wherein the smartphone was attached to the rotor of the goniometer and the stator was fixed on the wall with the hand, after which ten angles were randomly extracted while the rotor moved within a range of 0 - 270o to determine how closely the smartphone rotation sensor values provided by the Sensor Kinetics pro application matched the goniometer angles. The results of these preliminary experiments showed over a 96% match between the goniometer and smartphone rotation sensor values. With respect to this, Park et al. (2014) reported that when measuring the range of shoulder motion in stroke patients this method showed a high reliability, comparable to that on using a traditional goniometer.20 Park et al. (2015) also reported that smartphone-based measurements showed high reliability and validity for measuring the range of hip motion in patients who underwent hip surgery.21
Although acceleration and gyroscope sensors can already be purchased easily at low cost, there are clear limitations in the ability of people to use such sensors by assembling and coding them and in interpreting the sensor data as valuable information in actual clinical settings. Thus, the present study used smartphones with an application that can extract segmental angles, which have already been developed and are familiar to users. Park et al. (2016) indicated that it is unlikely that the work of therapists will be completely replaced in the near future, but half of the work may be replaced, depending on changes in technology.22 The results of the present study are expected to urge practitioners about the need to handle sensors and devices for interpreting data collected from sensors and devices for the fabricated for measurement of clients (patients) in the clinical setting in the near future. We also aim to raise awareness about the importance of sensors and coding in the field of health care and expect this study to be a model study on the feasibility of this method.
In the present study, agreement between measurements for the torso and shin segmental angles was very high (≥0.75), which confirmed a very high reliability. On the other hand, agreement between measurements for the thigh segmental angle was high (≥0.60), which confirmed high reliability, but lower reliability than that of the torso and shin segmental angles. It is suspected that this was because the Velcro used to closely fasten the smartphone on the thigh was slightly elastic, and as a result, even though the smartphone was closely fastened to the thigh, the impact to the supporting device or movement of the thigh may have caused unnecessary, slight movement. Moreover, because of how the body is structured, tightly fastening the smartphone to the thigh can cause the position of the smartphone to shift slightly when gait is repeated. Therefore, future studies should consider using a non-slip pad between the smartphone and the skin to make sure the smartphone stays closely fastened to the thigh. Agreement between measurements for the hip and knee joint angles was higher than 0.60, but it was lower than 0.75. It is believed that such results were affected by the agreement of thigh segmental angles being lower than 0.75.
Despite attaching the smartphones in the same manner, instances of inverted data were found during data processing. Although this issue was easily addressed on MS Excel, future gait analysis applications should be developed so that inverted data can be automatically identified and processed accordingly. Moreover, although high reliability was achieved by aligning the smartphones along the long axis of each body segment, ankle joint angles could not be calculated as a method of attaching the smartphones to the feet could not be established. It is believed that, in the future, smart watches should be used or low-cost sensors should be made available so that gait analysis can be performed easily and at a low cost in clinical settings.
Barela et al. (2006) performed imaging analysis on above-ground and underwater gait among young college students.23 Above-ground gait results showed that the torso and thigh segments were tilted toward the back more than other segments at approximately 50% of the gait cycle. Moreover, at the same time, the hip joint was extended the most. The same phenomenon was found in the present study. Mansfield and Neumann (2014) reported that maximum extension of the knee joint during gait occurs at the heel strike and mid-support phases.24 It flexed slightly after heel strike and then extended again. Subsequently, it flexed again and reached maximum flexion during the middle of the swing phase, followed by rapid extension before heel strike. Such a pattern of change also appeared in the present study. Considering that the general gait patterns of young adults found in the present study were consistent with those found in studies that measured gait patterns with expensive equipment, future studies on the validity of expensive equipment and smartphone-based gait analysis are expected to show a high degree of agreement.
On the basis of the findings of the present study, future studies are needed to confirm the reliability and validity of smartphones in gait analysis in elderly individuals and patients with various diseases.
The present study investigated the reliability of smartphone-based measurements of torso, thigh, and shin segmental angles and hip and knee joint angles during gait in eight healthy college students. The study results confirmed that the smartphone-based measurements of torso and shin segmental angles had a very high reliability, whereas the thigh segmental angles and hip and knee joint angles had a high reliability. The present study demonstrated that smartphones may be used as a device for gait analysis. By clearly systematizing measurement methods and developing additional sensors, low-cost gait analysis that can be performed anywhere, as needed, is expected to be possible in the future.
This work was supported by the National Research Foundation of Korea (NRF) grant funded by the Korea government (Ministry of Science, ICT & Future Planning) (No. NRF-2017R1C1B5014991).
  • 1.
    Perry, J. and Davids, J. R., “Gait Analysis: Normal and Pathological Function,” Journal of Pediatric Orthopaedics, Vol. 12, No. 6, p. 815, 1992.
    10.1097/01241398-199211000-00023
  • 2.
    Assogba, T., Boulet, S., Detrembleur, C., and Mahaudens, P., “The Effects of Real and Artificial Leg Length Discrepancy on Mechanical Work and Energy Cost During the Gait,” Gait & Posture, Vol. 59, No. 1. pp. 147-151, 2018.
    10.1016/j.gaitpost.2017.10.004
  • 3.
    Furrer, M., Bichsel, L., Niederer, M., Baur, H., and Schmid, S., “Validation of a Smartphone-Based Measurement Tool for the Quantification of Level Walking,” Gait & Posture, Vol. 42, No. 3, pp. 289-294, 2015.
    10.1016/j.gaitpost.2015.06.003
  • 4.
    Karantonis, D. M., Narayanan, M. R., Mathie, M., Lovell, N. H., and Celler, B. G., “Implementation of a Real-Time Human Movement Classifier Using a Triaxial Accelerometer for Ambulatory Monitoring,” IEEE Transactions on Information Technology in Biomedicine, Vol. 10, No. 1, pp. 156-167, 2006.
    10.1109/TITB.2005.856864
  • 5.
    Nishiguchi, S., Yamada, M., Nagai, K., Mori, S., Kajiwara, Y., et al., “Reliability and Validity of Gait Analysis by Android-Based Smartphone,” Telemedicine and E-Health, Vol. 18, No. 4, pp. 292-296, 2012.
    10.1089/tmj.2011.0132
  • 6.
    Windolf, M., Götzen, N., and Morlock, M., “Systematic Accuracy and Precision Analysis of Video Motion Capturing Systems-Exemplified on the Vicon-460 System,” Journal of Biomechanics, Vol. 41, No. 12, pp. 2776-2780, 2008.
    10.1016/j.jbiomech.2008.06.024
  • 7.
    Koo, S. B. “New Motion Measurement Method for Gait Analysis.” The Korean Society of Mechanical Engineers. Vol. 50, No. 12, pp. 37-40, 2010.
  • 8.
    Baer, H. R. and Wolf, S. L., “Modified Emory Functional Ambulation Profile: An Outcome Measure for the Rehabilitation of Poststroke Gait Dysfunction,” Stroke, Vol. 32, No. 4, pp. 973-979, 2001.
    10.1161/01.STR.32.4.973
  • 9.
    Mizuike, C., Ohgi, S., and Morita, S., “Analysis of Stroke Patient Walking Dynamics Using a Tri-Axial Accelerometer,” Gait & Posture, Vol. 30, No. 1, pp. 60-64, 2009.
    10.1016/j.gaitpost.2009.02.017
  • 10.
    Heo, G.-S., Yang, S.-H., Lee, S.-R., Lee, J.-G., and Lee, C.-Y., “A Study on Particular Abnormal Gait Using Accelerometer and Gyro Sensor,” Journal of the Korean Society for Precision Engineering, Vol. 29, No. 11, pp. 1199-1206, 2012.
    10.7736/KSPE.2012.29.11.1199
  • 11.
    Lee, H.-K., Hwang, S.-J., Cho, S.-P., Lee, D.-R., You, S.-H., et al., “Development of a Novel Step Detection Algorithm for Gait Evaluation of Patients with Hemiplegia Based on Trunk Accelerometer,” Journal of Biomedical Engineering Research, Vol. 30, No. 3, pp. 213-220, 2009.
  • 12.
    LeMoyne, R., Mastroianni, T., Cozza, M., Coroian, C., and Grundfest, W., “Implementation of an Iphone as a Wireless Accelerometer for Quantifying Gait Characteristics”, Proc. of the Engineering in Medicine and Biology Society International Conference, Vol. 1, No. 1, pp. 3847-3851, 2010.
    10.1109/IEMBS.2010.5627699
  • 13.
    Yamada, M., Aoyama, T., Mori, S., Nishiguchi, S., Okamoto, K., et al., “Objective Assessment of Abnormal Gait in Patients with Rheumatoid Arthritis Using a Smartphone,” Rheumatology International, Vol. 32, No. 12, pp. 3869-3874, 2012.
    10.1007/s00296-011-2283-2
  • 14.
    Rigoberto, M. M., Toshiyo, T., and Masaki, S., “Smart Phone as a Tool for Measuring Anticipatory Postural Adjustments in Healthy Subjects, a Step Toward More Personalized Healthcare,” Proc. of the Engineering in Medicine and Biology Society International Conference, Vol. 1, No. 1, pp. 82-85, 2010.
    10.1109/IEMBS.2010.5626162
  • 15.
    Yang, H. K. and Yong, H., “Real-Time Physical Activity Recognition Using Tri-Axis Accelerometer of Smart Phone,” Journal of Korea Multimedia Society, Vol. 17, No. 4, pp. 506-513, 2014.
    10.9717/kmms.2014.17.4.506
  • 16.
    Wellmon, R. H., Gulick, D. T., Paterson, M. L., and Gulick, C. N., “Validity and Reliability of 2 Goniometric Mobile Apps: Device, Application, and Examiner Factors,” Journal of Sport Rehabilitation, Vol. 25, No. 4, pp. 371-379, 2016.
    10.1123/jsr.2015-0041
  • 17.
    Cox, R. W., Martinez, R. E., Baker, R. T., and Larkins, L. W., “Validity of a Smartphone Application for Measuring Ankle Plantar Flexion,” Journal of Sport Rehabilitation, Vol. 15, No. 2, pp. 1-11, 2017.
  • 18.
    Mayagoitia, R. E., Lötters, J. C., Veltink, P. H., and Hermens, H., “Standing Balance Evaluation Using a Triaxial Accelerometer,” Gait & Posture, Vol. 16, No. 1, pp. 55-59, 2002.
    10.1016/S0966-6362(01)00199-0
  • 19.
    Shah, N., Aleong, R., and So, I., “Novel Use of a Smartphone to Measure Standing Balance,” JMIR Rehabilitation and Assistive Technologies, Vol. 3, No. 1, pp. 1-11, 2016.
    10.2196/rehab.4511
  • 20.
    Park, I. W., Lim, O. B., Park, K. N., and Yi, C. H., “Intra-and Inter-Rater Reliability of Measuring Passive Range of Shoulder Motion with Smartphone and Goniometer in Patients with Stroke,” Physical Therapy Korea, Vol. 21, No. 1, pp. 1-12, 2014.
    10.12674/ptk.2014.21.1.001
  • 21.
    Park, S.-W., Kim, M.-S., Bae, H.-S., and Cha, Y.-H., “The Reliability and Validity of Hip Range of Motion Measurement Using a Smart Phone Operative Patient,” Journal of the Korean Society of Physical Medicine, Vol. 10, No. 2, pp. 1-7, 2015.
    10.13066/kspm.2015.10.2.1
  • 22.
    Park, G. Y., Chon, Y., M., Son., Y., S., “A Study on the Effects of Jobs on Technological Change.” Korea Employment Information Service, pp. 1-145, 2016.
  • 23.
    Barela, A. M., Stolf, S. F., and Duarte, M., “Biomechanical Characteristics of Adults Walking in Shallow Water and on Land,” Journal of Electromyography and Kinesiology, Vol. 16, No. 3, pp. 250-256, 2006.
    10.1016/j.jelekin.2005.06.013
  • 24.
    Paul, J. and Donald, A., “Essentials of Kinesiology for the Physical Therapist Assistant,” Elsevier Health Sciences, 2nd Edition, pp. 1-416, 2014.
Daehee Lee
KSPE_2019_v36n3_293_bf001.jpg
Professor Department of Physical Therapy, U1 University.
Neurological physiotherapy
Seulki Han
KSPE_2019_v36n3_293_bf002.jpg
Professor Department of Physical Therapy, U1 University.
Underwater therapy, Gait analysis

Download Citation

Download a citation file in RIS format that can be imported by all major citation management software, including EndNote, ProCite, RefWorks, and Reference Manager.

Format:

Include:

Study on the Reliability of Smartphone-Based Measurements of Leg Segment and Joint Angles During Gait
J. Korean Soc. Precis. Eng.. 2019;36(3):293-300.   Published online March 1, 2019
Download Citation

Download a citation file in RIS format that can be imported by all major citation management software, including EndNote, ProCite, RefWorks, and Reference Manager.

Format:
Include:
Study on the Reliability of Smartphone-Based Measurements of Leg Segment and Joint Angles During Gait
J. Korean Soc. Precis. Eng.. 2019;36(3):293-300.   Published online March 1, 2019
Close

Figure

  • 0
  • 1
  • 2
  • 3
  • 4
Study on the Reliability of Smartphone-Based Measurements of Leg Segment and Joint Angles During Gait
Image Image Image Image Image
Fig 1. Study design
Fig. 2 Attachment of smartphones on the torso, thigh, and shin
Fig. 3 Gait measurement with the smartphones attached
Fig. 4 Segmental angles from the first and second measurements
Fig. 5 Joint angles from the first and second measurements
Study on the Reliability of Smartphone-Based Measurements of Leg Segment and Joint Angles During Gait

Demographic characteristics of the subjects

Subject Mean ± SD
Sex (M/F) 4/4
Age (yr) 20.5 ± 0.926
Height (cm) 167.05 ± 7.962
Weight (kg) 63.875 ± 11.618

Agreement of segmental angles

Mean ± SD ICC
First Second
Torso 2.259 ± 5.212 1.111 ± 4.311 0.975**
Thigh 6.809 ± 2.998 6.786 ± 5.688 0.737*
Shin -6.307 ± 4.83 -3.452 ± 7.717 0.909**

*ICC>0.60, **ICC>0.75

Agreement of joint angles

Mean ± SD ICC
First Second
Hip joint 4.55 ± 4.572 5.675 ± 4.361 0.632*
Knee joint 13.117 ± 3.089 10.237 ± 4.317 0.626*

*ICC>0.60, **ICC>0.75

Table 1 Demographic characteristics of the subjects
Table 2 Agreement of segmental angles

*ICC>0.60, **ICC>0.75

Table 3 Agreement of joint angles

*ICC>0.60, **ICC>0.75