Skip to main navigation Skip to main content
  • E-Submission

JKSPE : Journal of the Korean Society for Precision Engineering

OPEN ACCESS
ABOUT
BROWSE ARTICLES
EDITORIAL POLICIES
FOR CONTRIBUTORS
REGULAR

Pyrolytic Graphite Sheet (PGS)를 적용한 송수신 모듈의 열적 영향성에 대한 수치 해석적 연구

A Study of the Thermal Effectiveness of Pyrolytic Graphite Sheet in the Transmit Receive Module Housing

Journal of the Korean Society for Precision Engineering 2020;37(2):99-106.
Published online: February 1, 2020

1 LIG넥스원 기계연구소

1 Department of Mechanical R&D, LIG Nex1 Co., Ltd. JFIFddDuckydqhttp://ns.adobe.com/xap/1.0/ Adobed     ! 1AQa"q 2#w8B36v7XRr$9bCt%u&Ws'(xy4T5fH  !1AQaq"2B Rbr#u67Ѳ3sTt5v8Sc$4ĂCÔ%UӅFV ?_Aנj- H>>,m*>fzp"TrKkr^r.|_&]|*vPuܶvoQ1mwVJUhu-I"=LniAƕ8"۲ k*ҿ[yu:.vUQ+)%F DHyVBk>Hy8jݹ q~9D4KRmzQ)^ʔ.J%k_tVi5NTjg!'ky|5asOȻ)R۸ߩFMԿ3L4j6dڜ#NIwUF]JqB/(FafJRzq3\G՛ ?~\ 6)6W4m[O^L0E&rRMض*C .]Unl-1 1r#Rj/&QɈ׉˩s6Rj=5Tg.y.·Pӡ:JJS:C8-2u]d&vUz;7p9 5VnL֢"y)">iי(IDDd| Yj0; LRfS:ktYK%*N2^m|&dğth":ey)uPQZW)gcC3Pv&MMWd&Ŵ۲mvTRoժM03*F3Yd6\8,\hݻ kߔi<k NTwSԪmljj[>->ptU%'LR>&EBH$MQAUx[$Z6vi&_a.KIQ{hyƒ j"JOC9eFҝfj;˚Ω<[3_m% lQ@4g=5$(J]Yc-OMq<Ǎ wSzڗ)k$7VIP붾ͯnV+卵*t]iЎD31~SA1éC2u)ʼnQn-Uoi3:grI8ؓWm*G zܕ)ZקJ}Y YlGeJ6cB2I NS3Q>k=KTBT]W6+SOXQgGR? telˊ%-Re\hѯ2TF"C/OJΩ6r[N.0{SpljjX1“jOsӥ;ҭhe}xu`Ք&.)yO̒ Fߑ.$Qw;9Iw2o+RVJMSOj[SoҌZ%;`d$blQ{Ro{Imڌ>3egf\O֝Uzx"䢸g+mv%Gʆ:|V[N'&ס-ޝ'kfE|K,G&˳98Juin/\\Qݿ̋v~Ǩ!rtWU d|E߫R4d}.qPw*Ӭv5YEcn~f5c%MTMkb-F>5JT,})QHg%{("ӔȸWMsYyWNRrkkJr0XドnͫT}r-jj,Ŕʍ\Q2Ri>v$5!]"JB2WɅ)]VԜUc8i|.jeRO6^V.¸ Q&#|ܶ-*uOG%JAtRZRr]FFG\۩w+?'zչSѧt jz>KW&ot{7P&2D;&\\>Q2JzܗAKSfeNn[jRrԕf6,q,F1tRfԗ>vֶևj-&R'Zi2=xv~Elbsvm8=ӛ"ū񕜈BȩlWau[]ٷBߨF~J!|Ipr3R̴#Yp)={7:G{+:\W}n|Q#%)7^-h"Ƒq:M*%J&$T軨I333׎g_- ucBwwjp[6i25$̏bU’ٱRv?G\~#Iͪb7<<}Ezt" q_Inw,7-d,G÷%T* Wg1"䥱kq/A.,_KhqŒxwvo u2ۥۧ.bQ}XκA$֣ +K״ZUNmڸII{.v{5z5ѮRme[moyƾd~cRݾK'j.\i&/S6f|b=5: p!6i_ 4j6=.si˧eƾtS^c.Y^RJVS-Vi3,esi08?H$GvZgg?gi䤟2adw릿:"۪lkSN>q-4kI܋ێe̊qۅgDoѨ9; #T.Q;7#~_Ufstb_'w~Xw1Xk,vcOt._}v}8"(4Z\ۘgk?J?bm_c!g{HZV]Fkk%~gEt)b秴vΰB|꽸}mp~E6ݹv;7P٤v+ri*3Ԣ|'O14_~7nP{7ZU\Vű[ +7󖱅o#:ǥŬ\|3r%TJX]V7ez¨Y]lc|O3V! R zbJ'PnGqVJ"19WVeOF埜EaEJωqCN5Z g-9[S<$sUK5b|7sn\7x qmv##FF\ w[=-43$^ooVSiXօv7iB۴yg>]Vf"r$J3""32!Zh[K%7GvNLs+4nB/B{vlsobJaҺJR:0g%&zR\ S3T[&ִor*ⷳc3ʊO[iozW٨%$gn:ܶWwFBԹjHP&z u&F2\f;ipW73 [; '_̽b;vib!oec dC-tS__$Xs]l9&z$2/N>%'[}b{h/{`{Ji׉׏ YJB/X%}.|+{(S:qz]4_Kѵo`^tY_4S#* ^zvݾMr+TrkQ g.8Ͽ^i>ӈǙvix>$o( ^qt*&t1oJVu-ql5U6jCЉmĻ*"?JT=K'O/|=Vo}l0b}}f?X[?/\JSBe,kP8ETJ==?.p5ފgbU9}ǶdNKk—_$8̸͓ۍ8Di\BԿ-1v{FF]|.^ۅ{vl12׏z7-R7wE?\nh\jN/Kձr_oBw"N QMBZqe-m:ӨSn6j4%!hQ;sv'm4kcM=!8\m[M4{SMliۇ%eֽR&N:{2A8)THLK3Zj[jPBx#BگMf:G1\`edcʮ?|w(-̮vXt,bW2;.ιNHRR#YwTM"<;mk\.foIDjmlJ;vxy7o7i\,KQŊ9d^Mmgc L*.T6tLeIuOH3SJQ3=F/ʿ<9\JM6mN6=<{xkP!F1QR[I$6ُimXu2An2yԒMU q f[IB-'䤯jYm52&JG\zд\~vdg QtHGXw&1Lw+nDEdC1w|YJmvP)HZ>i0BPβә?R:QO["]I_Jʏۍ>QKyu^bycBq4lXF~l [\*N>-J6,Gq(Zr5h]CwYӤU~ʶߑ u*SIv%ZfJ7)! FS*s_\|IŸZ)J ]ܜi4"z[+Z,MOZ))}|Ʀ(RUNIII.S'ˍO~˨rn}M)xxӕ0 eyҵ7YMAB]ӣU:/ѭ*6bcwP͵ "+qēVjŹO|GtY4V j[mLV M -m>",B$ GD1~j6O4|LxnNmqATNR3ε|DŽa[fmn-ڭ+FiK7Pcm;r5 l8r{#-]'nrFh2ruycb;pW=njRqRJ(d mnpckNnʹ+6]tz~E=ʕ l ZZ5jSi3#47.Lcfe`9؏v囜.F\-UZ:*0_<Νu9Lӵm&)_3\^ҹ3"1n1v_|uRʞͫr'iȧN_kH׺8xXrj=\МH)V\ˬ.Xʸ oVRC}ySU9/OBY먌5 ٿwޞ)rw8Ӫi5*5ZΗcGƱ !ZۄlmpjJ -l <R̵/JAպZuq\IdUS 48wXJJtcg4cI~aqߓwŷrm-v)G7yS^7H^-\mŌAq|"m9IBnF㏉9[N+mmy/!KKۉ%n +BdddfFF6FQRN-U5;Sv'm4kcM=Mn)\qιqUd9F%",6MGdT%-+~ f%+y֛^3SrF>6lc(֪vۊN;g._0Sѧ]ETWرkQKzGe9ʨsKA"yC y2\[5 rԭ7Gk5Mzw_4sM3hxЊ'oÍ5jsub )ͪ~tR2H]R͍>̋m6=%(˿(Wrr-܅y5(ܔJ޺YunW̹븹NsqK ]/QR#"ZMDfD|43Qw|._ԡSqTZBg??O Ϥ)/E_U|i}2 9Z?¹0:x'3,whǣ?C y-A~=daJј&M?D1_PS+Oi&;a @;Dž7[ zZC"bv:jjMQk$M RԸ3uA\=wI.AwC"^.{?-\NSiˏ"b}T/}q/ o.1M}R%:-ZniʒL$SgrBW*,Mw'N\ɇ{s\j]VryG'8f`}'N<*/`U숻z CwHq18J+vԕKss4R53/&XTt1bZƟo\=%nO)h$rBi-nKĪ^ ջڜlwkYm[̑+/QrZo%TQ;TLs($2C:s.%+eoNttq۰kK7O0m_t_pZ1SsSM7"mevFZ[w -FJ*T*jФQRg BSu|]g:ɵzjqwmltL.e3sRMچkSmjkmWœިm++¦'tILk*բQ D,PB\lI[9{%Gb R6öۍmX-MaʉA931cs..G4CujQտ[9 }G-xwl)IQz j Ó"rqe&=]꾧֎c)<kӳ+0JrRR3'TnXi^xMF Bު*tIL.[h"2"nKzZe'ZV/RrNYz]8죝n]Ķܩ>^Ժ]u-7^\mZjܣ9+Rmn ߑv?oꋘ?&ƪy^N4o=3-ؔ̿*`}V݁ ƒPu8%$ ݗ]wt;\y\>='OjPIp/nJU8{϶FNMsf"ίNqƹ(+ ݮF2Km |jܴZs%zf*eȫ?]4)I۵nR&FX + [jDh(#哑9q9Eծj8noǕZf\J-l&Z˫}`ӎhyrΉn\űn]9pʌӣ"׮Wt?N4_I_~54#/my1Xr*척aS#DT >q ssΛW;3oUaJSRMDgQnt:Ql,/ ܷfRqiM Ȼ>Cob;A>ڦWقM9X~/!'MW.}Vrߔꔵ!5|iB(0-zF=}okڢE$^wW~nokY߮\6՜̌{i-AF*9)\t9IV6۸5ZUF6R$ŨQIq砳YUZ]eyv >hI櫥N )&l JulwE1GDOuFN2| }馥uC1rޫV+^gdb&W[4<^e4YW,d|htͮsUM)۸8:{3d{AѢ)~ \#J=NdƮꮓ90 |1K$v*?мS ]i$J,C,SG?/_՜pMSƯM|mG1V1$~K>CSvkuj=&) -,yLjuFHK{c駗.SOua;BrSqj-ۍZ#'Jys7[g2z/.u4+XV2VQ.ޕ)$"(%)#Z7suZ%j }BǬݕe)Jvz8zJf:hIN|svO1O#IEcۍjݽ:SdὮvu^@:o^5cs>i/VqmVm]ؔܢn6'vޑ̗J4Wn@OlKbX ;n:hgJ9ŻyǑz8f܌q&Y fN0N;[69 rbׅC2/#kE l&2~èMR.*%g=Ft.%؝e8<.e=Uv{~㻏"EˑnvDѭ͜Lu3u0:U֝$[M5<:oi+V4V9 6nXvx&_ q Qqw3W:uϔ2yb/(ɳ|5zQiJ#r|Hw#.W?4aDŲ\ugWG;Cw鐢K|xg)##=O.dF˟jMUvWĻsr.z]kPc9"]R)mkfOd*uYf١RsB Aîh=k]ʳUrrZsq`d#r$/Ը3o^&lRWȍyuW̦Y4QDUMJ65ƒ[+ygk XK_±k#y:8(TJOSQhJt2.DR}"5[) r)6V6u5k:eXZmv𭤔!푊Q[qQ}ҹLE- 8qIZG|UM4j}Mܕ[Vwm{} Naqµ"ԈM zOpKѰ?IAD3Ir0'/q1itoB5{%wkOBn-ۜduqIzYK60{+DʕܞqIt";r1mG/\/ym[6JƫR \L=S=OT@Ix[TMm{>ݾտ֒ݸӉLYIx>+"JVNzx||5rI?C{oz8۹e\R-^\A2F R+N9 vlT]"ۭ d)t֞i #E2jB@׵=#/N+!ĕhx}I!cM`ąZ*ŻɄҒ߮Y.Z}='/oۙ3IpW̮hT7cTSuz9>B}΄&h!>lӵn~j˅IvU.'v'CSZw8QK3G> ,J59ٷ+HSg䧎hJdzvwv-cvxS5[̊n~ؿ%ַX?O0\6ne 6kn9.ϯ} *h 8_QhLݣ7q +=XBҲ5?[[)+F`=4 }B,sNg==u*Nj9k_GJ)+R~GSPBȒZ:(K]heL=vKPӢwq(NrG^ثϣ?#tC?.ͼ[ۅo؞y#%ǛjVyLSw%T*s92JTM%"YkQО.q)gCͲn8cgi6j1MѾ[{9h^vƘǚםidfi.^RHmg&rׇz:}݃}xT$ضk'5s-狶,\vpbPD،=Okf.c#cdz2FK5T!&)|ntD<+OŹU i-G[EE*FDfeaf2QƤM\UG_{ǹm%\yrGy:.\4wjPGUJޕUV7Do\7Vy_13w;[?c]H\$IJ,*L]3b%L{y.JRKG2sq,B6T}(#nW|km+q5] r㪍bJ@y{byz,b踊3ϻJ,'^xd،)JVw#.Vټc''ÝպWtbRؒJz۠8!o9IۄS95E9ؔ-e9JR{dmnッ<[~n${~Њ$W?&ՐY_? #a.ߑv?oꋘ?&ơ|y^N4o=3t=~7!/M3>n8W홎2M`Qx+ z qy8%]7_~540ۦ彷]Wq CѡwkďyF5Dum_}~P(5.(X,K9vᯐ?leB9;Jhm#3{CxGE-S{;@Fz˙]=O'!ɿ]' r`:7'2bЖ>Iy,/eTy/V<.H?UYY{\^#ѣr9^7?xoRȆ7EoS_&??zϾM?(~Q-K&>"~aߨ t7Emsϛ+?;fCr)fY+>z$tIkjn_>vnrֳki-˹l= t;'EyC¥|/BLwBJdgjۛ$s S1|ɍV%JI6KvəhzIlBYɒ|0"Sy0F>eo5W)O+X˻u';v)2vVq۳kۮws?UʑBǴYO漪e2MIjPAک\b1)DDؚKm6ZWΨgȕ۶yjڳ 2ضN[C[|r@9Jfo<_eI7q.|cÊV߷:i.:$ȋ)1%%)ADZCEBxJ0MJۥy(bNsKM9k43IwNt.\%N簤I'.j|ƃ2$grBEٌ\}9:v*!n7M(ɽ]7c@XxƱԨ37īf62cTTfFK]9wntQHͮvٱI/f|j=7}\_V5U^+:uljSȃY(XI.ȱmo1甅jڎIZ2>#\*:gY|4k\8ZwSqtyA!+];бޞKծË¥e)#5ap.QK^8VdU{*ѽL\=qmjnB5>{ Ӟ`v±5 ^k&O~Oshɷ,;6nOW>u6{RqS`)S%jp\ipdEBLfTWy$GIYw~䲭J.1vSY5z.V>^+Ǎvc.I[R{QsNR3ӎfhd>y?UJ*}~[e\i5U^͛E]G_FS(Iɿ]i8:4zj~շsW,ˆsy:%O}iur]iF5~3M:Ӟ#N06)4ߧgdawIotiz:1r5YDZLHBSi;NQc44la=Y kQIT*ըl:tq2(է9VO4뒳܂~2rq'nrVZŦ[t7\oլfb/mlpc.I8콚q^1iE~䰳mi[dۧw֤ICfdFeCsg:i| 6擣׋* 96lust^{%99UNRvaMܽo ammi$em4D6DD\nA%$$#}۷/ݕr99JMն[oT޲E"KTaP+HGkŴj5TM5xƱOS-k`ۛkٝWz;{kS}F;~q|~^_|euwnE'pSupUP)V]vE+t =ZRaVdG6= *.ϼnj9:UɷbېmF_tޫgHjVS'śǕًdkkѻ_]Kv?nT>)^e=Ar1'3ԔILyD?:-^in):{7.؂\.:V }#뺾.3r̸*xbFM aȵz 6SQ:ײj[ 8nn iFMw rR"5M5I旘35f^j='j:nNW.ʭocZvZKV^ɚJ.cM1ZI7E'6rg탸5oZ=[m Z`\hbMUR١Ȗĉ):Jin!_7Dй+f̷eKҷvͨBPR(V`y6tw*MRΝcB.ڭTnc;P$8nFvm4(D(R#R-L -2:FP lxZKQc6I("Km%$E, 78uXIFA$RQI$JbInG]c[ֹ:ZM+n^')JmJMJRu{e)7jQDw~%yQl}BZujSSf۩QZ+Dzhd5o%BIc'GZ?}΍:>Ɵivז-%݌J5MqGWTVʦh݇ܟ~Օ_6 n'{3~mϬj'J11OȻn߃r Qr\3y٘+WӍ'WxEs^O3 o~[|7>]]H9݇ZomT@]?5B:Z߂'`V_+/MSKX߆ޠk3?o7y:4R/7þ] iG߬aBRU&?r&/} cQߥGj2?C5Yśe7hU=?+ x龳f-܈czW^7p%-(\D4h{UK&ӡn^m]Fݢ:`δvj俜F+) y[{{ 7 tu>gvrěOj'5 iRg[ͶFjGe n~qT$ci ۚ0oԹc*jL[sVWqj\ݻ&6"WoK:cnWmrv)o>66(F>=W^bf#c zzʞtپy%mՉPël e}J.\Zk4ttt>oEM=q)hJjI=ͥ(%]脼_88ф;͛gWG;Cw~˘$4=uWdĜTثNDkiQL9U*O"4XP`02,Ge-k5$h>ܼ]3vr6!9RQPIVSnM(ۓ{>;/Qͱv{3&-[rc)ܚI$n{Sv3[j00)-D3z}MRzVQпj,T[uVs0\}Sid;r(ݝJ>æʺL&c[jPK0~d(FKÝW\m]GTcF|Iׁ)I3~#oX%vҦEݑؼ5Żv2qAZTE^..M{ʐfȏ2##.R}*KʛZz^ӞN*lPťLf\G6[WVQquV]XAi)5J!,$iJ6o$tPZc;Kjx_n3`qIelV~vLy{fn匋Ѿn%;zV.n'-ұdd2߽1bZksPe3TI9)$ԩIN9Vơ\=2885N\ p)/a柛w9g_lױo8ݷ iixJV& ғRi{N^_oAŮE6Y7I$Nk$|Q)-*4Z)^¸%4Qm [I%.c-OV+C֧R#%ѨCe3i;w$G+_dy| Fzj$DI(=OA gj%v/]8qԯNIS*֩',Q%\44ZZ%D|Ǧʴ6&vֵI$%8(ԬƾS&#Z. }6z?b/|Jl{ץv&mpx4Z$”ڝ4-H%dGKfM:sKSRWeJAn]>s6应-W9'H]'uȫYvgK^\czp|My\鏩w/ËQ.)]\QiS`8uL뚛̸=J"ܻi\å'-)54Ue]:K\퓡vK xwBqrH\*֕TnzC.mT=t-H]SČ~Nu╏NÅ3f|͡G~B+Xm[Q7U{9"~jgK Zoʰ7"qJ,ekSeNGgϳ] ^.6:s}_,%eRg<5⿨z{ZPun#jRІ.6g T.!]xa c#jN$Zpl̋H WZu8WmMRýsĮ?Mco~sx TU҆Q :KDG4n42.<3/'^?6/ܠڒ^yrrÿr2\D}}B]^E~^T cɛ7϶Y[<֞[7d}2%QPqOLEQR\CIsj1?\}%tJ0e~ *sk"*)&ۓEi#{1J8Hrt|'ܝRr8)=ƔN'RVz:cf]F7bZyZUȘ4x8,#JG̒?.W9XnO]KO]%]ƻ O5Γ/3qÓj؍/r̺rƵ 5\&m6h.xoeX[=<3%< lZ"2h\Z[&jW3ejm?k&[]ųj+{N{66leu_+lj]q* 7g*knأYv= q ەdxЬZ|%GUrQ3jLŒqET]1% qkXYūYc[7Ś]QY\jko\</Lc7+'hMSUc6qXyؙ~6#ѯv.0$BQi5YyIhɍiy=KD!n3Vm[V%W-B%swa97ajۗ m+9~]fKq|Ddaˑ0A]_v޺mM5* F-BYHJ5}q>ʉ.6hyDmpD׬'-_v5;5[8K[viJ.3dR:oYHHh9I7:۽fi+wm^ [)odPѱ52CZUJicSw\&_s0uBȍh32džzQflcd^m|7GѹE!fO5]]H9݇ZomT@]?5B:Z߂'`V_+/MSKX߆ޠk3?o7y:4R/7þ] iG߬aBRU&?r&/} cQߥGj2?C5Yśe7hU=?+ x龳f-܈czW^7p%5|Y:SJE\U-(a_cƣUǽXXKiȞNlmۊڭڄR!**ܤMeȽ$|X5(Ź\rJ~ܮ]>'HB0cp XFr_c?f?7<ukSgov¥iG>>䙗i.+t+bOjIܶ . i^:nm}s}(3>NZ$2Qg([".>i.ƾ)B̋M8+"- >eE6DݥJnJˣt׻ 5.˅nJGwZD~!i۶a,Db3ZQ3O#KO5/֍ozuK'GbRi᝘NV_ҝcvם ZoX}F6z 7e5_e:ۓj=AB+iܔERadMBq*ԯ DwI/Gy*mĥiRKg6skY/#SN4e$-yXM YL?^ĸNNӪ{$r1JJRSLO]Aqm>V/s[~i/j+m>z}eI"Qvp]{ZԼ:{vPAG2=T͡@ڐ#u"E*>C;o$~C#_d/HBq^YRٽzIKbOm\~żjFFGdiQ(*/i*#.FF]©m=BmpQQQSP&Ҫ!T&^>:y)$ˑÐFčI Bӡ-t!bM WҦŶ'UZ=}zvn~oT/\ǒ'nr8 AJIӆz<^uߖ4eFC1i+v!3qNyߕni?4JZlmYFXFۼO0B\m[ tʄU3s"Sr(NJ;SKW72L4̏BVdf^Ҹj\]ȱ۪(ӷm?J-KEmWڽ^4<8qu%9pŹW~877ܾeVгS(յe^C]yX͹! םm4FGȋ\y'Z FX7e)|Gjt߹#gb\ŧq_([R8[qU$Z (ʻezV2V!iQ,i$JE˂٩ a(GK'O{vnBvryRd-RK4=qxZJMl_CuuIz @Rt㮽޳!|68\-l[џ84-2Pu" RJ_^OL>G1~XnBŬw6J0*Uvlږ1N G1q9IUm*'oWu][&UyYZbBZRZNfEJf"+2nF~Eû7n1xv.RUM$6 lAxSQJ&n5ܞwlEói"#>4׿Q.nEq7Oko[1wg8ZQwZYiqtm&~">Bo?w͡ni2峋NCEy Ҕ+%ZJ ʩq*fpˤl,~^Mχk1+:ݕ z&Y`KLӪУDr3[*Z :(SL&ݻ۬Vqsyԭs x|iI߽zZrg.:mp%6ԜvgmpIUt;QbS.Է) ǨKSV,*lڌ|5Jt3#NP.=+OZ~/G سIgbꥹJnl_DUM\iM!֔wVZuԺ,yV.Q>f v:݇WiaŸN5Ҕ[M7SsrvǣrMW= \8ZW-jsnڕ.ZnF2qt ً[ٻޘY۷Zm"Jxr&NAfA-݌to9s359݆mZ+N1-qS$D=17 x׵+%_ ve4ir6Z$FDڗnFtOr'7'{9C˨ꤡaYoace{Refnft RR"4%ʌm:Sj3)OdInTO>X'vxV#jܮw9Fog;5.~Y5\~18YQܹvj4+~t7S ﬕs %^۵ڴDZV69R^Y+rj$ԇoJKR5wB9C>Y:l+EǎS{ʲ{T6Wi* ^^9k/y/Cs\g*qڵgn4T8mERr|Ti+iPe;;.i\EBEJ 丬i9ɧM-ԼsGDrZ>r#R>~X9y4b棇9JwV۔%m(b[Tjvl}۩~nDԺ{Zo-YuK1vx.nWuO+jN [ٮ0%"΢CdTJK-RަH"$I(*ve &҉FzB,_Vpqp9m8werv')E;o&QE׵^d9˦j\_,ڵugZȻ̧8k+jK{wmr@3ӭ2 wFkzFVqs1؛.v'I%$[iT]D5Dl2 nk7qUxԫLS+sا3/ΖeZYK<["%-g/kRs:f3;*E ت wJ%)5&+&rw*霣i|sMҴ|;R+fm䡩.!**dӶ-6s6,]zAXMWjmnz%SJߴm2UXw7MQ%<!tKys#P,W>s;3IYwx<+i_\\\U6 u7P|xbn_k&ӓVOe䦒 VUr,-㘘"-LZeOSҠթrEvq8Kf%5%&K"#%vD/.ZYYŏ+p$nZkvއuW9㓱Z G wYIFyf)?ƎUm5ԉ/'k84{KO:rQI}XRuԪ|*lu)3qZ[mSm5R3".Xcَ5c®ࢫI*۳~wRϿQWޝ(EJrri&ۥ^ʶ齲Im|[yb;mnm֩uiܘq>E+Ikx߄3r33-5𹻖09ϖ9[Tz~mr5NsWl$oPusޛ^{Z;);sڹf\3oٹZmԉ/'k84{NO:rQIBø8Bݱ3n֤DiK4u& ofSȒܩx<˘|N0Fչ]qsp"}! QWw@t4ӭ+cO5%]'*{eM߲DRO1y*q8w++e!c߶ܪlZWّM欼 CQ̼빶lX{vib/V/ ai;x6~]+z]MWB>re-:lgk}պ!#9?%܋V-c[z!W?c7YNm/jRr[HOzԻefճ0q15Zp#rkQQ0tU-AmڵP/cȕ?0cZYj;:0ZM=D6g ?'UN+ձ[K ܖB2'xq9{|۫N0ku 7xaj;n\ 2[VznMlWiKbSk))f..)Km)&bGZ=>OR܍W:j'rM'wYz&/鶧{Sʵb"vջq[I-ՌZH._x*BagC'T(Q:$ͳQcMCKy?3g'ߝqnT);qs #ؤZ}OOI:cfnc8W~qy.;^pVl]Hԓ>^H^@7-AA܃nmL(uWܻS߿ Td95Bdh4t6*dDh!EhI[iŨ\L.&Nc ܮf^;$R)\rip9I|ٺ?#R.ZDZ;/]nݻqs\QE9M&Bd ]N mN*D>tgbK>+ˏ.!23]BȔR1ɝ^j'k2ƮqBQq[$di]icV/e`޵B.FIIJqbi>Ӥ|p; 6${)RU>_e}^dzdfzi %ekRVUS?6'hׂ)5.\+qUgzE2C˷ecŏ^֔ibk shesFWJ#~> Wk~ݨ}ڶ>ơǚ)׽ZƉo~B-ڼrvoE:Ʃ3ۣK7+Y`WirS):{>ڛ}:wԨ(J_";6R%[u&ƫdZ_\'np| RJwNeTW,=rrbnkڄ[M3ܴz)3- R.?:okۼ0TU'w{6&w7j1z3ON'fGoO?)S_bQ_¿R(^ԴԴG.EtMڇ&RUiW uQjU> Kiu1d<ѥIQ'RQ1:O/lŗᏩiʂv&Jc{D5 Tt)1.n[n۶X}RjqnOʽ(~[Ns{ސ⛌uO,kgo֢dRNQȄ .'6W!׌P朼tdZjFGE"]K@'i۪N;sI[{SOzk>`rRR+!σj8&TjlvA̷Q?HyjyLHNտJMjܶT۽lG?SnKN%<‘ nq[N0Sq[Ta(&t(|HGO~gvkݻTR4&Z$#ViOY1r$6YF?e4U/Mvxų:zbU^gQQ+NW_'4jfz^c'#`rvrڡ(IJ/J ݦ6 ]-CW |_{v*_q3^DZ}Ic6Uڌ8p7{crZq5ki`)mU6|-Z5^iEz3P=:Cu7DF'k%}<C-޹ֲ̱#\,(f88%X-N(ck0VLR~} G"-8ӏ/ϰKq?(#nrVTmZ;zióM4 m |UT'C^_1X.gXM{%ʤd 4\ovN":"y-,T)fLQgۢr=/CƹǨJVr[a+!rT|%Y\ٱzsS>jͱ.oOc6f$q% ǒGo;n[];ߎjrk{~\VۓNIGn:iqxo |~t5)Rxעri{Vi&NUOl_ѮMfsޕkЄay.0P{7N((BaIP$ K"U6Gl ݙqJRu+qN$ m#*p<|{:>-Ev=86N*MM긭U*uѾ?/^o7;'u,h4݌xښRM:5.(/ \իU.{F^rmF-Jɷ.>Q"[4xT^OZ~mK}T0ݛ^SAo9u?lX(' qj%=X}"^e4wˠ|rܫ 6I\Ķ;Ӻw!'ڍWg{ i U_9Avhۣƾ+:vs/MK[ɭīe{`Zgb}r[i'GE2J7Nez579wRq+Un ]J.cJ4M:h箽Wxxm^ pc\wcN%'My $$| :$Fqɏ¾^қP9J6Wxvu}ݵP>Z'FFdg"-; [¢cmWkÎT8nG%ݣ7*\խCLRYZͤiD&J#'ehbSyXK|y*ӞpS̍R`[pTr/Eg)K+92{_ n3zwz'oŸۤ+sOj J:`T>Cf*lwd\fYOP"R E֢̔L4ɥ :;.b(B02rJ蠟9>V'9M%)IqnhP<%,r'P/vNSwr#w"ݨaqc(|{kd=^0jTMR2ULNz|.<|^PfY22##!,K~E BEJۜ&jRNsHަޛg\r,v؜.jK3)[EJ2ii{KEiHP^&]Gn8x=K}Wx/KI9-ϵwQ%spܾ[^R}S3$qvq8M[ ozKxcqmJ/ӿ{_}7&ݨ\f6ZSyQz& 7ۉ[8~UNn|nkiTB+4RI8'Nc%tn{!]Ȋo.nEmʱn𵵥J A+wy#+ikǒڂ;՛s85'KmE:Ђu""Iģ5p=БbTY-ͽڔ詻ngL2Q}$de# fs^o{DUUsfwӶ;s1T,ǤtޒQ\෼J=.tKU,7čJ5 N$y3kdSMQU~mO[03 $zAڟsF5^뜞"Կ QHmrR"ӳηer+ҔZ]hE-6Jmt'ޒ=O[sQj)6K}?e4v_KfZheޓ=BV[bY}lݒTTЬ{ȫvO_qpRApVŗ 6ju=*BR)g "O1yhb=tqJ gtm\b3RY+JQ^Ō֍\յ\>+uSi{=x ^w;uӘ#ĸzLn*$anok߷CBӷ}5Yqvdž<( "_OWit5:EZj2 B ρ1̊fi[n!HQF82q1牙nqnEpT(2RMoM4ϳOu ':֧_Xjsg jP^(ڙ{2%E͖j^}ZU[Q$'U) <܂%!s"m R'G5M0<+zM6qYm$ڕ$3ǧH]?o2N<8F1̻r_my[Rf59NjpzBnl7*{.QP 3N&^BLJPjAHCK2Q}$#~YMq8 k(MFMU)8MEqTy+Tʞ-ar5yܕOXw!e;q-Jqܶ䓊Y:LC UE{/t>r"lI9)3KJjϤA 6SEE$d߇3KG*En|P\ԭTn6I-ƍKTj<1H_zwGr19wF N8ݝ+a9ɫM6mhePi%mmD! """"""*1bRKrD"vnrM۫mmĽm]ӡiG~e"˩ lhRTMk^MX["Jݱk7_ޕ*DqĒ&flՒ}`W}~SմZ{ĕ~wm*/{{ѹ_-0ط#P]xlڱ~Tn5wi*lڪ (JxioϏbqKYR|!|KN53 OS222$jzww%i}>N)E+rۥ7c$Ofl/LNث\6H9: FY󡈾I)fB֔JI_ ֣^: 9mY{66㒢7Uj]:.-os[R&gMF3˸#໹kmjq^8W"PΦURjʄWa˧T!͋ lW48JB2ko+ /Nw QwQzQ ے%$ޓ7^YL|r7!v%Trܥ &|M8~ybrn[RV gSn{{*#2#ԽᢏӴHak" ӌcwҜw&RJ07ױ>Ļ =^ BɆ)v32.M1=#6%̠tҤnzqMwԣ~s*%-j|_m*.Yx9Sz=)qE4 3pk+,`=kNRڥ=B=nŔNAx)Q$ԩȧ4z3t#Z2lҮYn$S%y- JzGpu|LBV7ZW#;Wwipܷ%(6jFG5#{$D"uۭ~]֫SrD܃fҎӾ+Tu>-ZTQ& N|$沸ii>eRWݳu'[O̻j8JۻEѩ[]vni= ڒ,[_%kC7I3Nv$4ɎЈeٸoUu:[}Do5|zNq=Tre%ɧ6&~DȍF]ƞG5q m]/w/ \ʲr8=oʔe9U(W"|S]uZd#?Se[W"ֿh][-7Nu:T=)R}.;ml*5Dlf $fF(̏T hiIUU4Szɕ t(%_|2 ~6eM;TƗK[f&]LK^CE2[ȏBOd;Mi|cx,^6;sیGpQ\NuJIFTJ~đArh* B"$H쉩eXPRj?sl"ԥ)su]xpԴY%VESH"ЋJǰ K&5^Ukzׄ8kEgS2h&Se\ Yl]WҶp-ZUvi7QS:4byqOo+[̺腋[6-_Fo.6[7$p&^ _GZԸߍkc.qqoI[9m߸YxOZЦ1uoiSH)P9Uʄjcq= S>֙NeR><;+ڌk%_qT].srNO?s[=vH[]RZHRMtᩗVؾ:/~u)ԍdg%=edVrISb{6vSu=(ܥ)mTv/J}̇8 S3ad:^hBSf؉OɔLhI_1d8,L><_A0y3rXq"'(۱;mFNII.v5_(^q~X>y{3צ I*Vܛv/jW' T'NR'j%ꔩ:mJ3SB}΋!-H-RJBТQoedi9tjENenPpke.%4]#{:>mkEɱdYWl\\\'nRM4&U>?Ќˉk÷!𴪛]]5}UqG~ݏI"O~s6(Ļ)qO~h}uԕd}Q~G,oE!&G&/]_H-O=o{k\̭bkv.Ô܈+;arZx)m?M\3lU$mk-CFXjTv6u' g:Vn_*qk:VC A%'4JV%EY)#BғO4<e׿jQQ]yUr4=wm[K1r׵%Iũ-O}|kC;/VcݩWZ)EHdžTru]8hgĵ-;=>U_ InvTm_jBM+QiF"9*{DI/iuo(=TzϖmPQl_v4z>T*ȴ>YF;ε\t]EH4ꌇ[VrLzef 2T^V>g2~kg5~Nק;{~Z~W}&ŒBӿS2$J?~(Yœ"˲ߩ\O]: J׉ښT{mmIѩn3˧)4LdFZ/zUG>U> n 5& ϴ-KJi2o]uKljvK3$bԔҚV旧iY5.ίfi96v7!v))FJM4{jG~Jt/lUE%pTAFe4qQk\ve۽/u/Im+W')v{\-E|Pms7߮DZRr۞/mu*1ՙaB܆ -xg3#6ۥtRogʌU)׎]ZҞNnŞr}F1Nnޞ;cZ{N}ۿMiuxʉ*3qi'9KHQ$WJxXyرŔe~[v5~/jN9Q4o6rJv FrdxM*iRjMzUinHdн7ᾞS=S'7 } ̽zt7K|_g J=Lq+/Bw_\ۧx\HJUPzQ<hqF[V0x==CsU7q|^ {)Iq38$_A(VgcKu06Ƅ"%i~_ˉk QCܣB8Ku/񋇵u([w}$F|8TՠI.E !;RJ^}MɒD_q2];Ɖ{5}*n7nEInO{Mwv}&q+v [V}Ĝ@%>#dXQ$f;iep.GquixVt x6bj͵mlKقQ[T]zs/&yەnM'W}!Fp_d^Tu N{ɻ'l{խ2.sTu{W^H&;1s)Pӛ6>$mě;Łnj= fLT)>׸+qReɴ[UR\L*P/!$Ӊ3Q 'K=m~6XqW3^W+ųO_[F$rR*u"T%@O +%# ]˽!aܽz{ͷvQh쩎]hGތ5ɇ*DzJDRNLi 4:{~2FmXY-zzĽ^f=]uū{/+&c:Ma{ĝDp2m܍kHș/(--m_vݮK(V{R}.k&yƴ7i^4@3f sK3^Ř˸B=]?gt5KbZB<e;kQLpxuWC}n 5ҴepB##~q= `x]KWF {GfŲ}?G.I9pjWkU]>={7q{kO/^I3==f1ɏ%nnʫ/Zu_yXN<57ۍ'vy/"8넭M2eԷ&Y,в33%IkjMr7xf nmQkX4踼>a-GcIeތw&U=-:qnW)z¥j :WqSZvԒ#j"KrIU)%qrmRoDGQ~SYRsu*V)  ,/x)MFD6O#]z 96[Ui(JRfw'y$GeUީkdMF-ݻ98F2d[o{Rn0n-xsV6Dh|Eb2E:KCOӪv4SJCr"J!!m,hRLD| ZYFm/X~ΧfrN&4Ƒ=Z9Mh.Mܵw/BdrܥniŪ8ɧ|y%œ[M=_tj?F!z5\evM:\ ~F-sg钬OWq“iiȍ<Gi%%n2rqͻllƑ)okw7}\Uk-:&fj솘XerV9yZuʼşdFC=rmo%~ZN78X(N)_7.Εn1MpJ}62jjJdI";R5&iLԸc:jmqiQj$ujp\{;v5B񥍪Xn Ą4qOERjzN(Ga٠䌡)p*v(J7#ZۻZ8O W uONb+^Qipv9GvֽƼϯrYƖKGJQDNPhRJjᡧC"21"9ѓS1;R_O7/WGz)8fE%F2ukmvSov/iZ&/]~KmI[:^~ͤ\kMi稜\ywJt3W7 8Ʒ~ݥeFgѼw"8VVSج\뻆}ݭ/J6Q)d|)zU3>k\L=;ow֯gN3pKѫ|wmkZ$z^2R:E)f>ς нd|#׆?\ǔpV{;\$ƵE%-ͪm0S6[n< kE[}mvE4DDZ^$OZ0*$~XUv҅B@^?]so#%ojw;Y#SxxueBگy v^i-)s)zV jC{7Gt.w3v,ygg8s]aE_,*E tY5k٨h=o"m泏:\6w噓aiL׎n^c\75AGkЯ0Lf46َ`egZ˓p/k;̛]kq!ݸzpԭG"}R9Ve>ˏHUjJ-&7nrnwG*Xv\˱/vN}O)ʼn&CV͍f̵]r\PMB-6Du-#RͰtRN^)mT _}nSȕC*_xBuTkJW[`ɩ`ejvsngP ڻ.-WUtܑqԹQj)t;vN&RNũT+8%IXӃ5fK՛-d9 ]CƑm|nZ-6=Hz,*aEm W3VzRšdY~Xf׀Xx"]s;)5u*ُHB BRGS6bݶؿ 9j[1*jױga7oX CUI%0v#~\-O-Ꙛuɷ쏪&5mY٦M`LJ2qK~HZbr =N'YobI. (^ ׾{_ ?OJ`S`3BN[}5w6:ǵ/iSlt=4F*d&T4y/#. ɵim5Uֲf 眕6Y7 fơ=3dϕq뚩$qTM-%r!$@A? ޾V0c~{[{;򥧅a~ڵ»&ڄv1ek=wb MLkNAԬw-x>~/r=e73VeVN)K%Sښe"+3uXuچrn ֺVzscJ峻m}vb㶓n\YbIUBT%*,0nov=;z꣓S/nSXSpl##k9mXGrZv^Gde!ŷRԠzQyjC]`gToPov{j~KRBMY}i[߶9KL2ԉO0K#m>wB[ٍ+n[[b٦DX ݲpo] [\m5qdT()mo4Oy9Ie b][wղmM~vmi۱~t \}$яimRk(L c Cvk7r9_r1 ;zv|F@KyZ[&jEji/"6$69ml#e]9s\{ScL}Ȣؿ0q/nZ*t,CLoD߉Njǚy=Pgmu6^]l-["çUʖMlʍp-"qmU>۷uFOJ%Ǔkx 'g=睋k[3u,{³WɘݪF]ՍeFX"Oy\,cچ=w/gn Ļ]#2? vqy-gXnR.^}ݺFs{ŝG]}e|#0mjx"ƬWكm?rgU^xVB":Dt>@LRbun~ݭ,w+v⪕;\U(RYa61>#Jm˞Μ9g9XKaG='u8gf}'qy#ɉw J]We.ʲ-<+&q%s?2dњztҼn`cΤmmqMdz O[-ߩӲ&;[tmܝVnr">{x<8U+p:Ig]zjGkt,uzf}dؠoJaکqEq -(:d<պ=eKy[˗^%ZXkX[C2߱\ITTLGzANM￵i]K>UsOGDDD.ZF6* ҃V Zhz{'xp^`wo8r0h ZmJ5"jb[l=yUu7-;7IT%:jFjߖm0tzU'K)څNۧYJ)4IQ}^KWm7kSP>q;ނ#)'n7&׊r?óM{IwR\j2Qn[v pe#/tAF\ϵ225q֒om6z})6҅*oqDsMf CNIN=T S2t,_ѧ}kveMF0J\Rnnݙܹy[rUc-j{yGtkQ%s]5qB.Nw.JN1LvR Ui5J ZESQԙr):MJ+g}χ!2;q([jAud][ljVK3$ײSJI=/|&tl'*n۽f.frܥ jQO8>&Z];.|7T/C}$ڋUmP2Reҭ8hFF\L 3~e v\۫]ݝNmrnB%*]Z«hKc=BTLG :V74$=Ǘy+EX'4tn(I:Ѝ;Df8c,k1%dJ6.j6ź{N~l6&*fœI7 WAlGOu-ҢH,,(ǔe뿋쩨kM܍ZſgRvQ' 9)?n|er˭|I|-fGK.rΛp8XV1%K6mvG+tc+qE&ǸC_Nm:l=_/m5^[dߌڇ.c<%:)tQ$Ow~-aY;UJ>=F)2[nk؆?훐M=l6[4(O.]2#-H^n#->&mp5~Fӛ+|| S,xag%qkEUzUgæBhߕP(7]kFnq?֖CpruZ6*rEڊtS|*tI*E}7R<,nUU֫^I7Q*mSly%rdȓd8hE<9oHhMfNSRj[i7D[Rj݊+kდq{"$$H?p\̅S?㭻;t~R߁)^/>Qj`yt[w ԛ;²~+ߔ_ YW~|o]?x^ᯛ `ʼn;g)T@vWn]>&4lp+$D̢1l|ȨF%-}.9[}w~ ԠLM9hСablfe&QoW!s?wjLK?s7yO>(=C~_nyǜu?v3vyo oI@qV-jeES^[9WoSܝh"l2C1a͔CiJ@3:Pճw=/7ovuk+\V;lDgն<[A+rX~d;m!_s8ݖ׷;;.0llUC+?i#_crʙ1~C.\–q ul8Hܶ2m`ܻM3Tov|Bs rɵ"oLS- DКw=Tv@f'6|YlD͓Y%׵-#Ѯo%:&!3o%\J<02;K87>^vgƓ# ;ݝmz^Y6=PS39U%~ &f# }o!muH;ʲŇ˷yvP+&.7e[3'vR4Yj̗IZ`e˽3o[WU{ m[sUbۋZǾۆl6~9'V*.\S2<Sd*zY[aŶ`]C$n.v^Ʌ dng>ەZ,Mmϑ :n6nϦezWqUJ4! ۇ4R! =>>Fn|Q[{pRO17ƕ~._I''00k=b՛o}Osðc2'o\3}ݭQ^2 . R1yKȣtAݿ-uܾw!`?1Whn|gzUo[ECWwjUIן)^h#1ɭ!/Z np;o;ΗŻkXs."6E`Z1 עӐ9Kl8qd q} 2Stt;#j>;խabONŗ=fwP1j)l6J̶|gV2`y/0E˛6+ԫ1? 6}KW c\KoKͨ2ۅFw–s*TԞLיuDx .kCzWXhy۶gLu|%TnupǺl-S* PRaLnT+c+*xl.v!.U=|; !_L̎뱚U=4hm:ٯ"y)$:>%(n}X'p[ȴ ^˒4kƓmzDx \ 'NqamP7nyN݅=j7%McSڵj%STy qXymvCg{w/w=wSW5r̹u erծˊsOm=DhEҚRb#n)QOxtվQwe]I}wCa'"[ۂ-z}2UuKP$㜉ԧ:mc<Ý>RoL?wu|%ҷ&K y_!y9 ??:tq3(UU-lkS'ɸ@jdzQˬR] EVPW1DJq2n:,c|ǻ̑;y{X,ۂ.u.b˕u.tKBjQ"[S園S`ٮdNبeJ&9Ơ ~0a(Vm٘L+Jr*vڑE( x0+tp˕ n';wm-ޜMOxX>{#2%jgb2M[`K*\5@8l'e=0u+w ֘鳾{y܀:R*Ya]"Ӧ%ktynlۣ65,3gU}{GYrb;ge'TKwǘ.,rpܚV]Tr,!dp /ԺU,xՉ>s׽~W5oTh yx?xrrx?)?ilbT׬,z$Ԏ.UH٠\U1pU:]JwSrGZq8àd驐,N67QYBӢD㏙W!Q25ϸo9ms-7-%3CihO.J鯽-;MZM8ku-7k9S$8]q2E(}bۏI[DKOK}3KUB^u %Y,u.-&f#]'܆o$x`Yu,dzwM;#oKxn;\[d7}Rb+*Y䛂ZuBӱl{j0O̓}LhK;[aֶaGL{Cb#S.T[>߃F]NK"u^LUʐ_ykW?!GRj29͖qa'0[npcDvV)qz9R)PۨM^aJx W] r>];eN3vxdmĘ(5W2K1䪖weF{mE/QP6\u54x5[hۮ-Nk”i[lUgL]J}5 S:EhiUrgHl!ŒJ$pe=q^b͵Q' ?6|R\,JA ڵ"TDꈭ:ymg`B5t%M] <N_zv2_Ortٵ/i/ReӮ*7[qүqEG* m"[I:6e^p"I$jԴęh!m)]GZkcjS!{e^z}+Cѥ9;R|/ֱeiUԏCNu2Zhcٗg$ݭwvr P8*7/Lk~I'Km1+MW%Bk|oOm>-#qj*|Dbѱkn|n{v#jĮqNpMIUm(7Liz;{ҜݞڝVƚVϬ+sO!OstGvxӉ']uӎ4g_ 1^-8ۦ k!)Ύ5O;YSB#2Zzχ;<.ֵOtge~.(RC#wFZeGZٸ6FFJ4e2ˇpJT$[wgV)q6muDGJ56q\I!̗ y/I~RtJ9kJ]Iy*'FN0s.[l!fw'y(7$œ WƫgyΙdMEU JQJv̋vmrۖ.jWR_M֨djYgSj0^\y'EoECjm$ IƩK>Z28J2TiJ2N#}.s cArl嫶nB.FIJ.)۔\ZiM>/hLĸ=C1s[?YMqp|94- 鮝𦔽/k^#NT(Y LS$6˩}{;5 )B۷W$qpN)qqoot}ZDVә;7TiK|6f3h$dԄ}fqݡ>Nb򗉉+ͶO]>ߡ_VtYf79ڰիF sq~prս|QM)g%l0ocJȨHz V;Bb/kLAcfPJ,ԭ{ƍgpjNR6VSI*$!yV足jᇑ.](EܣqM\qJ2eZT).<9UB/(B0j)mtKEj#׿fDI-=rZړj|'Nڤ]k*i$5qt"ݙPM6E4ke^Z8ۏhz$Q(R Ay2zfRñnpnkbkI:=j &ΝșW?׵d{+ύM'??XqeeĽ.[o=UxFS=ӷdZwenՄ]_X=ĭVa* pKs0ބۍfJ3 gz̚i|wnxtjc¼5${(1fXQ65ȼb̶Zkn>%FQMJXӡ{TZEVNᖣimT/37cNJUPnP҂ZOE~"-Rc4^b- FEͧtf5[)S!OZIښݲ͑;tvܡ+N)AR=hCNn;wL16-:特7M$=Tҕ-.R[HٷnXk sn[ҞD-0WS9p9:-Ϸ-jѬNu{ҹfv)[Ľvwfg(ٷfe+0mYj8Q1\ݧg]Eǎvڿc!4#j5̋C2"}BRriFp7=ô\TZ:\BLfj#I22װ<;صZl j 6:l"6]۸ K'6RTѯ^ئOԓV\?$x7s#r:Oh{ց=MmuHԷd{pN /܅:UE#Yy+(SgQ(Щ)RHzw>^Ѿݻ>mK&^ '$Jۻ&w%F|xfz%˳ L~3N?Cy9 v w/{ƿ kz3x> sXv}vP"@WyC z`'톽Dw%-tt yVY\wmuPYQA0iG-2JP,6/gˢ]u.-n!Zw.N7Q]Df}Q0({a\@=i_X7gFǘ8^⻲}G MZ1)WEfO12G+=-B@z\`||w6ċj߬m}UwRox֢I &c~XGP6Qndpvܻul'V7^FJt^{b^B(L~sѣ6@߿^xqU!ڙ5|Vpvef-uӥ^3  FSDɯKD%0r}FF穛r7 +o"V8tv̖NQU!5uFd"bCr^bJ=֤fM#ʳԷP0O-9xRBm\=`r-:;~3Tl(nXtXi%2Vٛ#vwqƴ`L@"H‹qW.j,JM5B[)WܺUeZFqc'V˷1W7V̾-MHФwn8N;HPSdݷC7&2j.W\τGŎ'Vb]c.x+Rx1%C2T{myg[qU|+m:M:շ8҉yWd)ՋWS%%:iqlʹmGwݹ WnNŤѩ5(9hTٵDdGUi-)vSs2 2{OnT$Xck n:¶(lASLeȔBjμPpTb2~N2~%^k[ܗ[Jzs0ӓHBKq[}JَA-$dFQgjxxFv4r/x*Rm% `4J(&iv7SkԲmSH1YWmx 8n.k']:Z˭_W >ڃXЩ. jTq%Aā[E}amc]D:rmHRiu:uӚӢ\p(5-q%e)(۬ҖȽIf<߽pr&ݫVfY91q2ĭEQgYbTGQ&,yL+N$[q*RVۉQ=FuTܻ>f>f㋳8N6$܌n)9&»iˤsX,݅܍ȩv+sRTpO}d?Wn/Inpȸ%O]StQO|v5\}7Zwb.AIVK^:wb{[uݯcytO߶S<{8KSRׁH̏N7ۚ[xkwYy_'ZӵF+>쌛ZUĦreE9F[24De{}@:ExWs-\ǻ7K-\JNvEk%:s˙#κ].oͳ;լ7wB6nwu:$L; DkI#Wz.:Xp(˅v$Sq,wn\qIN-e<5Oe+vuYTpcojUI_ާP8 O 7&VL8z$_B-H-[uh]T{|8=qVRN-:Ij:7PUtXϷmy鉿:RIM~33ӸS2#׳GdŲ5+/Bx{(WzȨ5Y㞎#|˖+ ط.|e<o/rߔX>7s}VE.OVti׽ .5nNJO"95{#q}Ay9do]R"M6z\tnNS-D!@3N_jicWsy*5uٮRcWv/.,j}=S)j5C^> Ie =gu9ӛqjtz]۪TMoߧI!Ǧ¶m:,"[L!{qAv-o 3{"KʼnrIkfٶj2ƙ؄S`7` k6jzޞ?e5G&6uʷ2%ԒRKE*G\Npom F/V |C0.q_eenƣ<5Oh'67ɪn[SĽ{ڔjǘzs;~׌(ۂ`ܢ1ƣ` _l9Va6%UQWh~P~\F^ZHR@:ۧCJ{ôGeBh;~ۧnU J\O+n2 RҠ)ng}Kh{5+S×ܛ.1ZjG)iRȤIN 4%{oΜ/eO[Nffd ĹK?nnԼMqX'܌nZvq<ķbFnͪaQ`5 s,M_լ?-@_{w{ӺձJ}GF[%v\5[ŒGkOw/ΜM9rjË%2+rd~+󲕛C9U۳r[aJǭm|˒LAʨSCq[XMۺoubfp:t+ΤĻo ][ zt-*67kvS7D·MMCQXm;)܎n_h%]4ܙnRk!]ڵsDUF"`R, &#R_*[z*ZqFXɻ]7|۵w+'pFDەs=r./ᐚm3Hשy yD"jHCr':sA65نѮ^o1V/ f;nFr3VM)e*- s D'H݅fӧ\*޷[k<7u<-]֍Q8R h|p=WlW3s%Q %3l}@U-K6f-NϿu|ڴmWN׮[׸F*mW\%r! C78:޳vBG7ŵ.JթԚ2x)ST!řn~9 W:Wpܢ件{xf8ٳwKE ҰWxVB\qBZ 2wMb[lGSnyԚ~z9ZmያvoN2Afnݽjf>)j3 !;gOYʹK" Wftڎ+׭b*2ϻK>ۢӱeyԪXISUm[z+ugX%0lϏnvg!;t{BqPj>PyvR7Cj]O%+ݲ :qiMj6W}3vC/R=4Som]ŗ=ю, TF6U_-\6MyskwMr&Q\wjKܩyMϣUj0*}RZܷSdY3>Zjqj6TgzpA/M`/Cmл,޻feE[/+uk^Vs1W$G(JsW2ٰu*߻q*Y޵.Wi:ur5T),=0uRmho.twܖiYwrWHntvEj8qhf`Ͻpf(R&>Ki%I7$QӖm-2 ~yߗQ-앑/ x[k8nw.c㩵k}]FkbJl:{.(˩n0Hqvαp7 귎.Gupx[N`Yq'+ruU7[ү+>!xrȫoSo]OC# d^Q]\>!ƛGw^Mx"-+%vdX-:M2UR%d>%l ioSu6lsj7D P>XxHz Ukà(n^Q V>5cVtWj SEiJdznyej[lE' 3kuٌNn4JW)gB {4 j6&]' m-(ZMEz8cz>WZ6#7+[,MR-Z!4ܓtCyE|umj1ƽvƷV\;%>Q :#Le(iVz5 4ũۤUWxX ^(ҔsլB2w-V ^R+; ˂M\z+Uwr+RWY⺧~ Q*JcYSNSλUd8in=v K낫k\IRרSUaCFmϿ5̗P|u ZTԕ}>oYѲ1sfP+sQkX8Gb~6r,s>^\,mGL+7[n-E\.Fqḕcl*Jmjb5 ,m]c}NXfeVlǸJ5eˡ$4%g~N p4Y*WwW٧<8v#;qԩTut,m"#Y D\5V`\\Lȋ];LȇiS6ϝZ l>LruR\v=ǘϔDg=ԈdFZ+M{=|,[;0>RiSi4,S5}yxw&(E7&fݙ4UՕ! ~'Id)]ǽu2K-fޭ \08Vڅ쓬=Vy^^ IhyKR-B#Ըr=]mܻӾ'*Umkoy rTqT_i,/8Q^<ݤ|4ԻO(܄"'5N~#m.(Ҿ2i6Uev&I*<}҄$eNtÛzyWJubW^iBW.܅Wڮg]irO6Ve90sgv.+sV޿aޔ[p?3q*FutUo*eL\KM'EG*ZcAFfG5J 5jj=MJ3OK:k˝'NMB7m3uFҕ\-Ywg%PRqMIyZGY9|μvn߻5cWݷa^+X֥vnݘ\v7m>Fgzv"-;Ew֝}1|RjN𿊀7g#֟*GQQ|#/bo]p$>_Un9гUbn9׃ErQBU-^vDmVh'<R[fdHT]*~}3j;nvjc7s-rӳ Y8[n[1pJx kX[Jk9Mn!_Nю6x:iZ˦U |߉^Ԛ݃hYxk &U^bwKk.[jE+P(˞=9j@snCv7%c_7=xǁ<l {t'酚+1F‹l׭:ݻILruǶkL-L(K0L1&>wXB(pm;1fpnlp֓%Skidkt(U +xulo'/ڕeN r=^pZZ:Pnj8Hf"48ijY[ N[yZٻ+=  ø:3 ?^ܷ^Sr#YK[UF?CuhC b]GM')mڏsNrܗI]ljq6VB. W,UK"YX5{c >Iqā> T:n!,5l2VzCl|+I[*SrjnS6٨y+x,@>П.g+!rn9>N|W>OZT_ut Y""v7|sfި;Pclm EùN,{'fNT%U&LfH8~1v>Il}统u6P˗c(WV~H^bMU.o*oOF0N:_:6Smr_.b+|ݶYY غF,mwjv>f*>QM뭱Sd:`N{l/⎱;n-z~"Gze퇎J5S KG9!Gn;N1 ݎ h6m|S?ɂ5'WOÞ 7|7^ao @mxGmi^jϽ>01Mf0լD3-2T. VXR"ɥV Kl J O7|u?bvа;6.eߓ|[1bmRr,eRz`z 6܎-ͨku͹Fː dPhYgZUj}nvX;z=gVեTv_J }\1n7w2J?ޘγc\E 1Aޑzq;\r]]\Y&[nsNei\uURje*Qk2CSl*xJz-xٶlm+|UjUؓ`Ladqiĩ!Gd\W~fz;Tn*PdRM&T4`չSWq5k훶(N"Ӎ% V]֦wb.nUO!u*J&Oӕ2e|Z=eV쫚΅g#+/RW:طnbi*Wyo)p{:ETKؚR(RY+r웓r(IF) VmȵNB:h Q1ғ|u8E]{,'$-TR[j49l*3"I鯴zhd>Q+\BkNF=.$ZR4Nwհ(IpNi.(Gi33#33e$FXK*NdWrud[r{xnk$v2ıh+J1TQ[#JQl[tRO]LHKٮ NӍnF񨔤֞Em'MILB"ԋ%dBŋ+p̿_17jzT~4pc Vo\ƹb9Rq-'1j;8ܗ)hE%DZKS<璸Bu*%*Yw5ڻ9ۣ^z4U; Ñk\U(o~G?VUĎ:?P?_F_Kߤ~ᓾI |pr.Ok\SklRhҪz{­P .}SktZ7UQ4ڌIM8̈eaӊJZ%FFZu,KZvln廐SNFIVtuNi?CM5]+Ph,{jN JSR$IS^tSUVrORYu.9WyP6 [Kiu m!X|]Y79ӄ)\ģ)pbڳr%*&ꑶ_-H*dzk)1 V3')UAϹٶWRxe'պn۫h7AR9 EAJeGLms!%D| A 5]/Q3eb̄vnVn%za\m kZnv([emqrIҕij|""><hjJשvvǕ|Pޟs}V~2&Z?+2N&Z4w@)4iSڪ_>/JN9Hiۏuf8'It[ȲR.hZ$ȋ_Y ~U<UUO*6b)Ovzڜj\R̋.$FsQuҊj^נ䈈y<zZIuP[}Qm=C?zN(Exqu/kn S-FzKZzOסӽjJ\)F3b!r5ٝ|;6 o=-3*λ]αb\abqRi-w޵⦪~b8Kpo)Z=>)ғ"5/GTZLE-輵f7ݘ۹~+&+w/7GFI:l33fg.N~۲\2|*cnermnnM+Fq"ѪIz%j =YW8@~gc/~?N'?)«qȸs➟n=k" X“m֮VreMh2[uݖ] *FܖN)MȐ`f0 g,C9̑o;ddudJ=In13:ݒvvdMUEJLp^,6t-@͐9'{7m{-3,>hnF;ѰM)->>+Ěz!R* :`e--m7nB\u{b U>[8֪]6^ߤLʦ\DFNo$$dͶlgno8OrsQ\l̯hRo8tuNo+ CTxu!2[>ctFpeޓƻֶR"3QrQuOѳgwQr;S~)6HhZw/GgVTmUf_yt7%$];zLWF̰xy2Ʉu!MCmš_0[W6jf#a-KLi+3Q7c^qg%s<1aYIQeZf+}>;S6L0]Yu_h9߻<ƅpmiM$AVvŚ,*#t2.8Y)-Zhshü97/#Oro"u^/uFgWɺ,p:6a,^x%$Yve^3PƗMnTP&yS}OJ '덫MH^:rXԴJۋ/rI;S*,+yz1hv)Qw^ڍJ2oL׊q(\fDj:^T%vOadɂnS}ZO)N*λdaȜkG_PIEO}нa(^iQX᯦-7^)%g'SJx(.S9zVɴZ{E ))ۅi/s7 VIV-|sj0*UBTHIqRf>FP$KqN0 R̻8j\GcC}IUz\i 6F)Q{Gҧ3qSzKj-Az VЛS-zy:8*mNk|D鿓ND2u+0Yŝ7kqm·?8Ib]u>˗^_>(]vӋzv+ݩ){vZrJ2RQ몋C$z [,pp,8mڊbR]Il .f~d/ݓs㓓mͶ{mgjQwn=Oic9ܚm4Q/6ݨ[TƧ?nԶoytf{@AzT{e{[O'ZRZt~AGD?s3􌿂ՉIw'|~U\ w~di:Kޱ)U/sU%njѩ&GSP^ǝd)..!^U` 1wX[aԇSxoFV6_扐)T 2Mfd=ۖͭiZ7KK Bi9%7@<3<ճԻU,},a}FRqɛr i@ONJvK KLN M, ʖv0n-]DwlI-X6ܶ$Jʴh5O+mOI+Ra瞠\ MG7BفjYo1#͖0V`Ѱ2M?c8>-Crt*JkIGS:e#hPKx[鱼>{5m;wcն&>j-M֥^َ) 6yȜl_w{-ō̱r> U=]iw3)r*]:K]6BdCTZ|>gf}LW}[$'Y5 &c -j.z6R 67MԷFMnÌwI7w5E}o޽+K ֵy4܌ȥW"COyR[q5Ӱ͙f[v"_#q{MV6܍3"u9BK(41ӯqˇc${ߝCi6I(OmθzҜ5k^:>Jzw.>qV8{vU[ڶEm|DžBz].KHjI]x;Mɗ{m,qZXr忇2u^RO2Z}ZێS[2Jen!*NDcrBUً4<ǼMҲs1Zw57c3&ĖڻzmP*FuJG1-dN:|OU}ҵgi2t~F^^Z.VxjvŧnNNh<:]^~NN+ge^g.SԔGFe߯'[vn'(ScJ]kܗ7eJOlRrfziݮq̋S"\*U<*W]k$FջV}? 7g#֟*GQQ|#/bo]p$>_Un9;l S VvQU%OLU{οmU6bZ1MTx%!֙Q7, J=!3 ;Q,ڌ;6ͱ݅q^&ߔ·n #WbwӖX.HtG)N&d̵zpI,n cu ޖUj+VXUp[w]N o.J6Z8Ts&utxln;~HPHS/xw`G\ʡ¿rj Z^vt"[L:SD\h0sUwR,}[x^X,R2Vn< ]2YDr[SRKs8tXb̷G?Ps Tv 3be,zVz D[/I.KOEQrm'$7|[J>r S`5յwT#\w1FTz\Ԛ &"ׅhSHrD\'r]~/>p;:Piuu:"9ő=tTaS7V2rӷk7mb[^WmPp*[y.Þ6f]cizJCgRR@UVl큝.WJP1N{/\whZ ػϧӱE7|E֫Sί.x-Y&pi%v''-x6r'Ws*6=DwwUu]=C?MK [yrtܒG$!WGqJ*%SAz ED[^)/tė/g=#Omd.|^n/sl׉g DZqemqowݮRzUܜ=ڽ-o/Iۖ;qVʘgPp|mm;6zGl9.8pwWgsJ2qPbe}}UpNjٯ}7TMQKrؽtEx%v w߾8%|j;~|}pK]ơ/ w߾8%|j;~|}pK]ơ/ w&~e_H 8PL7:%ʭ5Kw&U2vwR_+rm'}C7#rWoO&HoG?M$UR7{FU]u ;# !Wk`|W>׹潇9Vn)6)*ҹ{%qV4q>W1vi#T"Qk&GwxcJBJ- Ϸ^ˁxkU}ԣ/3.;]J=<*)cS)ROK9H=,r zX @)cS)Da^ԽQ gxJI=w֣gf*TRj

#E-mail: sanghyeok.ahn@lignex1.com, TEL: +82-31-8026-4686
• Received: July 11, 2019   • Revised: December 12, 2019   • Accepted: December 16, 2019

Copyright © The Korean Society for Precision Engineering

This is an Open-Access article distributed under the terms of the Creative Commons Attribution Non-Commercial License (http://creativecommons.org/licenses/by-nc/3.0) which permits unrestricted non-commercial use, distribution, and reproduction in any medium, provided the original work is properly cited.

  • 97 Views
  • 0 Download
  • 1 Crossref
  • 1 Scopus
prev next
  • In this study, pyrolytic graphite was applied to overcome the conventional cooling system. Pyrolytic graphite is an anisotropic material with high thermal conductivity in the X-Y direction and low thermal conductivity in the Z direction. The advantage of high thermal conductivity in the plane direction is applied to improve the performance of the cooling capacity transceiver module housing made of aluminum. In comparison with the housing using the aluminum, the housing applied to the PGS plate shows a higher cooling performance on the average temperature of chips and the temperature variations by 2.79% and 49.98%. The heat dissipation performance was investigated according to the thickness of the PGS and the via the shape. When the factor of thickness in PGS plate was “0.375”, the average temperature of the chip was the lowest, and the temperature variation decreased due to increasing the factor of thickness in the PGS plate. In the case of the via shape, the “separation plate” showed the lowest average temperature of chips and the “plate” showed the lowest temperature variation.

ρ

Density

t

Time

u

Velocity

p

Pressure

x

Unit volume

τ

Tensor

q

Heat flux

e

Internal energy per unit volume

S

External force per unit volume

QH

Heat generation unit volume

T

Temperature

h

Enthalpy per unit volume

Ft

Factor of thickness

Cp

Specific heat

PGS

Pyrolytic graphite sheet
최근 전자소자들은 성능 향상을 위하여 소형화, 고집적화되고 있으며 이에 따라 높은 열 밀도를 지닌다. 이러한 추세에 따라 높은 열 밀도를 지닌 발열 부품에 대한 열적 안정성 또한 중요해지고 있다. 기존의 냉각 방식인 공랭식, 수랭식 이외에 상변화 물질을 이용한 Heat Pipe, 열전 소자 등을 이용한 방열 설계가 이루어지고 있다. 또한 신소재인 CNT (Carbon Nano Tube) 등을 활용한 연구가 활발히 진행되고 있으며, 이러한 동향에 따라 열분해 그라파이트(Pyrolytic Graphite)를 이용한 많은 연구가 이루어지고 있다. 실제 BOYD Corporation,1,2 Minerals Technologies3 등의 제조사에서는 열분해 그라파이트를 활용하여 방열 성능을 크게 높인 제품들을 제작하고 있다.
일반적으로 열분해 그라파이트는 취성 재료이기 때문에 파괴에 취약하다는 단점을 지니고 있다. 그에 따라 기존에 사용되는 일반적인 금속 재료들인 알루미늄, 구리 등 내부에 삽입하여 사용하게 된다. 내부에 삽입하여 금속과 그라파이트를 접합할 때 일반적으로 2가지 방법을 사용하게 된다.
첫 번째는 일종의 접착 본드 역할을 하게 되는 Filler를 적용하여 접합하게 된다.4,5
두 번째는 내부 Filler를 적용하지 않고, 진공 상태에서 Diffusion Bonding을 이용하는 Vacuum Hot Pressing 공정을 사용하게 된다. Diffusion Bonding은 Fig. 1과 같이 이종 재질의 금속 재료를 밀착시켜 접합 면에서 원자의 확산을 이용하여 접합하는 기술이다. 내부의 기공, 균열 등이 없다는 특징을 지니고 있으며 재료의 열화 또는 열 응력 등에 의한 변화가 없다는 특징을 지니고 있다.6-10
Fig. 1

Process of diffusion bonding (Chaturvedi)6

KSPE_2020_v37n2_99_f001.jpg
열분해 그라파이트는 열전도율이 이방성 특성을 지닌 재료로써 평면 방향으로의 열전도 계수가 약 1200-1800W/m-K로 높은 열전도 계수를 지니고 있다. 따라서, 기존 히트 싱크 등을 제작할 때 사용되는 금속 소재인 알루미늄이나 구리에 비해 4-8배 이상 우수한 특성을 보인다. 반면, 두께 방향으로의 열전도 계수는 5-7W/m-k정도로 매우 낮다.11 이러한 특징을 지닌 그라파이트에 대한 연구는 두께 방향의 낮은 열전도율을 극복하기 위하여 Via를 적용하거나, 그라파이트의 형상 변화에 따른 영향성 등에 대한 많은 연구들이 진행 중이다. Sabatino12는 평판 히트 싱크의 중심부에 발열 소자를 적용한 연구를 진행하였다. 히트 싱크의 재질을 알루미늄과 열분해 그라파이트를 적용하여 비교하였다. 열분해 그라파이트를 적용하였을 때 열전도율 및 중량, 크기에서의 이점이 있다고 설명하였다. Tilford13는 Highly Oriented Pyrolytic Graphite (HOPG)를 적용하는 연구를 진행하였다. HOPG 적용 플레이트 위에 발열 소자 4개를 적용하였으며 방열 경로를 전도로만 수행하였다. HOPG, 알루미늄 등의 금속을 플레이트에 적용하여 최대 온도를 비교하였다. Fan14은 Momentive Inc.의 Thermal Pyrolytic Graphite (TPG)를 적용하였다. LED 헤드라이트의 히트 스프레더와 히트 싱크에 적용하여 비교하였고 LED 동일 출력 대비 발열 온도를 3.0-5.9°C 감소시켜 성능을 향상시켰다. 그 외에도 그라파이트를 적용한 다양한 연구들이 이루어지고 있다.15-19
본 연구에서는 기존 송수신 모듈의 알루미늄 하우징과 수 μm 단위의 PGS의 적층 구조가 포함된 알루미늄 하우징의 열적 특성을 수치 해석적으로 분석하였다. 또한, PGS의 두께에 따른 영향성 및 Via 적용에 따른 열적 특성도 분석하였다. 수치 해석은 범용 CFD Code인 ICEPAK 19.1을 사용하였다.
2.1 해석 모델
본 연구의 해석 모델은 실제 3차원 능동위상배열 레이더에 적용된 안테나 송수신 모듈이며, 주요 발열 소자 및 PCB의 형상과 물성치는 제조사에서 제공된 정보를 적용하였다. 송수신 모듈의 형상은 Fig. 2와 같으며, 그에 대한 해석 모델의 자세한 크기 및 주요 발열 소자 위치 정보 및 하우징, PCB, PGS의 두께는 Fig. 3과 같다. 소자의 형상은 Fig. 4이며, 발열 소자의 자세한 형상 정보는 Table 1과 같다. 주요 발열 소자의 발열량은 2.3 W이다.
Fig. 2

Figure of analysis area and geometry

KSPE_2020_v37n2_99_f002.jpg
Fig. 3

Size of analysis components

KSPE_2020_v37n2_99_f003.jpg
Fig. 4

Configuration of RF Chip

KSPE_2020_v37n2_99_f004.jpg
Table 1

Data of RF Chip

Table 1
Symbol Values (mm)
Min Max
A 2.35 3.00
A1 0.40 0.60
A2 0.65 1.00
D/E1 27.00
D1/E 25.00
e 1.00
Øb 0.50 0.60 0.70
aaa - - 0.20
ccc - - 0.25
해석에 사용한 PGS의 정보는 Minerals Technologies사의 Heat Spreader 소재인 열분해 그라파이트를 적용하였다.3 사용한 PGS의 물성치는 Table 2와 같다. 해석은 자연 대류의 Steady-State 조건에서 수행하였다. 또한, 해석 격자에 대한 격자 테스트를 진행하였다. 전체 해석 영역 기준 Grid의 수를 500만-1000만개 적용한 결과 720만개의 Grid를 적용하였을 때 약1.9%의 오차를 포함한 Grid-Independent를 보였다.
Table 2

Property of PGS

Table 2
Property Values Units Symbol
Density of PGS 2235 kg/m3 ρPGS
Specific heat of PGS 762.5 J/kg·K Cp
Thermal Conductivity of PGS 1659.3 W/m·K kx = kv
6.5 W/m·K kz
Vacuum Hot Pressing 공정은 서로 다른 이종 재질 접합 시 사용되며, 일반적인 Brazing 공정과 달리 접합 시 필요한 Filler가 포함되지 않는다.
따라서 본 연구에서는 수치 해석 시 알루미늄과 PGS간 Filler에 의한 접촉 저항과 Delamination에 의한 공기 층의 접촉 저항은 고려하지 않았다.
2.2 지배방정식
수치 해석에 사용된 지배방정식은 일반적인 형태의 질량, 운동량, 에너지 보존방정식으로 각각 식(1)부터 식(3)과 같다.
(1)
ρt+xiρui=0
(2)
ρuit+xjρuiuj+ρxi=xjτij+τijR+Si
(3)
ρHt+ρuiHxi=xiujτij+τijR+qi+ρt-τijRuixj+ρe+Siui+QH
위 식의 ρ, u, p는 단위 체적당 유체의 밀도, 속도, 압력이며, 식(2)의 S는 유체에 작용하는 단위 체적당 외력이다. 식(3)의 H = h + u2/2로 단위 체적당 엔탈피와 운동에너지의 합, τ는 점성 전단응력 Tensor, q는 열 유속, e는 내부에너지를 의미한다. 또한 QH는 열 생성항이며, τR는 난류 변동으로 인한 운동량 유속이다. 따라서, Reynolds 응력에 대한 Tensor를 의미하며, 이 항은 층류 유동에서는 무시된다.
고체 영역의 열전달 방정식은 다음 식(4)와 같다.
(4)
ρet=xikiTxi+QH
위 식의 T는 온도를 의미하며, k는 열전도도를 의미 한다. 열전도도 텐서인 k는 등방성 재료일 때 모든 방향에 따라 같지만, PGS는 이방성 재료로 평면 방향의 값만 같고 높이 방향의 값은 다르다.
2.3 해석 조건
해석 조건은 총 3가지이다. Case 1은 Fig. 5와 같이 알루미늄 하우징과 하우징 내부에 PGS 적용 유무에 따른 방열 성능을 비교하고자 한다. 또한, Case 2는 Fig. 6과 같으며 PGS의 두께 대한 방열 성능을 비교한다. 특히, Case 2의 경우 식(5)를 사용하여 하우징의 알루미늄 대비 PGS의 두께를 무차원 정의했다.
(5)
ft=tPGStAl
Fig. 5

Configuration of case 1

KSPE_2020_v37n2_99_f005.jpg
Fig. 6

Configuration of case 2

KSPE_2020_v37n2_99_f006.jpg
따라서 ft는 0.125, 0.25, 0.375, 0.5를 적용하며, Case 3은 Via 형상에 대한 영향을 비교하였다. 세부 형상은 Fig. 7과 같다. Via 형상 인자로는 일반 평판, 평판을 8개로 분할 적용 및 분할 형상에 원형 Via 적용 및 주 발열 소자와 동일한 형상의 Via 적용의 경우로 총 4가지 형상이다.
Fig. 7

Configuration of case 3

KSPE_2020_v37n2_99_f007.jpg
3.1 PGS 적용 유무 비교
Fig. 8은 알루미늄 하우징과 PGS가 적용된 하우징의 온도 분포이다. Figs. 8(a)8(b)는 발열 소자인 R F Chip이 부착되는 PCB의 온도 분포이며, Figs. 8(c)8(d)는 PCB가 놓여지는 하우징의 온도 분포이다.
Fig. 8

A comparison of the temperatures between the aluminum and PGS

KSPE_2020_v37n2_99_f008.jpg
4개의 발열 소자 각각의 평균 온도 중 가장 높은 온도를 지닌 RF Chip의 온도는 기존 알루미늄 하우징의 경우 48.68°C, PGS 적용 하우징의 경우 47.32°C로 약 2.79% 감소하였다. 또한, PCB의 온도 분포 확인 결과, 기존 하우징 최고 온도는 49.43°C이며, PGS 적용 하우징의 경우 최고 온도는 48.04°C로 PGS 적용 시 최고 온도 대비 약 2.81%정도 감소 효과를 얻었다. 또한, PCB가 놓여지는 하우징의 경우, 기존 하우징 최고 온도는 48.14°C, PGS 적용 시 최고 온도 46.58°C로 약 3.24%, 또한 최고 온도와 최저 온도의 차이 정도인 온도 편차는 각각 5.13, 2.56°C로 약 49.98%의 감소 효과를 얻었다.
이는 PGS의 수평 방향으로 매우 높은 열전도 계수를 지니고 있기 때문이다. 따라서 PGS를 적용하게 되면 RF Chip의 발열할 때 고온의 열이 놓여진 PCB를 지나 하우징에 전달될 때 PGS의 평면 방향으로 빠르게 전도되며, 온도 편차 또한 감소하게 된다.
따라서 실제 장비 제작 및 적용 시 내부 발열 소자의 최고 온도 감소 및 장착되는 하우징의 온도 편차 감소로 인한 온도 균일화에 따라 평면 방향으로 방열 경로를 형성하게 되었을 때 더 큰 방열 효과를 기대할 수 있다.
3.2 PGS 두께 영향성 비교
4개의 발열 소자 중 가장 높은 RF Chip의 평균 온도는 Fig. 9와 같이 ft의 값이 0.375일 때 평균 온도 값이 46.8°C로 가장 낮았고, Fig. 11ft별 R F Chip 온도 변화를 보았을 때 ft값이 증가함에 따라 0.125-0.375 구간에서는 감소하며 ft가 0.375 이후에는 증가하는 거동을 보였다. 그에 반해 온도 편차는 ft가 증가할수록 감소한다. 하지만, ft가 0.5인 경우 온도 편차가 더 감소하지만 Figs. 910과 같이 ft의 값이 0.5인 경우 최저 온도 구간도 다른 값들에 비해 매우 높다는 점을 알 수 있다. 이는 PGS의 높이 방향의 열전도율이 매우 낮고 평면 방향에서의 열전도율이 매우 높기 때문에 발생하게 된다. ft값이 증가하게 되면 두께 증가로 인하여 높이 방향의 열 저항이 변하게 되는데 ft값이 0.375보다 크게 되면 평면 방향의 열전도 영향보다 높이 방향으로는 열 저항의 증가 영향이 더 커지게 되어 RF Chip의 발열량을 제거하지 못하게 된다. ft가 0.375보다 작은 경우에는 전체 알루미늄 하우징 대비 PGS의 두께가 차지하는 비율이 작기 때문에 높이 방향으로 단열 효과를 보이는 영향보다 알루미늄 하우징으로 열 에너지가 전달되어 더 고른 온도 균일도 효과 및 RF Chip의 온도를 낮추게 된다.
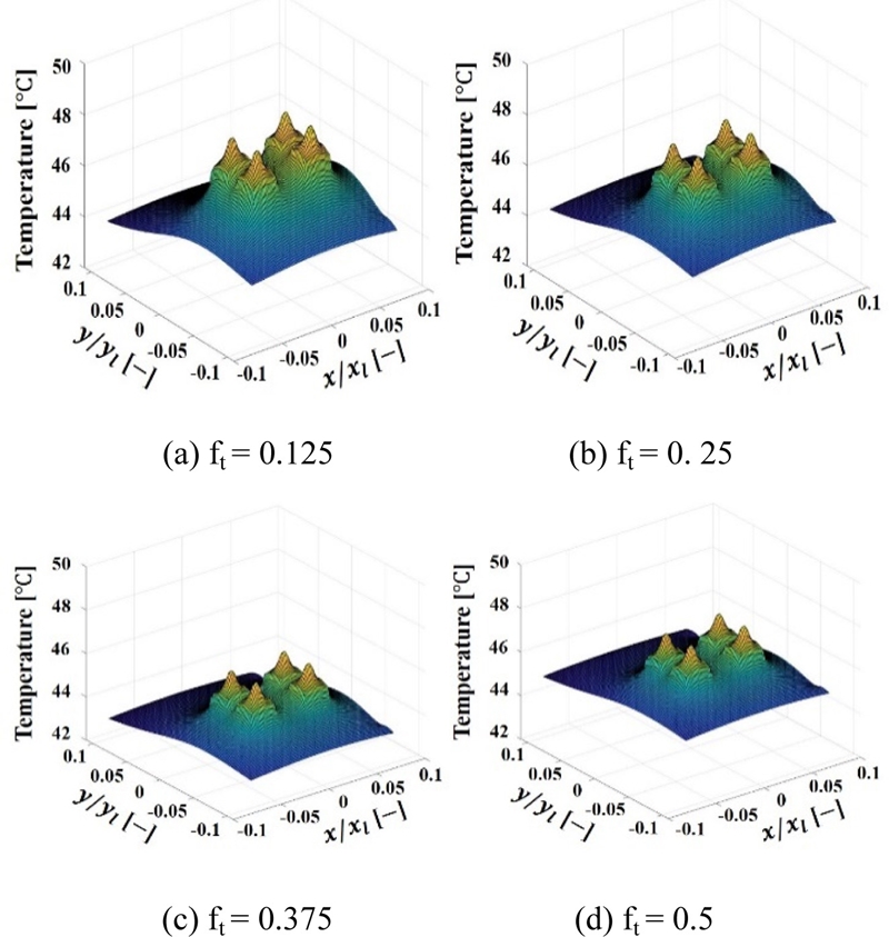
Fig. 9

Variations of the PCB temperature according to the factor of thickness

KSPE_2020_v37n2_99_f009.jpg
Fig. 10

Variations of the housing temperature according to the factor of thickness

KSPE_2020_v37n2_99_f010.jpg
Fig. 11

Variations of the chip temperature and the temperature variation according to the factor of thickness

KSPE_2020_v37n2_99_f011.jpg
따라서, PGS를 적용함에 있어 실제 제작되는 형상에 최적의 성능을 위하여 목표 발열 소자의 온도 이외에도 냉각 성능 향상을 위한 온도 편차 감소를 위한 PGS의 두께 최적화가 필수적이다.
3.3 Via 형상 영향성 비교
Via 유형에 따라 발열 소자 4개중 최대 평균 온도는 Fig. 12와 같으며 온도는 45.4°C이다. Fig. 7의 PGS를 8개로 분할하여 적용한 경우이다. 또한, 온도가 최대인 경우는 평판 형상을 적용한 경우로 최고 온도 47.32°C이다. 최대 및 최저 온도의 차이인 온도 편차의 경우, Fig. 14와 같이 평판 형상을 적용하였을 때 2.56°C로 가장 낮았다.
Fig. 12

Variations of the PCB temperature according to the via types

KSPE_2020_v37n2_99_f012.jpg
Fig. 13

Variations of the housing temperature according to the via types

KSPE_2020_v37n2_99_f013.jpg
Fig. 14

Variations of the chip temperatures and the temperature variation according to the via types

KSPE_2020_v37n2_99_f014.jpg
이는 PGS의 평판 형상은 평면 방향으로는 열전달 계수가 높다는 장점을 지니고 있으나, 높이 방향의 열전달 계수는 매우 낮다. 이러한 원인으로 Fig. 15와 같이 평면 방향으로 열전달은 크지만, 높이 방향에서는 열전달이 상대적으로 작다. 소자의 온도가 가장 낮은 경우인 PGS를 8분할한 형상의 경우 중간 틈에 알루미늄이 채워져 있어 높이 방향으로 열에너지를 전달해주는 Thermal Via의 역할을 수행하여 높이 방향의 열전도율이 낮다는 단점을 보완하게 된다. 그 반면에 다른 형상의 Via들은 다시 온도가 증가하는 추세를 보인다. 특히, Fig. 14에서 PGS에 Circular Via를 적용한 경우 내부 PGS에 적용된 Via의 수량이 많아 높은 평면 열전도율을 지닌 PGS의 열전도를 방해하는 일종의 저항 역할을 하게 된다.
Fig. 15

A comparison of the temperatures between the aluminum housing and PGS applied housing

KSPE_2020_v37n2_99_f015.jpg
Fig. 14의 온도 편차는 평판 형상을 적용한 경우가 가장 좋았지만 전체적으로 높은 온도를 지니고 있다. 이는 두께 영향성과 같은 원인으로 평면 방향으로만 열전달을 시키기 때문이다. 온도 편차 측면에서는 기존 PGS 평판 형상 적용보다는 온도가 낮고 편차의 정도가 낮은 Via의 형상이 Chip형상과 같은 경우가 가장 적절하다고 판단된다.
따라서 PGS의 단점인 높이 방향의 낮은 열전도율을 극복하기 위한 Thermal Via 적용은 하우징의 방열 패스 등을 고려하여 형상 및 수량을 최적화 적용하여야 한다.
본 연구에서는 능동위상배열 레이더에 실제 제작되어 적용되는 송수신 모듈과 동일한 형상을 갖는 하우징에 대하여 방열 성능 향상을 위해 알루미늄과 PGS를 Hot Pressing한 하우징의 방열 성능을 수치 해석적으로 분석하였다. PGS는 평면 방향의 열전도율이 높고 높이 방향의 열전도율이 낮다는 장단점을 지니고 있다. 이러한 장단점을 이용하기 위하여 기존 알루미늄으로 제작된 하우징 내부에 PGS를 적용하였다. 또한, 적용하는 PGS의 두께 변화와 높이 방향 열전도율 증가를 위한 Via 형상에 따른 영향성을 수행 및 검토하였다.
(1) 알루미늄 하우징과 PGS 평판을 적용한 하우징을 비교한 결과 R F Chip 평균 온도는 약 2.79% 감소, 하우징의 최고 및 최저 온도의 차인 온도 편차는 약 49.98% 감소하였다.
(2) PGS의 두께에 따른 영향성 검토 결과 ft = 0.375일 때 RF Chip 평균 온도가 46.8°C로 가장 낮았으며, ft의 값이 0.375보다 이하인 경우 ft가 증가함에 따라 RF Chip의 평균 온도가 감소하고, ft가 0.375 이상일 때 RF Chip의 평균 온도가 증가함을 확인하였다.
(3) ft = 0.5일 때 하우징 온도 편차는 1.83°C로 가장 낮았고, ft가 증가함에 따라 온도 편차가 감소하는 거동을 보였다.
(4) Via의 형상에 따른 영향성 검토 결과 PGS를 8개로 분할 적용하였을 때 Chip평균 온도는 45.4°C로 가장 낮고, 평판 형상을 적용하였을 때 하우징의 온도 편차가 약 2.56°C로 가장 낮았다.
이와 같이 PGS의 방열 특성을 이용하면 다른 전자 구성품의 하우징 적용이 가능할 것으로 판단된다. 향후 실험적인 방법을 통해 검증이 필요할 것이다.
  • 1.
    BOYD Co., “K-Core® Graphite Technology,” https:// https://ko.boydcorp.com/thermal-management/k-core-graphitetechnology.html (Accessed 8 JAN 2020)
  • 2.
    BOYD Co., “Aavid Thermacore,” https://ko.boydcorp.com/thermacore.html (Accessed 8 JAN 2020)
  • 3.
    Minerals Technologies Inc., “Pyrolytic Grphite,” https://www.mineralstech.com/business-segments/minteq/pyrolytic-graphite (Accessed 8 JAN 2020)
  • 4.
    Minerals Technologies Inc., “High Performance Pyrolytic Graphite Composite Heat Spreaders,” https://www.mineralstech.com/docs/default-source/refractories-documents/pyrogenics/pyroid/high-performance-pyrolytic-graphite-composite-heat-spreaders.pdf?sfvrsn=50359b20_2 (Accessed 8 JAN 2020)
  • 5.
    Fan, W., Liu, X., and Mariner, J., “Thermal Pyrolytic Graphite Composite with Coefficient of Thermal Expansion Matching for Advanced Thermal Management,” Proc. of the International Microwave Symposium Digest, pp. 1-3, 2012.
    10.1109/MWSYM.2012.6259582
  • 6.
    Chaturvedi, M. C., “Welding and Joining of Aerospace Materials,” Elsevier, 2011.
    10.1533/9780857095169
  • 7.
    Tanabe, J., Sasaki, T., and Kishi, S., “Diffusion Bonding of Ti/ Graphite and Ti/Diamond by Hot Isostatic Pressing Method,” Journal of Materials Processing Technology, Vols. 192-193, pp. 453-458, 2007.
    10.1016/j.jmatprotec.2007.04.014
  • 8.
    Arhami, F., Mirsalehi, S. E., and Sadeghian, A., “Effect of Bonding Time on Microstructure and Mechanical Properties of Diffusion Brazed IN-939,” Journal of Materials Processing Technology, Vol. 265, pp. 219-229, 2019.
    10.1016/j.jmatprotec.2018.10.021
  • 9.
    Assari, A. and Eghbali, B., “Solid State Diffusion Bonding Characteristics at the Interfaces of Ti and Al Layers,” Journal of Alloys and Compounds, Vol. 773, pp. 50-58, 2019.
    10.1016/j.jallcom.2018.09.253
  • 10.
    Eergyn Extreme Technology, “Diffusion Bonding Tech Outsourcing,” https://www.energyn.com/25?category=593448 (Accessed 8 JAN 2020)
  • 11.
    Heusch, C. A., Moser, H. G., and Kholodenko, A., “Direct Measurements of the Thermal Conductivity of Various Pyrolytic Graphite Samples (PG, TPG) Used as Thermal Dissipation Agents in Detector Applications,” Nuclear Instruments and Methods in Physics Research Section A: Accelerators, Spectrometers, Detectors and Associated Equipment, Vol. 480, Nos. 2-3, pp. 463-469, 2002.
    10.1016/S0168-9002(01)01208-6
  • 12.
    Sabatino, D. and Yoder, K., “Pyrolytic Graphite Heat Sinks: A Study of Circuit Board Applications,” IEEE Transactions on Components, Packaging and Manufacturing Technology, Vol. 4, No. 6, pp. 999-1009, 2014.
    10.1109/TCPMT.2014.2314618
  • 13.
    Tilford, T., Cook, A., Lu, H., Ramambasoa, A., and Conseil, F., “Numerical Analysis of the Performance of Highly Oriented Pyrolytic Graphite Heat Spreader in Thermal Management of Microelectronics Assemblies,” Proc. of the 5th Electronics System-Integration Technology Conference, pp. 1-6, 2014.
    10.1109/ESTC.2014.6962815
  • 14.
    Fan, W., Galestien, E., Tomek, C., and Manjunath, S., “Doubling the Output of Automotive LED Headlight with Efficient Cooling Using Thermal Pyrolytic Graphite,” Proc. of the 15th IEEE Intersociety Conference on Thermal and Thermomechanical Phenomena in Electronic Systems, pp. 180-184, 2016.
    10.1109/ITHERM.2016.7517547
  • 15.
    Chung, D. and Takizawa, Y., “Performance of Isotropic and Anisotropic Heat Spreaders,” Journal of Electronic Materials, Vol. 41, No. 9, pp. 2580-2587, 2012.
    10.1007/s11664-012-2177-4
  • 16.
    Annika, B., “Design of Graphite Heat Spreaders for Avionics,” http://www.diva-portal.se/smash/get/diva2:542590/FULLTEXT01.pdf (Accessed 8 JAN 2020)
  • 17.
    Boadu, E. O. and Lin, Y., “Thermal Analysis of Laminated (Copper-Graphite) as Heat Spreader Material,” American Journal of Engineering Research, Vol. 3, No. 5, pp. 36-47, 2014.
  • 18.
    Monier-Vinard, E., Nguyen, M. N., Laraqi, N., Bissuel, V., and Daniel, O., “Steady-State Temperature Solution for Early Design of Annealed Pyrolytic Graphite Heat Spreader: Full Results,” Proc. of the 15th IEEE Intersociety Conference on Thermal and Thermomechanical Phenomena in Electronic Systems, pp. 945-953, 2016.
    10.1109/ITHERM.2016.7517647
  • 19.
    Li, R., “Optimization of Thermal via Design Parameters based on an Analytical Thermal Resistance Model,” Proc. of the 6th Intersociety Conference on Thermal and Thermomechanical Phenomena in Electronic System, pp. 475-480, 1998.
Sang Hyeok Ahn
KSPE_2020_v37n2_99_bf001.jpg
Senior researcher in LIG Nex1.received his M.S in 2016 at School of Mechanical Engineering in Sejong University. His research interests include computational fluid dynamics and heat transfer and fluid mechanics.
Sung Hwan Yim
KSPE_2020_v37n2_99_bf002.jpg
Chief researcher in LIG Nex1.master in the Department of Mechanical Engineering, Yonsei University. His research interest is computational fluid dynamics and heat transfer.
Jun Woo Park
KSPE_2020_v37n2_99_bf003.jpg
Senior researcher in LIG Nex1.master in the Department of Mechanical Engineering, Hongik University. His research interest is computational fluid dynamics and heat transfer.
Young Eun Ra
KSPE_2020_v37n2_99_bf004.jpg
Chief researcher in LIG Nex1.master in the Department of Mechanical Engineering, Yonsei University. His research interest is computational fluid dynamics and heat transfer.

Download Citation

Download a citation file in RIS format that can be imported by all major citation management software, including EndNote, ProCite, RefWorks, and Reference Manager.

Format:

Include:

A Study of the Thermal Effectiveness of Pyrolytic Graphite Sheet in the Transmit Receive Module Housing
J. Korean Soc. Precis. Eng.. 2020;37(2):99-106.   Published online February 1, 2020
Download Citation

Download a citation file in RIS format that can be imported by all major citation management software, including EndNote, ProCite, RefWorks, and Reference Manager.

Format:
Include:
A Study of the Thermal Effectiveness of Pyrolytic Graphite Sheet in the Transmit Receive Module Housing
J. Korean Soc. Precis. Eng.. 2020;37(2):99-106.   Published online February 1, 2020
Close

Figure

  • 0
  • 1
  • 2
  • 3
  • 4
  • 5
  • 6
  • 7
  • 8
  • 9
  • 10
  • 11
  • 12
  • 13
  • 14
A Study of the Thermal Effectiveness of Pyrolytic Graphite Sheet in the Transmit Receive Module Housing
Image Image Image Image Image Image Image Image Image Image Image Image Image Image Image
Fig. 1 Process of diffusion bonding (Chaturvedi)6
Fig. 2 Figure of analysis area and geometry
Fig. 3 Size of analysis components
Fig. 4 Configuration of RF Chip
Fig. 5 Configuration of case 1
Fig. 6 Configuration of case 2
Fig. 7 Configuration of case 3
Fig. 8 A comparison of the temperatures between the aluminum and PGS
Fig. 9 Variations of the PCB temperature according to the factor of thickness
Fig. 10 Variations of the housing temperature according to the factor of thickness
Fig. 11 Variations of the chip temperature and the temperature variation according to the factor of thickness
Fig. 12 Variations of the PCB temperature according to the via types
Fig. 13 Variations of the housing temperature according to the via types
Fig. 14 Variations of the chip temperatures and the temperature variation according to the via types
Fig. 15 A comparison of the temperatures between the aluminum housing and PGS applied housing
A Study of the Thermal Effectiveness of Pyrolytic Graphite Sheet in the Transmit Receive Module Housing
Symbol Values (mm)
Min Max
A 2.35 3.00
A1 0.40 0.60
A2 0.65 1.00
D/E1 27.00
D1/E 25.00
e 1.00
Øb 0.50 0.60 0.70
aaa - - 0.20
ccc - - 0.25
Property Values Units Symbol
Density of PGS 2235 kg/m3 ρPGS
Specific heat of PGS 762.5 J/kg·K Cp
Thermal Conductivity of PGS 1659.3 W/m·K kx = kv
6.5 W/m·K kz
Table 1 Data of RF Chip
Table 2 Property of PGS