Skip to main navigation Skip to main content
  • E-Submission

JKSPE : Journal of the Korean Society for Precision Engineering

OPEN ACCESS
ABOUT
BROWSE ARTICLES
EDITORIAL POLICIES
FOR CONTRIBUTORS
REGULAR

계단과 경사로 하강 동작 중의 발목관절 충격량 비교

Comparison of Ankle Joint Impulse while Descending Stairs and Ramp

Journal of the Korean Society for Precision Engineering 2021;38(3):209-214.
Published online: March 1, 2021

1 건국대학교 대학원 의학공학과

1 Department of Biomedical Engineering, Graduate School, Konkuk University

#E-mail: gmeom@kku.ac.kr, TEL: +82-43-840-3766
• Received: October 29, 2020   • Revised: December 10, 2020   • Accepted: December 29, 2020

Copyright © The Korean Society for Precision Engineering

This is an Open-Access article distributed under the terms of the Creative Commons Attribution Non-Commercial License (http://creativecommons.org/licenses/by-nc/3.0) which permits unrestricted non-commercial use, distribution, and reproduction in any medium, provided the original work is properly cited.

  • 15 Views
  • 0 Download
prev next
  • The purpose of this study was to compare ankle joint loads (Linear and Angular Impulses) while descending the stairs and ramp. Ten young male subjects participated in this study. Stairs and ramp of identical slope (30 degrees) were custom-made to include force plates in the middle of pathways. Subjects descended the stairs and ramp at a comfortable speed and posture. The stance period was divided into three phases, weight acceptance (WA), single limb stance, and pre-swing. Three-directional impulses and their sum were derived from the reaction forces and moments at the ankle joint. Differences in impulse sums (Both Linear and Angular) between stairs and ramp were significant only in the early (WA) phase, whereas those of stairs were greater than the ramp. All subjects adopted forefoot strike strategy for the stairs and 80% of the subjects adopted rearfoot strike strategy for the ramp. An increase in the GRF and moment arm of the GRF at the ankle joint in case of forefoot strike may have contributed to the increase in the linear and angular impulse in the early phase of stair descent compared to ramp descent. The results are in agreement with the preference of ramp in the elderly.
일상생활에 있어서 보행은 평지, 계단, 경사로에서 수행하게 된다.1 계단과 경사로는 도보로 수직 이동을 하기 위하여 불가피한 보행환경이다. 그러나, 계단과 경사로에서의 보행은 평지 보행에 비해 하지의 부하를 증가시키며, 부상과 낙상의 위험성도 높인다.2-4 경사로 보행의 경우, 경사로의 각도가 증가할수록 초기접지기에서의 지면과 발 사이의 전단력(Shear Force)이 커져서 미끄러짐의 위험성이 커진다.5 한편, 계단 보행에서는 평지 보행보다 유의하게 큰 하지관절의 모멘트와 관절가동역이 필요하다.6-8 따라서, 하강 보행의 경우에는 경사로와 계단 모두 낙상 및 부하로 인한 부상의 위험성이 크다.
그러나, 두 가지 보행로의 구조적 차이로 인해 하지관절에 가해지는 부하가 상이할 수 있다. 만약 계단과 경사로 중에서 하지의 각 관절에 가해지는 부하가 상대적으로 적은 보행환경을 파악한다면, 이는 하지관절의 장애를 가진 환자들이나 고령자의 통증과 위험을 줄일 수 있는 중요한 정보가 될 수 있다.
하지만 선행연구의 대부분은 평지 보행을 기준으로 하여 계단을 비교하거나 경사로를 비교하고 있어서, 계단과 경사로의 직접적 비교에 관한 연구는 매우 부족하다. 계단과 경사로의 비교로서는 노인의 계단과 경사로 간의 선호도 비교,9 계단과 경사로에서의 무릎과 발목의 관절각도 비교,1 계단과 경사로에서의 근육 활성도 비교10-12가 있다. 그러나, 부상의 직접적 원인이 되는 하지관절에 가해지는 부하에 대한 생체역학적 해석은 문헌에 없었다. 따라서, 본 연구에서는 하지관절의 역학적 부하의 관점에서 경사로와 계단의 하강 보행을 비교하고자 한다.
발목관절은 하강 보행 중의 지면 반력(Ground Reaction Force, GRF)이 가장 직접적으로 작용하는 관절로서, 시상면 하지관절 모멘트의 최댓값은 발목에서 가장 크다.23 발목은 계단 하강에서 Toe Clearance와 충격 흡수에 중요한 역할을 한다.20 발목관절에 가해지는 부하는 발목의 염좌, 관절불안증 등을 유발하고,22 무릎이나 고관절의 손상 원인이 되기도 한다.13 하지의 부하는 세 가지 관절(발목, 무릎, 고관절)을 모두 대상으로 해야 한다. 본 연구에서는 그 첫 번째 단계로서 발목관절을 대상으로 한다. 실제로 하지관절 부하를 조사한 선행연구에서도 발목에 대한 분석을 첫 번째 단계로 수행하였다.19,21
관절부하의 지표로서 충격량(Impulse)은 관절 부하의 크기와 시간을 모두 반영하므로, 관절에 가해지는 부하 비교를 위한 많은 선행연구에서 충격량을 지표로 사용하였다.14-17 예를 들어, 서로 다른 등산 폴,14 신발,15 보행 방법16을 사용하였을 때 하지 관절의 부하를 비교하기 위해 선형충격량(Linear Impulse)이 사용되었다. 또한, 점프 착지시의 발목 테이핑을 통한 발목 부하의 감소를 확인하기 위해 각충격량(Angular Impulse)이 사용되었다.17
따라서, 본 연구의 목적은 같은 기울기의 계단과 경사로에 대한 하강 보행에서 발목관절의 부하를 선형충격량과 각충격량을 이용하여 비교하여, 발목의 부하를 줄일 수 있는 보행환경을 파악하는 것이다.
2.1 연구 장비
경사로와 계단 내려오기 동작의 보행 분석을 위해 모션캡처 카메라(MX T40, Vicon, UK)와 힘판(9260AA, Kistler, Swiss)을 사용하였다. 계단은 가장 흔하게 사용되는 사이즈(Thread 30, Height 17 cm, Slope 30 deg)를 채택하여 5개의 스텝으로 구성하고, 2, 3번째 스텝에 각각 힘판을 삽입하였다(Fig. 1(a)). 경사로는 계단과 동일한 30° 경사각으로 제작하였으며, 경사로 중앙(상단으로부터 30 cm 내려온 지점)에 힘판을 삽입하였다(Fig. 1(b)). 계단과 경사로 모두 힘판과 동일한 색상으로 접촉면을 구성하여 힘판의 위치를 피험자가 알 수 없게 하였다. 또한, 보행로 양측에 안전바를 설치하고 계단의 스텝과 경사면에 미끄럼 방지 시트(3M, MN)를 부착하였다.
Fig. 1

Instrumented (a) Stairs and (b) Ramp

KSPE_2021_v38n3_209_f001.jpg
2.2 실험 대상 및 실험 방법
근골격계 및 신경계 질환이 없는 건강한 20대 성인남성 10명을 피실험자로 선정하였다. 피험자들의 기초적인 신체사이즈를 측정하고(Table 1), Plug in Gait Maker Set을 착용한 후 계단과 경사로를 무작위 순서로 내려오도록 하였다. 피험자에게 본인이 평상시에 내려오는 편안한 방법(속도와 자세)으로 내려오도록 요청하였고, 각 실험 사이에 5분 이상의 휴식 시간을 주었다. 이 연구는 건국대학교 기관생명윤리위원회의 승인을 받았고(HR-174), 실험은 피험자의 사전 서면동의를 구한 후에 실시되었다.
Table 1

Characteristics of subject

Table 1
Number of subjects Age [yrs] Height [cm] Weight [kg] Leg length [cm]
10 24±2 173±4 68±9 89±3
2.3 분석 방법
측정된 운동학 데이터와 지면 반력으로부터 NEXUS (Vicon, UK)를 이용한 역동역학 분석을 통해 발목관절에서 정강이뼈(Tibia)쪽으로 가해지는 3축 방향의 관절반력(Superio-Inferior, Medio-Lateral, ML, Antero-Posterior, AP)을 도출했다. 관절반력의 방향은 발 분절을 기준으로 하였다. 또한, 발목관절의 3축 방향, 즉 시상면(Sagittal Plane: Dorsi-/Plantar-Flexion), 관상면(Coronal Plane: Adduction/Abduction), 횡단면(Transverse Plane: Internal/ External Rotation)의 모멘트를 계산하였다.
입각기(Stance Phase)를 하중수용기(Weight Acceptance, WA), 한발 지지기(Single Limb Stance, SLS), 전유각기(Pre-Swing, Psw) 의 세 가지 보행상으로 구분하였다. 각 보행상의 힘과 모멘트의 절댓값을 적분하여 각각 발목의 선형충격량과 각충격량을 구하였다. 이 과정에서 방향별 충격량을 구하고, 이를 모두 합하여 합 충격량을 구했다. 충격량 분석에는 Matlab2017b (MathWorks, Natick)를 이용하였다.
경사로와 계단 두 가지 조건에 따른 충격량의 차이를 비교하였다. 일부의 충격량이 정규성을 만족하지 못하여서, 모든 충격량을 Wilcoxon Signed Rank Test로 비교하였다. 통계분석에는 SPSS24(IBM, NY)를 이용하였다.
각 피험자에게 편안한 형태(보행 방식, 속도)의 보행을 요청한 결과 계단은 0.32±0.05, 경사로는 0.33±0.10 m/s의 보행속도를 나타내어, 계단과 경사로에 따른 보행속도의 차이는 없었다 (p = 0.386). 계단 보행에서는 10명의 피험자 모두 발딛기를 앞 꿈치딛기(Forefoot Strike, FFS)로 하였다. 경사로 보행에서는 10명 중 8명이 뒤꿈치딛기(Rearfoot Strike, RFS)를, 나머지 2명은 FFS로 하였다. 발딛기 전략은 초기 접지 순간에 Toe-마커와 Heel-마커를 확인하여 판정하였다.
계단과 경사로 모두에서 활보장(Stride)의 약 17%가 WA, 약 36%가 SLS, 약 17%가 Psw으로 나타났다.
3.1 관절반력과 선형충격량
Fig. 2는 계단과 경사로 하강 보행 동작 중의 3방향 관절반력을 나타낸다. 전체적인 개형에서는 SI와 ML 방향의 관절반력은 계단에서 큰 경향을 보이고, AP 방향의 관절반력은 경사로에서 큰 경향을 보인다.
Fig. 2

Average joint reaction force while descending stairs and ramp. WA: Weight acceptance, SLS: Single limb stance, Psw: Pre-swing

KSPE_2021_v38n3_209_f002.jpg
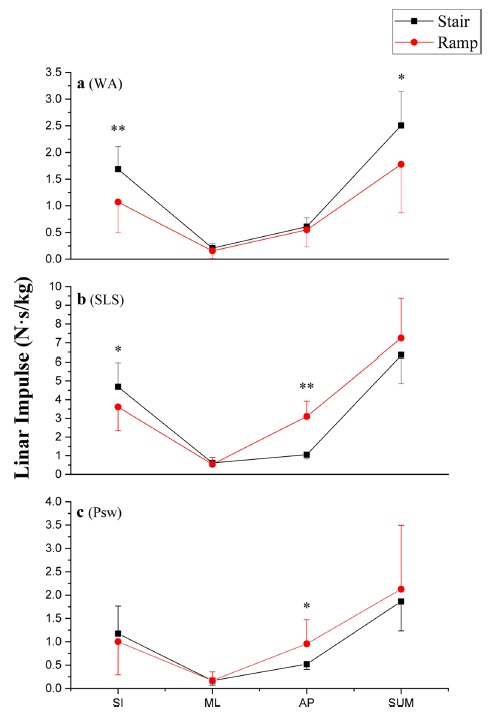
관절반력에 대한 선형충격량을 각 보행상별로 계단과 경사로에 대해 비교한 결과를 Fig. 3에 나타낸다.
Fig. 3

Linear impulse. *p < 0.05, **p < 0.01

KSPE_2021_v38n3_209_f003.jpg
하중수용기(WA)에서 SI 충격량은 계단에서 크고(p < 0.01), ML 충격랑과 AP 충격량은 차이가 없어서, 결과적으로 합 충격량은 계단에서 컸다(p < 0.05, Fig. 3(a)). 한발지지기(SLS)에서는 SI 충격량은 계단에서 컸으나(p < 0.05), AP 충격량은 경사로에서 커서(p < 0.01), 결과적으로 합 충격량은 차이가 없었다(p = 0.203, Fig. 3(b)). 전유각기(Psw)에서도 AP 충격량은 경사로에서 컸으나(p < 0.05) 합 충격량은 차이가 없었다(p = 0.445, Fig. 3(c)).
3.2 관절 모멘트와 각충격량
Fig. 4는 계단과 경사로 하강 보행 중의 3방향의 발목관절 모멘트를 나타낸다. 계단에서의 모멘트는 모든 방향에서 2개의 피크를 가지는 개형을 보였고, 경사로에서의 모멘트는 대체적으로 입각기 후반에 1개의 피크를 가진다. 특히 관상(Coronal)면 모멘트는 계단에서는 평지 보행과 같은 내전(Adduction) 방향이지만 경사로에서는 그 반대인 외전(Abduction) 방향으로 나타났다.
Fig. 4

Average joint internal moment while descending stairs and ramp. WA: Weight acceptance, SLS: Single limb stance, Psw: Pre-swing

KSPE_2021_v38n3_209_f004.jpg
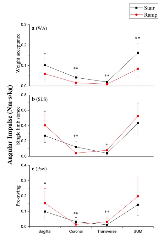
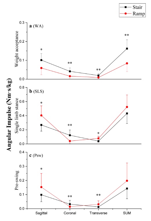
관절반력에 대한 각충격량을 각 보행상별로 Fig. 5에 나타낸다. 하중수용기(WA)에서는 모든 방향에서 계단의 각충격량이 경사로에서보다 컸고(p < 0.05), 합 충격량도 계단에서 컸다(p < 0.01).
Fig. 5

Ankle joint angular impulse in loading response phase (*p < 0.05, **p < 0.01, ***p < 0.001)

KSPE_2021_v38n3_209_f005.jpg
한발지지기(SLS)와 전유각기(Psw)에서는 매우 유사한 결과를 나타냈다. 즉, 시상면과 횡단면에서의 각충격량은 경사로에서 컸으나(p < 0.05), 관상면에서의 각충격량은 계단에서 커서(p < 0.05), 결과적으로 합 충격량에서는 차이가 없었다.
4.1 선형충격량과 각충격량
문헌에서 발딛기전략이 지면 반력과 관절 모멘트에 영향을 미친다고 보고되었다.18,19 본 연구의 결과에서 계단과 경사로에서의 발딛기 전략은 크게 달랐으므로, 충격량의 차이는 발딛기 전략의 차이에서 기인했을 가능성이 있다. 또한, 계단과 경사로의 구조적 차이로 인한 발 접지면의 경사도의 차이가 충격량에 영향을 미쳤을 가능성도 있다. 아래에 각 보행상별 고찰을 기술한다.

4.1.1 하중수용기(WA)

3방향 충격량을 종합한 합 충격량은 각충격량과 선형 충격량 모두 하중수용기에서만 차이가 있었다. 계단 보행에서 사용된 FFS는 RFS와 비교하여 WA과 같은 보행의 초기 구간에서 더 큰 GRF(특히 SI 성분)을 갖는다.18,19 이러한 지면 반력의 증가는 계단 하강에서 발목관절의 SI 반력을 증가시키고(Fig. 2), 결국 선형충격량을 증가(Fig. 3(a))시켰을 가능성이 있다. 또한, FFS 전략은 RFS 전략에 비하여 WA 구간에서 지면 반력의 발목관절에서의 시상면, 관상면의 모멘트암(Moment Arm)을 증가시키므로,18 이러한 모멘트암의 증가(GRF의 증가와 함께)가 발목관절 모멘트(Fig. 4)와 각충격량(Fig. 5(a))을 증가시켰을 것이다.

4.1.2 한발지지기(SLS)와 전유각기(Psw)

선형 충격량은 SI 방향에서는 계단에서 컸고(전유각기에서는 통계적 유의성 없음), AP 방향에서는 경사로에서 커서(Figs. 3(b)와 3(c)), 결과적으로 합 충격량의 보행로간 차이는 없었다. 이는 Fig. 2에서의 한발지지기와 전유각기에서의 관절반력의 차이가 선형충격량에 반영된 것으로서, 주로 보행로의 구조적 차이로 인한 것으로 생각된다. 즉, 계단은 발의 접지면이 평면이 므로 한발지지기에서 버티기 위해서 수직 방향(SI) 힘이 주가되지만, 경사로의 경우 발 접지면이 기울어져 있으므로 미끄러지지 않기 위해서 사면 방향(AP)의 반력이 크게 필요하다.
각충격량은 시상면과 횡단면에서는 경사로에서 컸고, 관상면에서는 계단에서 커서, 결과적으로 합 충격량의 보행로간 차이는 없었고, 이러한 경향은 한발지지기와 전유각기에 일관되었다(Figs. 5(b)와 5(c)). 시상면과 횡단면에서의 각충격량 차이는 한발지지기 후반에서의 경사로에서 증가된 모멘트(Fig. 4)로 인한것으로서, 경사로에서 주로 채택된 RFS가 영향을 미쳤을 가능성이 있다. 즉, RFS에서는(FFS에 비하여) 반대측Contralateral) 발이 착지하기 전까지 동측(Ipsilateral) 다리의 지지(GRF)가 크고, 대측 발 착지 직후에도 하중의 전이(Weight Transfer)가 느려서,18,19 증가된 GRF가 경사로에서의 모멘트 및 각충격량을증가시켰을 가능성이 있다.
관상면의 각충격량 차이는(보행상 전체 구간에서 일관되게) 계단의 내전 모멘트가 경사로에서는 외전 모멘트로 반전되고, 크기는 작아진 것(Fig. 4(b))이 반영된 것이다. 이러한 결과는 경사로에서 발의 접지면이 기울어진 것과 경사로에서 RFS가 주로 채택된 것이 영향을 미쳤을 가능성이 있다. 즉, 경사로에서 기울어진 접지면에서 동측 다리가 하중을 지지하면서 미끄러지지 않기 위해서 발의 내측을 지면에 밀착시키기 위한 외전 모멘트가 필요했을 가능성이 있다. 또한, 경사로에서 채택된 RFS에서는 입각기에서 관상면의 모멘트암이 FFS에 비해 작아지는 것18이 영향을 미쳤을 가능성도 있다.
4.2 본 연구의 시사점
합 충격량의 관점에서 볼 때, 발목관절의 충격량은 하중수용기에서만 차이가 있었고, 선형충격량과 각충격량 모두 경사로의 값이 계단에 비해 작았다. 이러한 결과는 발목 손상의 위험을 줄이기 위해서 계단보다는 경사로를 이용하는 것이 바람직하다는 것을 시사한다. 이러한 시사점은 하강 보행에서 81%의 노인이 계단보다 경사로를 선호한다는 결과9에 의해 지지된다.
4.3 제한점 및 후속 연구
본 연구의 결과에서 계단과 경사로 하강 보행에서는 서로 다른 발딛기 전략을 취하는 것을 확인할 수 있었다. 그러나, 본 연구에서는 20대 남성으로 제한된 피험자에 대해서만 실험을 수행하였으므로, 다른 연령의 경우와 여성에 대해서도 동일한 결과가 나올지에 대해서는 추가적인 실험이 필요하다. 또한, 높은 각도에서의 보행, 예를 들어 등산 하강 시 발목의 전략은 RFS가 아닌 FFS를 나타내는 경우도 존재한다.19 따라서, 다른 각도에 대한 추가적인 연구가 필요하다.
문헌에서 발딛기 전략이 관절 모멘트에 미치는 영향은 발목과 무릎관절에서 서로 상이한 결과를 보였으므로,18,19 계단과 경사로와 같은 보행로에 의한 영향도 관절에 따라 다를 가능성이 있다. 따라서, 앞으로 무릎관절, 고관절과 같은 상위 관절의 부하에 대한 생체역학적 비교도 실시할 필요가 있다.
본 연구의 결과는 같은 각도의 계단과 경사로 하강 보행에서는 경사로를 이용하는 것이 발목의 선형충격량과 각충격량을 줄일 수 있음을 보여준다, 이를 통하여 건물 및 등산로 설계에 있어 사용자에게 보다 안전하고 부담을 줄일 수 있도록 활용할 것으로 기대된다.
이 논문은 2019년도 건국대학교 연구마일리지연구비 지원에 의한 논문임
  • 1.
    Gu, H., Li, W., and Li, J., “Knee and Ankle Kinematics in Different Walking Conditions,” Proc. of the International Conference on Advanced Robotics and Mechatronics, pp. 266-270, 2016.
    10.1109/ICARM.2016.7606930
  • 2.
    Redfern, M. S. and Dipasquale, J., “Biomechanics of Descending Ramps,” Gait & Posture, Vol. 6, No. 2, pp. 119-125, 1997.
    10.1016/S0966-6362(97)01117-X
  • 3.
    Gardner, T. B. and Hill, D. R., “Illness and Injury among Long-Distance Hikers on the Long Trail, Vermont,” Wilderness and Environmental Medicine, Vol. 13, No. 2, pp. 131-134, 2002.
    10.1580/1080-6032(2002)013[0131:IAIALD]2.0.CO;2
  • 4.
    Jacobs, J. V., “A Review of Stairway Falls and Stair Negotiation: Lessons Learned and Future Needs to Reduce Injury,” Gait & Posture, Vol. 49, pp. 159-167, 2016.
    10.1016/j.gaitpost.2016.06.030
  • 5.
    McVay, E. J. and Redfern, M. S., “Rampway Safety: Foot Forces as a Function of Rampway Angle,” American Industrial Hygiene Association Journal, Vol. 55, No. 7, pp. 626-634, 1994.
    10.1080/15428119491018718
  • 6.
    Nadeau, S., McFadyen, B. J., and Malouin, F., “Frontal and Sagittal Plane Analyses of the Stair Climbing Task in Healthy Adults Aged over 40 Years: What Are the Challenges Compared to Level Walking” Clinical biomechanics, Vol. 18, No. 10, pp. 950-959, 2003.
    10.1016/S0268-0033(03)00179-7
  • 7.
    Andriacchi, T., Andersson, G., Fermier, R., Stern, D., and Galante, J., “A Study of Lower-Limb Mechanics during Stair-Climbing,” The Journal of Bone and Joint Surgery. American Volume, Vol. 62, No. 5, pp. 749-757, 1980.
    10.2106/00004623-198062050-00008
  • 8.
    Protopapadaki, A., Drechsler, W. I., Cramp, M. C., Coutts, F. J., and Scott, O. M., “Hip, Knee, Ankle Kinematics and Kinetics during Stair Ascent and Descent in Healthy Young Individuals,” Clinical Biomechanics, Vol. 22, No. 2, pp. 203-210, 2007.
    10.1016/j.clinbiomech.2006.09.010
  • 9.
    Wolfinbarger, K. G. and Shehab, R. L., “A Survey of Ramp and Stair Use among Older Adults,” Proc. of the Human Factors and Ergonomics Society Annual Meeting, Vol. 44, No. 24, pp. 4-76, 2000.
    10.1177/154193120004402421
  • 10.
    Gottschall, J. S., Okita, N., and Sheehan, R. C., “Muscle Activity Patterns of the Tensor Fascia Latae and Adductor Longus for Ramp and Stair Walking,” Journal of Electromyography and Kinesiology, Vol. 22, No. 1, pp. 67-73, 2012.
    10.1016/j.jelekin.2011.10.003
  • 11.
    Han, J. T., Nam, T. H., Shin, H. S., and Bae, S. S., “The Study of Muscle Activity Change with Lower Extremity during Stair and Ramp Walking in Young Adults,” Journal of the Korean Society of Physical Medicine, Vol. 3, No. 3, pp. 177-183, 2008.
  • 12.
    Han, J. T., Gong, W. T., and Lee, Y. S., “Comparison of Muscle Activity with Lower Extremity during Stairs and Ramp Climbing of Old Adults by EMG,” The Journal of Korean Physical Therapy, Vol. 21, No. 1, pp. 35-40, 2009.
  • 13.
    Hintermann, B., Nigg, B., Sommer, C., and Cole, G., “Transfer of Movement between Calcaneus and Tibia in Vitro,” Clinical Biomechanics, Vol. 9, No. 6, pp. 349-355, 1994.
    10.1016/0268-0033(94)90064-7
  • 14.
    Park, S. K., Yoon, S. H., Ryu, S. H., Jeong, M. H. and Ryu, S. H., “Changes in Gait Biomechanics with Different Hiking Pole in Various Surface Conditions,” The Korean Journal of Physical Education, Vol. 54, No. 6, pp. 555-566, 2015.
  • 15.
    Ryu, S. and Park, S. K., “Effects of Heel Shape of a Shoe on the Impact and Biomechanical Characteristics during Walking,” Journal of the Ergonomics Society of Korea, Vol. 39, No. 3, pp. 191-203, 2020.
    10.5143/JESK.2020.39.3.191
  • 16.
    Kim, R. B. and Cho, J. H., “Comparative Analysis of Nordic Walking and Normal Gait based on Efficiency,” Korean Journal of Sport Biomechanics, Vol. 20, No. 4, pp. 365-372, 2010.
    10.5103/KJSB.2010.20.4.365
  • 17.
    Sato, N., Nunome, H., Hopper, L. S., and Ikegami, Y., “Ankle Taping Can Reduce External Ankle Joint Moments during Drop Landings on a Tilted Surface,” Sports Biomechanics, Vol. 18, No. 1, pp. 28-38, 2019.
    10.1080/14763141.2017.1375552
  • 18.
    Jeon, H. M., Choi, E. B., Heo, J. H., and Eom, G. M., “Ankle Joint Moments in Different Foot Strike Methods during Stair Descent,” Journal of Mechanics in Medicine and Biology, Vol. 19, No. 7, Paper No. 1940031, 2019.
    10.1142/S0219519419400311
  • 19.
    Jeon, H. M., Choi, E. B., Heo, J. H., and Eom, G. M., “Influence of the Initial Foot Contact Strategy on Knee Joint Moments during Stair and Ramp Descent,” Scientific Reports, Vol. 10, No. 1, pp. 1-8, 2020.
    10.1038/s41598-020-70933-y
  • 20.
    Whitehead, J. M. A., Esposito, E. R., and Wilken, J. M., “Stair Ascent and Descent Biomechanical Adaptations while Using a Custom Ankle-Foot Orthosis,” Journal of Biomechanics, Vol. 49, No. 13, pp. 2899-2908, 2016.
    10.1016/j.jbiomech.2016.06.035
  • 21.
    Choi, E. B., Jeon, H. M., Heo, J. H., and Eom, G. M., “Comparison of Ankle Joint Load in Different Foot Strike Strategies during Stair Ascent,” Journal of Mechanics in Medicine and Biology, Vol. 19, No. 7, Paper No. 1940043, 2019.
    10.1142/S0219519419400438
  • 22.
    Mitchell, A., Dyson, R., Hale, T., and Abraham, C., “Biomechanics of Ankle Instability Part 1: Reaction Time to Simulated Ankle Sprain,” Medicine and Science in Sports and Exercise, Vol. 40, No. 8, pp. 1515-1521, 2008.
    10.1249/MSS.0b013e31817356b6
  • 23.
    Jeon, H. M., “Comprehensive Analysis of Lower-Limb Joint Loads during Descent Walking Depending on Foot-Contact Strategies,” Ph.D. Thesis, Konkuk University, 2020.
Hyeong Min Jeon
KSPE_2021_v38n3_209_bf001.jpg
Post-Doc in the Department of Bio-Medical Engineering, Konkuk University. His research interest is Rehabilitation & Biomechanics.
Ju Hwan Shin
KSPE_2021_v38n3_209_bf002.jpg
B.S. Candidate in the Department of Bio-Medical Engineering, Konkuk University. His research interest is knee oa patient’s rehabilitation.
Jun Young Lee
KSPE_2021_v38n3_209_bf003.jpg
B.S. Candidate in the Department of Bio-Medical Engineering, Konkuk University. His research interest is sports rehabilitation.
Gwang Moon Eom
KSPE_2021_v38n3_209_bf004.jpg
Professor in the department of Biomedical Engineering, Konkuk University. His research interests rehabilitation of elderly and biomechanics.

Download Citation

Download a citation file in RIS format that can be imported by all major citation management software, including EndNote, ProCite, RefWorks, and Reference Manager.

Format:

Include:

Comparison of Ankle Joint Impulse while Descending Stairs and Ramp
J. Korean Soc. Precis. Eng.. 2021;38(3):209-214.   Published online March 1, 2021
Download Citation

Download a citation file in RIS format that can be imported by all major citation management software, including EndNote, ProCite, RefWorks, and Reference Manager.

Format:
Include:
Comparison of Ankle Joint Impulse while Descending Stairs and Ramp
J. Korean Soc. Precis. Eng.. 2021;38(3):209-214.   Published online March 1, 2021
Close

Figure

  • 0
  • 1
  • 2
  • 3
  • 4
Comparison of Ankle Joint Impulse while Descending Stairs and Ramp
Image Image Image Image Image
Fig. 1 Instrumented (a) Stairs and (b) Ramp
Fig. 2 Average joint reaction force while descending stairs and ramp. WA: Weight acceptance, SLS: Single limb stance, Psw: Pre-swing
Fig. 3 Linear impulse. *p < 0.05, **p < 0.01
Fig. 4 Average joint internal moment while descending stairs and ramp. WA: Weight acceptance, SLS: Single limb stance, Psw: Pre-swing
Fig. 5 Ankle joint angular impulse in loading response phase (*p < 0.05, **p < 0.01, ***p < 0.001)
Comparison of Ankle Joint Impulse while Descending Stairs and Ramp

Characteristics of subject

Number of subjects Age [yrs] Height [cm] Weight [kg] Leg length [cm]
10 24±2 173±4 68±9 89±3
Table 1 Characteristics of subject