Skip to main navigation Skip to main content
  • E-Submission

JKSPE : Journal of the Korean Society for Precision Engineering

OPEN ACCESS
ABOUT
BROWSE ARTICLES
EDITORIAL POLICIES
FOR CONTRIBUTORS
REGULAR

국내 전력 부하패턴 불균형 완화를 위한 수소 기반 에너지 저장 시스템 용량 산정 연구

Estimation of the Capacity of Hydrogen-Based Energy Storage Systems toward Relieving the Imbalance of Electrical Load Pattern of South Korea

Journal of the Korean Society for Precision Engineering 2020;37(7):547-554.
Published online: July 1, 2020

1 숭실대학교 기계공학부

1 School of Mechanical Engineering, Soongsil University

#E-mail: taehyunpark@ssu.ac.kr, TEL: +82-2-820-0669
• Received: March 10, 2020   • Revised: March 23, 2020   • Accepted: April 13, 2020

Copyright © The Korean Society for Precision Engineering

This is an Open-Access article distributed under the terms of the Creative Commons Attribution Non-Commercial License (http://creativecommons.org/licenses/by-nc/3.0) which permits unrestricted non-commercial use, distribution, and reproduction in any medium, provided the original work is properly cited.

  • 33 Views
  • 0 Download
  • 2 Crossref
  • 1 Scopus
prev next
  • This study reports on the feasibility of applying polymer electrolyte membrane fuel cells (PEMFCs) system to an energy storage system (ESS). We modeled each constituting system to compute the overall efficiency of the ESS. As a result, it was verified that the power plants’ electric powering capability can be curtailed. The amount of reduction is equal to that of 2nd Gori Nuclear Power Plant currently under construction. We calculated that approximately 320.85 L/day·MW of hydrogen is produced on a national scale. Also, Seoul’s demand output power of PEMFC and the requisite area of sites to install the PEMFC system are approximately 236 MW and 59059 m2 respectively. This study can contribute to preventing the upsurge of the entire electric powering installed capability. Based on the present technology level, this study diagnoses the use of hydrogen-based ESS which will be introduced in the upcoming hydrogen economy period. Considering the water electrolysis by polymer electrolyte membrane water electrolyzers are currently at the beginning of commercialization and the energy density per mass of hydrogen is exceedingly high, we anticipate that the future of hydrogen base ESS’ effectiveness will reach greater levels than the analysis of this study.

η we

Water electrolysis efficiency

η fc

Fuel cell electrical efficiency

η other

Auxiliary unit efficiency

η t

ESS total efficiency

A1

Energy input water electrolysis

A2

Energy generated by PEMFC

Δg^

Gibbs free energy difference between products and reactants per mole

Δh^HHV

Enthalpy difference between products and reactants per mole higher heating value

V

PEMFC cell voltage

Vloss

PEMFC auxiliary device equivalent voltage

E thermo

PEMFC reversible cell voltage

λ

Stoichiometry rate

η act.

Activation voltage loss

η ohmic

Ohmic voltage loss

η conc.

Concentration voltage loss

a

Constant for Tafel eq.

b

Constant for Tafel eq.

j

Cell current density

j leak

Leak current density

ASRohmic

Area specific resistance

R^

Gas constant per mole

T

Temperature

α

Transfer coefficient

n

Electron count

F

Faraday constant

W aux.

PEMFC auxiliary units demand power

j sys

System PEMFC operating current density

V sys

System PEMFC operating cell voltage

h HHV

Hydrogen specific enthalpy

m

Hydrogen mass

E input

Power put in water elcetroysis

Hydrogen gas volume

R

Hydrogen gas constant per mass

p

Hydrogen gas pressure
전 세계적으로 온실가스, 대기오염 절감을 위해 신재생 에너지로의 전환 기류가 확산되고 있다. 현 정부는 2030년까지 재생 에너지 발전 비중 20%를 목표로 정책을 수립했으며 이에 따라 국내에서는 18년 총 3,324 MW 규모의 신재생 에너지 설비가 설치되어 운영 중에 있다.1 또한 한국 수소경제 활성화 로드맵 발표, 신재생 에너지 공급의 무화제도(Renewable Portfolio Standards, RPS), 신재생 에너지원에서 생산된 에너지 공급량에 가중치(연료전지: 2.0)를 곱하여 부여하는 신재생 에너지 공급 인증서(Renewable Energy Certificates, REC) 시행 등 관련 정책을 강하게 추진 중에 있다.
에너지 저장 시스템(Energy Storage System, ESS)에 대한 지원도 나날이 증가하고 있다. ESS 특례 요금제, 재생 에너지 연계 ESS의 전기 판매가격 상승, 공공기관 ESS 설치 의무화 등 정부의 ESS에 대한 각종 지원 정책으로2018년 상반기 설치된 국내 ESS 용량은 약 1.8 GWh로 전년 동기 대비 20배 이상 증가하였으며, 약 1조원에 육박하는 새로운 시장이 창출되고 있다.2
국내에서 현재 운영 중인 ESS는 주로 양수펌프, 이차전지를 이용하는 방식이다. 각각 양수펌프는 에너지 저장용량은 우수하나 효율이 낮고 환경파괴가 심하며, 배터리는 충, 방전 효율은 우수하나 저열한 에너지밀도와 환경파괴 그리고 낮은 안정성의 문제가 있다. 수소 기반 에너지 저장 시스템은 저장용량이 MW 급에서 GW급으로 다양하고 방전 시간은 몇 시간 단위로 양수 펌프와 배터리의 장점을 모두 지니고 있다.3
수소연료전지는 수소와 산소의 화학적 반응을 통해 전기와 열 에너지를 생산하는 신재생 에너지 설비다. 또한 대기오염 물질 배출이 없어 친환경적이고, 타 신재생 에너지원과 비교하여 이용률이 높다(90%).4 발전 전력 1 MW당 요구 면적 또한 연료 전지는 약 250 m2의 면적만을 요구한다.4 세계 연료전지 시장은 최근 빠른 성장세를 보이고 있으며 2017년 기준 시장 규모 50억 3,420만 달러를 기록하였다.5 미국에서는 현재 발전용 및 하역기계용 연료전지의 보급이 증가하고 있다.6 서울시에서는 현재 건물용 연료전지 보급이 확대되어 설치 용량 기준으로 총 4.7 MW 규모가 설치 및 보급된 상태이다.5 수소경제 활성화 로드맵에 따르면 전국적으로 발전용 연료전지는 2018년 307.6 MW(총 41개소)가 보급되었고 가정 및 건물용의 경우 2018년 7 MW(총 3,167개소)가 보급되었다.7
고분자 전해질막 연료전지(Polymer Electrolyte Membrane Fuel Cell, PEMFC)는 연료전지의 한 종류로 시동 시간(Start-Up Time)이 수 초에서 수 분 이내로 우수한 부하변동 대응성, 높은 출력 밀도를 특징으로 하는 연료전지이다. 일정 전압(출력)조건에서 발전용 PEMFC의 전기효율은 47% 정도이며,8 80% 이상의 종합효율을 보인다. 이러한 특징으로 인해 PEMFC는 ESS용 분산발 전원에 적합하여 정부는 부지 선정의 어려움을 덜고 송배전 손실, 송배전 인프라 구축 비용을 절감할 수 있다. 또한 적은 시동 시간으로 수요처의 전력소비량에 기민한 대응이 가능하다.
이에 Energy Transition Institute에서는 수소 기반 ESS에 대하여 총체적인 기술적, 상업적 분석을 하였다.9 Fan Zhang et al.은 수소 기반 ESS의 구성요소인 수소 생산기술과 저장기술의 현 상태를 살펴보고, 수소 기반 ESS의 미래 가치를 평가하고 해결해야할 난관을 제시하였다.10 풍력, 태양광과 같은 타 신재생 에너지원의 시간적 불균일성을 완화하기 위해 수소 에너지를 이용하는 연구 또한 현재 활발히 진행 중이다.11-13 국내의 연구로 Choi et al.은 생산전력 중 일부를 수전해에 투입하여 지역단위의 ESS 설비의 일부를 수소 기반 에너지로 대체하는 방안에 대하여 논의하였다.14
본 연구는 소개한 연구들과 다음과 같은 점에서 차별화된다. 첫째, 본 연구는 국내(육지)의 시간대별 전력 수요예측치를 통하여 지역 단위가 아닌 전국 단위의 수소 기반 ESS의 효용을 평가하였다. 둘째, 본 연구는 타 신재생 에너지원과의 연계를 고려한 것이 아닌 순수한 잉여전력의 활용에 대한 것이다. 따라서 국내에서 전국 규모의 수소 기반 ESS에 대한 개략적인 진단이 본 연구에서는 가능하다. 이를 위해 표준 연료전지 모델(Standard Fuel Cell Model)을 도입하여 실제 PEMFC의 작동 및 이에 따른 전력 생산량을 모사한다. 또한 행정구역별로 수전해로 생산한 수소를 저장할 수소탱크의 용량과 PEMFC의 출력을 산출하고 PEMFC를 적용한 ESS를 통해 절감할 수 있는 전력공급능력을 분석하여 PEMFC 및 수전해 설비의 적용 가능성을 확인한다.
2.1 PEMFC 기반 ESS 시스템 작동 시나리오
PEMFC 기반 ESS 시스템은 PEMFC, 수전해 장치, 압력저장 용기와 같은 기타 부수 설비로 구성된다. 본 PEMFC 기반 ESS 시스템 작동 논리를 Fig. 1에 나타냈다. 저부하 시간대의 과정은 점선, 고부하 시간대의 과정은 얇은 실선 그리고 언제나 진행되는 과정은 굵은 실선으로 표시하였다. 전력 수요-공급 균형선(Balance Line of Power Demand-Supply)을 기준으로 현재 수요 전력과의 차이에 따라 고부하 시간대와 저부하 시간대를 나눈다. 저부하 시간대에 발전소 전기생산량의 일부로 수전해 장치를 가동하여 수소를 생산한다(점선). 생산된 수소는 각지의 PEMFC까지 운반, 저장된다. 고부하 시간대에 PEMFC를 통하여 전력을 생산한다(얇은 실선).
Fig. 1

Operational flowchart of PEMFC-based EES system with water electrolysis

KSPE_2020_v37n7_547_f001.jpg
Fig. 2는 2018년 가격결정발전계획용 수요예측(육지)을 참고하여 표준화한 국내 시간대별 전력 소모 추이 그래프이다.15 Fig. 2의 각 시간대의 전력 소모량은 2018년의 모든 일자의 해당 시간대의 수요예측 값의 평균값이다. 오전 4시 최소전력을 기준으로 17시 최대전력과 약 13,500 MW 정도의 차이를 보이는 것을 확인할 수 있으며, 본 PEMFC 기반 ESS 시스템을 통해 최대전력수요에 대응함으로써 전체 필요 발전설비용량이 비대해지는 것을 방지하는 것을 목표로 한다.
Fig. 2

Typical electrical load pattern in South Korea15 (Adapted from Ref. 15 on the basis of OA)

KSPE_2020_v37n7_547_f002.jpg
전력 수요-공급 균형선을 기준으로 수전해에 투입되는 전력량 A1과 시스템을 통해 생산된 전력량 A2 사이에 다음 식(1)이 성립한다.
(1)
ηtA1=A2
ESS 시스템의 전체 효율 ηt은 PEMFC, 수전해 장치 그리고 기타 구성요소의 효율의 곱으로 결정된다(식(2)).
(2)
ηt=ηfcηweηother
ESS 시스템의 평가를 위해 적절한 근거로 각 구성요소의 효율을 결정한다. 이를 통해 시스템 총 효율 ηt을 구하여 전력 수요-공급 균형선을 정한다. 구해진 전력 수요-공급 균형선, 수전해 투입 전력량 A1 그리고 시스템을 통해 생산된 전력량 A2를 통해 아래와 같은 값들을 산출한다.
(1) 시스템 도입을 통해 절감할 수 있는 공급용량
(2) 행정구역별 필요 수소 용기의 총 체적
(3) 행정구역별 필요 PEMFC 출력
산출된 값들을 근거로 수소 기반 ESS를 평가하고 시스템 도입 시 국내에 미치게 될 효과와 앞으로의 전망을 진단해 보고자 한다.
2.2 ESS용 PEMFC의 1차원 성능곡선 모델링
H2-O2 연료전지 시스템의 전기 효율 ηfc은 생성물과 반응물의 고위발열량 기준 엔탈피 차 Δh^HHV, 생성물과 반응물 깁스 자유 에너지 차 Δg^, 셀 전압 V, 연료전지 시스템의 보조 장치에 투입되는 전력으로 인한 보조 장치 소모 등가전압 Vloss, 열역학적 가역전압 Ethermo 그리고 연료전지가 소모하는 수소량에 대한 투입 수소량의 비로 정의되는 과급률 λ식(3)을 통해 정의할 수 있다. 식(3)Δg^ Δh^HHV 의 비는 연료전지의 열역학적 한계효율, V-VlossEthermo 연료전지의 운전효율 그리고 λ-1은 소모연료와 투입연료의 비를 의미한다.16
(3)
ηfc=g^h^HHVV-VlossEthermo1λ
일반적인 PEMFC 작동조건 하에서 과급률 λ와 셀 전압 V를 제외한 값들은 고정된 상수이며, 모델링의 용이함을 위하여 λ는 1.1로 가정한다.
셀 전압 V는 열역학적 전압 Ethermo에 활성화 손실 ηact, 저항 손실 ηohmic, 그리고 농도 손실 ηconc.의 합을 제외한 값이다. 따라서 최종 셀 전압을 다음의 식(4)와 같이 표현할 수 있다.
(4)
V=Ethermo-ηact.-ηohmic-ηconc.
ηact.는 단위 셀의 반응물-생성물 간의 동적 평형상태를 허물기 위해 감하여 주는 전위로, Bulter-Volmer 식을 단순화한 Tafel Plot을 이용하여 계산한다. ηohmic은 연료전지 내의 전자 전도에 의한 전기적 저항 및 전해질막에서 이온 전도에 따른 저항의, 면적비저항(Area Specific Resistance, ASR)과 전류 밀도의 곱으로 정의된다. ηconc.는 높은 전류 밀도에서 반응물의 고갈로 인한 손실로서, 반응물의 농도가 최저가 되는 지점의 전류 밀도, 한계 전류 밀도를 통해 나타낸다. 여기에 누수 전류를 각 손실을 계산할 때 고려한다. 이를 다음의 식(5)와 같이 나타낼 수 있다.16
(5)
V=Ethermo-aAn+bAnInj+jleak-aCa+bCaInj+jleak-j ASRohmic-c In jL/jL-j+jleak
상수 a와 b는 식(6)과 같이 정의된다. a는 전달 계수(Transfer)로 촉매층의 활성화 정도를 의미한다. 아래 첨자인 An과 Ca는 각각 연료극과 공기극을 의미한다.(nAn = 2, nCa = 4), Vloss는 일정한 Waux.에 대하여 시스템의 작동 전류 밀도 j에 대응하는 값으로 정의된다.
(6)
a=-R^T/anF, b=R^T/anF
(7)
Vloss=Waux./jsys
PEMFC의 1차원 모델링에 사용된 물성치는 Table 1과 같다.16 PEMFC의 작동 온도는 통상적인 작동 온도를 고려하여 330 K로 설정했다. 330 K에서 H2-O2 연료전지의 Δg^= –232 kJ/mol, Δh^HHV= –282.05 kJ/mol, λ = 1.1 조건에서 전류 밀도 j를 독립 변수로 한다.
Table 1

Typical parameters for PEMFC

Table 1
Parameter Typical value for PEMFC
Temperature [K] 330
Ethermo [V] 1.22
jo,An [A/cm2] 0.10
jo,Ca [A/cm2] 10-4
αAn [V] 0.50
αCa 0.30
ASRohmic [Ω.cm2] 0.01
jleak [A/cm2] 10-2
jL [A/cm2] 2
C [V] 0.10
연료전지 단위 셀은 작동 전류 밀도에서 보통 0.6-0.7 V의 전압을 제공한다.16,17 작동 셀 전압 Vsys= 0.70 V, 작동 전류 밀도 jsys= 0.65A/cm2의 조건으로 모델링한다.
연료전지는 전력생산량의 일부를 연료 공급, 압축, 냉각 장치 등을 포함하는 연료전지의 보조 장치에 투입해야 된다. 따라서 셀 효율에서 보조장치 전력 소모를 고려하여 시스템의 효율을 계산할 필요가 있다(식(7)식(3)). 이러한 보조 장치가 소모하는 전력은 일반적으로 연료전지 출력의 8-10%이다.16,18 이에 따라 시스템 작동 셀 전압 Vsys= 0.7 V에서 출력의 8%를 보조장치 소모전력 Waux.로 한다. 따라서 보조 장치 요구 출력 등가전압이다. Fig. 3에 전류 밀도와 PEMFC 시스템의 전기 효율, 셀 전압의 관계를 나타냈다. 작동 영역에서 PEMFC의 전기 효율 ηfc = 39.64%이다.
Fig. 3

Standard PEMFC model at constant stoichiometry (λ = 1.1)

KSPE_2020_v37n7_547_f003.jpg
Table 2에 상용 발전용 PEMFC의 출력과 전기 효율(LHV)을 비교하였다. 저위발열량(LHV) 기준 효율은 고위발열량(HHV) 기준 효율에 1.187을 곱한 값이다.16
Table 2

Commercial PEMFC generator specification19-21 (Adapted from Refs. 19-21 on the basis of OA)

Table 2
H company S company B company
Electrical efficiency [LHV, %] > 50 48 57
Power [kW] 1000 100 70
따라서 모델링한 PEMFC의 LHV 기준 효율은 47.6%이다. 그러나 실제 PEMFC는 100oC 이하에서 작동하며 수증기가 아닌 액체 상태의 물이 생성되므로 HHV 기준 효율을 사용하였다.
2.3 기타
수소 기반 ESS의 수전해 장치는 높은 부하변동 대응성과 적은 설치 면적이 요구된다. 이와 같은 요구 조건에 부합하는 고분자 전해질 수전해 장치(Polymer Electrolyte Membrane Water Electrolyzer, PEMWE)로 모델링한다. 고분자 전해질 수전해 장치는 상용화 초기(Early Commercial) 단계이나,9 알칼리 수전해, 고체산화물 수전해와 비교하여 전류 밀도 1-2 A·cm2로 타 수전해 방식에 비하여 2배가량 높아 설치 요구 면적이 작다(최대 8.4 N.m3/h.m2).22 또한 상온에서 최소부하로부터 전(Full)부하까지의 소요 시간이 10초 정도로 타 수전해 방식에 비하여 매우 빨라 부하변동에 대한 대응성이 좋다.22,23 수소의 순도 또한 타수전해 방식에 비하여 높기 때문에 PEMFC 사용에 적합한 수소를 생산할 수 있고 설계에 따라 고압운전도 가능하다.24 부가적으로 차후에 수전해와 연료전지를 겸할 수 있는 장치인 URFC (Unitized Regenerative Fuel Cell)가 상용화될 경우, 수전해 방식과 연료전지의 방식이 같을 필요가 있다.
PEMWE의 효율 ηwe는 투입되는 전력량에 대한 발생 수소의 HHV 기준 엔탈피의 비로 정의된다(식(8)). 통상적인 PEMWE 시스템의 HHV기준 효율은 62-77%이나,9,23 본 모델링의 특성상 최대한의 보수적인 추정치를 도입할 필요가 있다는 점을 감안하여 최저치인 62%로 한다.
(8)
ηwe=hHHVmEinput
현재 국내의 수소 충전소들은 충전 압력으로 350 bar와 700 bar를 지원하고 있다.25 고압운전이 용이한 PEMWE로 수소를 생산한다는 점(20-448 bar),24 700 bar 규격의 수소 압력 용기가 보편적으로 사용되고 있다는 점을 감안,26 본 모델링에서 700 bar의 압축 수소 저장으로 시간당 생산 수소의 체적을 산정한다. PEMWE를 통해 생산된 고압 수소의 추가압축, 저장, 운송하는데 발생하는 손실 등으로 인한 기타 손실을 기타 효율 ηother를 95%로 하여 모델링한다.27
3.1 공급용량
전력 수요-공급 균형선은 식(1)과 같이 시스템의 총 효율에 따라 결정된다. 식(2)에 따라 시스템의 총 효율 ηt은 23.34%이다. 이는 다른 연구에서 현재(Today, Low Range) 20%, 앞으로 (Forecast, High Range) 48%로 진단한 것과 크게 다르지 않은 수치이다.9
수전해 투입 전력량 A1 그리고 시스템을 통해 생산된 전력량 A2은 1시간 단위로 구분구적법으로 계산하였다. 이에 따라 전력 수요-공급 균형선은 최소전력 수요점(4 h)보다 10,991 MW 높고 최대전력 수요점(17 h)과는 2,539.05 MW 낮게 형성되는 것을 확인할 수 있었다.
이에 따라 최대전력 수요점(17 h)과 전력 수요-공급 균형선의 차이(2.54 GW)만큼 발전소 공급 능력을 절감할 수 있을 것이라 평가된다.
3.2 수소 용기 체적
수전해에 투입되는 전력량 A1은 78,148.85 MWh/day이다. 식(7)을 통해 산출한 시스템의 수소 생산량은 약 1,188,743.06 kg/day이다. 수소의 체적은 기체상수로 하는 이상기체 상태방정식을 통하여 계산하였다(식(9)).
(9)
=mRTp
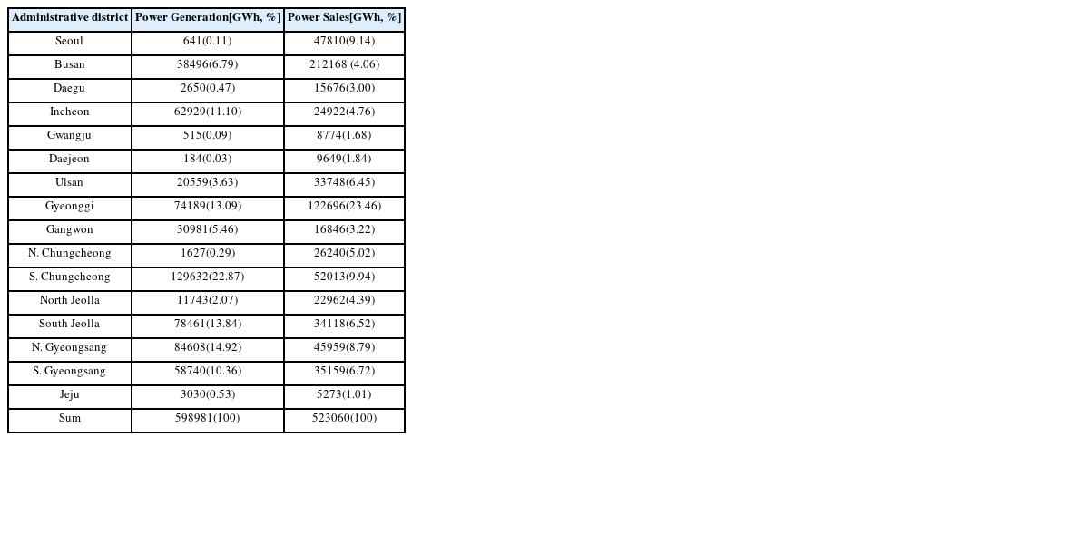
Table 3은 행정구역별 발전량, 전력 판매량과 그 비중(백분율)을 나타내며, Table 4는 행정구역별 비중을 적용하여 수소 생산량을 질량 단위와 700 bar에서의 수소의 체적을 추산한 결과이다.
Table 3

Power generation and sales by administrative district28 (Adapted from Ref. 28 on the basis of OA)

Table 3
Administrative district Power Generation
[GWh, %]
Power Sales
[GWh, %]
Seoul 641(0.11) 47810(9.14)
Busan 38496(6.79) 212168 (4.06)
Daegu 2650(0.47) 15676(3.00)
Incheon 62929(11.10) 24922(4.76)
Gwangju 515(0.09) 8774(1.68)
Daejeon 184(0.03) 9649(1.84)
Ulsan 20559(3.63) 33748(6.45)
Gyeonggi 74189(13.09) 122696(23.46)
Gangwon 30981(5.46) 16846(3.22)
N. Chungcheong 1627(0.29) 26240(5.02)
S. Chungcheong 129632(22.87) 52013(9.94)
North Jeolla 11743(2.07) 22962(4.39)
South Jeolla 78461(13.84) 34118(6.52)
N. Gyeongsang 84608(14.92) 45959(8.79)
S. Gyeongsang 58740(10.36) 35159(6.72)
Jeju 3030(0.53) 5273(1.01)
Sum 598981(100) 523060(100)
Table 4

Hydrogen production by administrative district

Table 4
Administrative district Hydrogen production
[kg/day]
Hydrogenproduction
[L/day]
Seoul 1399 24584
Busan 84083 1477025
Daegu 5786 101655
Incheon 137451 2414493
Gwangju 1123 19740
Daejeon 401 7047
Ulsan 44970 789957
Gyeonggi 162044 2846505
Gangwon 67668 1188682
North Chungcheong 3553 62424
South Chungcheong 283144 4973759
North Jeolla 25648 450539
South Jeolla 131198 2304649
North Gyeongsang 166272 2920769
South Gyeongsang 116183 2040890
Jeju 7363 129351
Sum 1238295 21752076
본 모델링을 통해 시스템 도입 시 전국적으로 약 1,238 ton/day의 수소가 생산될 것으로 예상되며, 이는 각 발전소에서 약 19 kg/dayMW(700 bar 기준 333.92 L/day.MW)의 양이다.
3.3 PEMFC 출력
각 행정구역별로 필요한 PEMFC의 출력은 발전소 공급 능력 절감량(최대전력 수요점과 전력 수요-공급 균형선의 차이)과 행정구역별 전력 판매량 비중의 곱으로 결정된다(Table 5). 연료전지는 발전전력 1 MW당 약 250 m2의 면적을 요한다.4 행정구역별 PEMFC 요구 출력과 필요 부지 면적은 Table 5와 같다.
Table 5

PEMFC power and required area by administrative district

Table 5
Administrative district PEMFC
power [MW]
Required
area [m2]
Seoul 232 58020
Busan 102 25747
Daegu 76 19023
Incheon 120 30244
Gwangju 42 10647
Daejeon 46 11709
Ulsan 163 40955
Gyeonggi 595 148898
Gangwon 81 20443
North Chungcheong 127 31843
South Chungcheong 252 63120
North Jeolla 111 27865
South Jeolla 165 41404
North Gyeongsang 223 55773
South Gyeongsang 170 42667
Jeju 25 6398
Sum 2539 634763
3.4 분석 및 토의
시스템의 총 효율은 23.34%이며, 총 효율에 따라 전력 수요-공급 균형선은 최소전력 수요점에서 10,991 MW 높게 형성되었다. 이에 따라 발전소의 전력 공급용량 중 2,539.05 MW의 전력을 대체할 수 있을 것으로 예상된다. 이는 각각 2023년 3월, 2024년 6월 준공 예정인 고리 5호기와 6호기의 설비용량에 조금 못 미치는 양이다(1400 MW*2).29 ESS 시스템이 생산하는 수소의 양은 전국적으로 하루 약 21,752.1 kL가 될 것으로 추정되며, 이는 각 발전소에서 발전 전력 MW당 333.92 L(700 bar)에 해당하는 양이다. Table 5의 행정구역별로 요구되는 PEMFC의 출력은 표준화된 전력 수요 패턴 기준(Fig. 2)의 요구 출력이며, 최대전력 수요점과 최소전력 수요점의 차이가 큰 날에는 더 큰 PEMFC의 출력을 필요로 할 것이다. 행정구역별 수소 생산량과 PEMFC 요구 출력은 각각 행정구역별 전력 발전량과 전력 판매량을 통해 산출한 값이다. 예를 들어 서울의 경우, 수소 생산량은 비교적 적으나 PEMFC 요구 출력은 비교적 높다.
시스템의 적용을 위해 해결해야할 난관은 수소 운송 비용, 수소의 낮은 체적당 에너지밀도 그리고 수전해 장치의 높은 비용이다. 수소 튜브 트레일러의 운송 비용은 약 535-642 $/ton으로 화석 연료 약 3.41 $/ton에 비하여 매우 높다.30,31 또한 PEMWE의 초기 비용 1512-2268 $/kW(2020년 3월 19일 환율 기준), 유지비용 3-5%/yr으로 매우 높은 가격을 형성하고 있다.24 액체수소 저장, 900 bar 이상의 고압 저장용기와 같은 수소의 체적당 에너지밀도를 끌어올릴 수 있는 기술 발전과 수전해 장치의 가격 경쟁력 확보를 위한 URFC 등의 신기술의 상용화가 필요하다.
현재 연료전지에 비하여 수전해는 기술적인 성숙도가 미약하여 상용화 초기 단계에 머물러 있다.9 따라서 수전해 장치의 행정구역별 요구 출력, 면적을 논의하지는 않았다. 보통 PEMWE의 작동 전류 밀도가 PEMFC보다 1.5배(2 A/cm2 이하22)정도 높다는 점과 전력 수요-공급 균형선이 10,991 MW에서 형성되었고 최대전력 수요점과 2,539.05 MW의 차이를 보였음을 감안할 때 대략 3배 정도에 해당하는 부지가 필요할 것으로 예상된다. 3배라 하여도 큰 면적이라 보기 힘들며, 차후 URFC의 도입이 이루어지면 이 마저도 매우 큰 폭으로 줄일 수 있을 것이다.
본 모델링을 통하여 수소 기반 에너지 저장 시스템의 전면적 도입 시 국내 전력 수급에 미칠 영향을 대략적으로 파악할 수 있을 것이라 예상한다. PEMFC 설비용량(Table 5)보다 더 큰 용량을 전국적으로 갖출 경우, 수전해 생산 수소와 더불어 kg당 생산 단가가 2,000원 미만으로 가장 저렴한 부생 수소를 활용하는 등의 방법들을 통해 더 높은 부하변동 대응과 더 큰 폭의 오염 유발 발전소 설비용량 대체가 가능할 것으로 전망된다.32
본 연구는 국내 전력 공급 및 수요 차이에 의한 ESS의 필요성과 이에 따라 PEMFC를 ESS에 적용하는 것에 대한 가능성을 분석하였다. 이를 위해 ESS 시스템을 구성하는 PEMFC, 수전해 장치, 수소 저장 용기 및 기타 설비를 각각 모델링하여 시스템의 총 효율을 구하였다. 이를 통해 발전소의 공급 능력 절감량을 구하였으며, 공급 능력 절감량은 현재 공사 중인 고리원전 2기 분량의 공급 능력임을 확인하였다. 더하여 각 행정구역의 발전량과 전력 판매량에 따라 필요한 수소 저장 탱크의 용량을 추산하고 각 행정구역별 PEMFC의 요구 출력과 필요 부지 면적을 추산하였다. 수소 기반 ESS는 대규모의 에너지 저장으로 향후 최대전력 수요에 대응하여 전체 발전 설비 용량이 비대해지는 것을 방지하며, 수소 저장 시설의 용량과 수소 PEMFC 설비 출력이 충분하다면 여름철과 겨울철에 냉난방 전력 수요가 폭증할 때 집중적으로 PEMFC를 가동하여 2018년 전력 대란과 같은 일을 방지할 수 있을 것이다.
다가올 수소경제 시대에서 핵심적인 전력 운용 기술이 될 수소 기반 에너지 저장 시스템에 대하여 본 연구는 현재의 기술 수준에서 그 효용을 진단하였다. 그리고 현재의 수준에서 평가된 수소 기반 에너지 저장 시스템의 효율도 의미 있는 수준임을 확인하였다. 그러나 PEMWE 방식의 수전해가 현재 상용화 초기인 점, 수소의 질량당 에너지밀도가 매우 높다는 점을 생각해보면, 미래의 수소 기반 에너지 저장 시스템의 효용은 본 논문의 분석보다 매우 높은 수준에 이를 것이라 예상된다.
본 연구는 과학기술정보통신부 한국연구재단 기초연구사업(No. NRF-2017R1C1B5076732) 지원에 의한 연구임.
Jaeyeon Kim
KSPE_2020_v37n7_547_bf001.jpg
Master student in the School of Mechanical Engineering, Soongsil University. His research interest is PEM fuel cell.
Hyeok Kim
KSPE_2020_v37n7_547_bf002.jpg
Master student in the School of Mechanical Engineering, Soongsil University. Her research interest is PEM fuel cell.
Geon Hwi Kim
KSPE_2020_v37n7_547_bf003.jpg
Bachelor student in the School of Mechanical Engineering, Soongsil University. His research interest is PEM fuel cell.
Dasol Kim
KSPE_2020_v37n7_547_bf004.jpg
Bachelor student in the School of Mechanical Engineering, Soongsil University. Her research interest is PEM fuel cell.
Hansol Ryu
KSPE_2020_v37n7_547_bf005.jpg
Bachelor student in the School of Mechanical Engineering, Soongsil University. His research interest is PEM fuel cell.
Taehyun Park
KSPE_2020_v37n7_547_bf006.jpg
Assistant professor in the School of Mechanical Engineering, Soongsil University. His research interest is fuel cells and water electrolyzers.

Download Citation

Download a citation file in RIS format that can be imported by all major citation management software, including EndNote, ProCite, RefWorks, and Reference Manager.

Format:

Include:

Estimation of the Capacity of Hydrogen-Based Energy Storage Systems toward Relieving the Imbalance of Electrical Load Pattern of South Korea
J. Korean Soc. Precis. Eng.. 2020;37(7):547-554.   Published online July 1, 2020
Download Citation

Download a citation file in RIS format that can be imported by all major citation management software, including EndNote, ProCite, RefWorks, and Reference Manager.

Format:
Include:
Estimation of the Capacity of Hydrogen-Based Energy Storage Systems toward Relieving the Imbalance of Electrical Load Pattern of South Korea
J. Korean Soc. Precis. Eng.. 2020;37(7):547-554.   Published online July 1, 2020
Close

Figure

  • 0
  • 1
  • 2
Estimation of the Capacity of Hydrogen-Based Energy Storage Systems toward Relieving the Imbalance of Electrical Load Pattern of South Korea
Image Image Image
Fig. 1 Operational flowchart of PEMFC-based EES system with water electrolysis
Fig. 2 Typical electrical load pattern in South Korea15 (Adapted from Ref. 15 on the basis of OA)
Fig. 3 Standard PEMFC model at constant stoichiometry (λ = 1.1)
Estimation of the Capacity of Hydrogen-Based Energy Storage Systems toward Relieving the Imbalance of Electrical Load Pattern of South Korea

Typical parameters for PEMFC

Parameter Typical value for PEMFC
Temperature [K] 330
Ethermo [V] 1.22
jo,An [A/cm2] 0.10
jo,Ca [A/cm2] 10-4
αAn [V] 0.50
αCa 0.30
ASRohmic [Ω.cm2] 0.01
jleak [A/cm2] 10-2
jL [A/cm2] 2
C [V] 0.10

Commercial PEMFC generator specification19-21 (Adapted from Refs. 19-21 on the basis of OA)

H company S company B company
Electrical efficiency [LHV, %] > 50 48 57
Power [kW] 1000 100 70

Power generation and sales by administrative district28 (Adapted from Ref. 28 on the basis of OA)

Administrative district Power Generation
[GWh, %]
Power Sales
[GWh, %]
Seoul 641(0.11) 47810(9.14)
Busan 38496(6.79) 212168 (4.06)
Daegu 2650(0.47) 15676(3.00)
Incheon 62929(11.10) 24922(4.76)
Gwangju 515(0.09) 8774(1.68)
Daejeon 184(0.03) 9649(1.84)
Ulsan 20559(3.63) 33748(6.45)
Gyeonggi 74189(13.09) 122696(23.46)
Gangwon 30981(5.46) 16846(3.22)
N. Chungcheong 1627(0.29) 26240(5.02)
S. Chungcheong 129632(22.87) 52013(9.94)
North Jeolla 11743(2.07) 22962(4.39)
South Jeolla 78461(13.84) 34118(6.52)
N. Gyeongsang 84608(14.92) 45959(8.79)
S. Gyeongsang 58740(10.36) 35159(6.72)
Jeju 3030(0.53) 5273(1.01)
Sum 598981(100) 523060(100)

Hydrogen production by administrative district

Administrative district Hydrogen production
[kg/day]
Hydrogenproduction
[L/day]
Seoul 1399 24584
Busan 84083 1477025
Daegu 5786 101655
Incheon 137451 2414493
Gwangju 1123 19740
Daejeon 401 7047
Ulsan 44970 789957
Gyeonggi 162044 2846505
Gangwon 67668 1188682
North Chungcheong 3553 62424
South Chungcheong 283144 4973759
North Jeolla 25648 450539
South Jeolla 131198 2304649
North Gyeongsang 166272 2920769
South Gyeongsang 116183 2040890
Jeju 7363 129351
Sum 1238295 21752076

PEMFC power and required area by administrative district

Administrative district PEMFC
power [MW]
Required
area [m2]
Seoul 232 58020
Busan 102 25747
Daegu 76 19023
Incheon 120 30244
Gwangju 42 10647
Daejeon 46 11709
Ulsan 163 40955
Gyeonggi 595 148898
Gangwon 81 20443
North Chungcheong 127 31843
South Chungcheong 252 63120
North Jeolla 111 27865
South Jeolla 165 41404
North Gyeongsang 223 55773
South Gyeongsang 170 42667
Jeju 25 6398
Sum 2539 634763
Table 1 Typical parameters for PEMFC
Table 2 Commercial PEMFC generator specification19-21 (Adapted from Refs. 19-21 on the basis of OA)
Table 3 Power generation and sales by administrative district28 (Adapted from Ref. 28 on the basis of OA)
Table 4 Hydrogen production by administrative district
Table 5 PEMFC power and required area by administrative district