Skip to main navigation Skip to main content
  • E-Submission

JKSPE : Journal of the Korean Society for Precision Engineering

OPEN ACCESS
ABOUT
BROWSE ARTICLES
EDITORIAL POLICIES
FOR CONTRIBUTORS
REGULAR

반도체 제조공정용 약액 유량 제어장치의 제어 반응속도 개선

Control Speed Improvement of Chemical Liquid Flow Control Device for Semiconductor Manufacturing Process

Journal of the Korean Society for Precision Engineering 2021;38(6):405-415.
Published online: June 1, 2021

1 극동대학교 반도체장비공학과

1 Department of Semiconductor Equipment Engineering, Far East University

#E-mail: baeiljin@kdu.ac.kr, TEL: +82-43-880-3233
• Received: March 2, 2021   • Revised: April 2, 2021   • Accepted: April 5, 2021

Copyright © The Korean Society for Precision Engineering

This is an Open-Access article distributed under the terms of the Creative Commons Attribution Non-Commercial License (http://creativecommons.org/licenses/by-nc/3.0) which permits unrestricted non-commercial use, distribution, and reproduction in any medium, provided the original work is properly cited.

  • 12 Views
  • 0 Download
prev next
  • Equipment used in the semiconductor manufacturing process generally have a flow rate control system for each nozzle to regulate the flow rate of chemical solution fed to the wafer. In existing flow rate control systems, flow rate overshoots occur because of excess pressure and the control rates of the overshoots are less because additional operation time is required for the electric valves. In this study, to address the shortcomings of existing flow rate control systems, we proposed a method to improve the speed of flow rate control by introducing a constant pressure valve. The constant pressure valve controls the flow path via gas pressure, thereby facilitating prompt control and efficiently improving the flow rate overshoot caused by the pressure overshoot. To improve the control speed and control stability of the constant pressure valve, a three-step automatic control speed application function was developed, and the measured valve, control amount mapping function, and pre-open function were defined to reduce the initial control speed. The experimental results showed a measurement precision within 1% of the target flow rate and stable control performance as well as control speed reduction from 3 seconds in existing systems to 2 seconds or less for the proposed system.

Cv

Control Value

fM

Measurement Flow Rate [mL/min]

fT

Target Flow Rate [mL/min]

Ki

I Control Gain

Kp

P Control Gain

Re1

Remainder of the Present

Re2

Remainder of Past

Qu

Quotient
반도체 제조공정 중 식각(Etching) 및 세정(Cleaning) 공정에서 웨이퍼에 공급되는 약액(Chemical Liquid)의 유량은 매우 중요한 공정요소이다. 따라서 반도체 제조공정 설비에는 약액이 웨이퍼(Wafer)에 얼마나 공급되고 있는지를 모니터링 및 제어하기 위해 각각의 노즐(Nozzle)마다 유량 계측 및 제어장치를 설치하여 사용한다.1
반도체 공정의 유량 제어 방식은 수동 및 자동 방식으로 구분한다. 기존 식각 및 세정 장비는 대부분 수동 유량 제어장치를 사용하였다. 이는 수동 유량 제어장치의 가격이 저가이므로 전체 설비투자 비용을 줄일 수 있고, 기존 40 nm 패턴 크기의 반도체 제품을 생산하기 위해서는 수동 유량 제어장치만으로도 충분히 공정 관리가 가능했기 때문이다. 하지만 최근 10 nm급 패턴 크기의 반도체를 생산하기 위해서는 약액이 웨이퍼에 공급되는 유량 관리의 중요도가 높아져 점차 자동 유량 제어장치로 변경하여 적용되는 추세이다.2 이러한 자동 유량 제어장치는 다음과 같은 장점이 있다.
Fig. 1(a)와 같이 수동 유량 제어장치는 공급되는 압력의 급격한 변화가 발생하면 이로 인해 웨이퍼에 토출(Discharge)되는 유량이 변화한다. 반도체 공정용 약액 공급장치의 펌프는 맥동이 큰 밸로우즈(Bellows) 펌프를 사용하여 약액 공급 시 압력의 변화가 심하다.3 그러나 자동 유량 제어장치는 제어 밸브를 이용한 실시간 보상이 가능하므로 Fig. 1(b)와 같이 공급압력의 변화에도 목표 유량을 정상적으로 제어할 수 있다. 또한, 수동 유량 제어장치는 Fig. 1(c)에서 볼 수 있듯이 단일 유량만을 토출할 수 있는 반면 자동 유량 제어장치는 설정 유량을 자동 제어하므로 단일 설비에서 유량값의 변경 사용이 가능하여 다 공정을 수행할 수 있다. Figs. 1(a)부터 1(c) 데이터는 ㈜SNC사의 수동 및 전동식 자동 유량 제어장치의 유량 제어 성능을 실험한 데이터이다.
Fig. 1

Flow rate control comparison of manual and automatic flow rate control devices, (a) Flow rate change by pressure change of manual flow rate control device, (b) Pressure change flow rate control performance of automatic flow rate control device for motor valve, and (c) Single target flow control in manual flow rate control device

KSPE_2021_v38n6_405_f001.jpg
반도체 공정용 유량 제어장치가 점차 자동 유량 제어장치로 변경되고 있지만, 아직 기술의 한계 및 단점이 있다. 첫째, 기존 자동 유량 제어장치의 제어 밸브는 전동 밸브(Motor Valve)를 사용하므로 토출 초기 및 토출 중 급격한 압력 오버슛(Overshoot)에 의해 제어 유량의 오버슛이 발생한다. 둘째, 유량 제어용 전동 밸브의 구동 시간이 상대적으로 길어 제어 반응속도가 느리다. 셋째, 전동 밸브내 전기, 전자 시스템의 오류로 폭발의 위험이 있어 IPA (Isopropyl Alcohol)와 같은 유기 약액에 적용하기 부적절하다. 넷째, 스탭모터(Step Motor) 및 드라이버(Driver), 센서, 엔코더(Encoder) 등 많은 부품이 사용되어 제어장치가 고가이다.
본 연구에서는 위에서 언급된 자동 유량 제어장치의 단점 및 한계를 개선하고자 정압 밸브를 제어 밸브로 적용하였다.
2.1 접액부 개발
Fig. 2는 본 연구에서 개발한 자동 유량 제어장치의 블록다이아그램(Block Diagram)이다. 유량 계측은 초음파 유량계를 사용하였고, 제어 밸브는 정압 밸브를 적용하여 초기 오버슛 및 압력 변화에 의한 오버슛을 개선하도록 설계하였으며, IPA와 같은 유기 약액을 상시 제어할 수 있도록 하였다. 그리고 정압 밸브와 일체형 On/Off Suction 밸브를 적용하여 실시간 유량 제어 및 토출 On/Off 제어가 가능한 구조로 설계하였다. 정압 밸브에 인가되는 공압은 전공 레귤레이터(Electronic Pneumatic Regulator)를 이용하여 4-20 mA 전류 신호로 제어하였다. 제어기에서는 초음파 신호를 송수신하며 수신된 초음파 신호를 처리하여 유량으로 연산한다.4 계측된 유량값을 이용하여 전공 레귤레이터에 전류 신호로 설정 유량을 제어하도록 실시간 제어가 가능한 제어기를 설계하였다.5
Fig. 2

Block diagram of improved flow rate control device

KSPE_2021_v38n6_405_f002.jpg
본 연구에서 정압 밸브 및 전공 레귤레이터는 직접 개발하지 않았고, 정압 밸브는 세미프로테크 제품을, 전공 레귤레이터는 CKD 제품을 선정하여 연구하였으며, 공압을 활용한 유량 제어 장치의 구조 설계와 고속 제어 알고리즘을 구상하여 유량 제어 성능 향상과 관련된 기술 연구를 중점으로 진행하였다.
접액부는 초음파 유량계와 정압 및 On/Off 밸브, 전공 레귤레이터를 하나의 유닛(Unit)으로 모듈화 설계를 진행하였다. Fig. 3은 완성한 접액부의 3D 설계도이다. 약액의 입력 배관과 출력 배관을 같은 방향으로 설계하여 설비 장착 시 배관 설치의 편리성을 증대시켰다. 입력 배관에서 공급되는 약액은 초음파 유량계를 거쳐 정압 및 On/Off 밸브를 지나 출력 배관을 통하여 제어된다.6 접액부 상부에 전공 레귤레이터를 설치하고 약액의 누수 및 흄에 의한 파손을 방지하기 위해 상부 커버를 장착하고, 내부 양압이 존재하도록 상시 N2를 공급하는 구조로 설계하였다. 전공 레귤레이터의 제어 공압 출력 배관은 피팅을 통하여 정압 밸브로 공급한다. 초음파 유량계의 센서 케이블 커넥터는 약액 누수에 의한 부식을 방지하기 위해 커버를 장착하여 접액부에 연결되도록 설계하였다. 약액 입, 출력 배관 사이에 접액부 내부 약액의 흄이 정체 되어있는 것을 방지하기 위해 별도의 퍼지(Purge) 포트를 설치하여 상시 N2가 공급되도록 하였다. 내화학성, 화재 방지 및 화재로 인한 매연 방지를 위해 접액부 몸체 및 커버류의 재질은 HT 난연 PVC 재질을 선정하여 설계하였다.7 Fig. 4는 완성된 접액부이다.
Fig. 3

3D design and structure of chemical liquid contact part

KSPE_2021_v38n6_405_f003.jpg
Fig. 4

Completed chemical liquid contact part and description

KSPE_2021_v38n6_405_f004.jpg
2.2 제어기 개발
하나의 제어기에서 6채널의 자동 유량 제어장치를 사용할 수 있도록 설계하였다. 반도체 공정용 설비는 작은 공간에 많은 부품이 배치되어 있어 최대한 유량 제어장치의 크기가 작아야 유리하다. 따라서 기존 기술의 1대 1 구조에서 6채널 구조로 설계하여 한 챔버에 제어기 1개 또는 2개로 모든 약액을 제어할 수 있도록 개선하였다. 작은 공간에 많은 양의 전자부품이 배치되어 발생하는 발열량을 줄였으며, 후면에 팬을 장착하여 제어기 내부 열이 정체되는 현상을 방지하였다. 전면에는 제어기의 상태를 확인할 수 있는 디스플레이 LED를 장착하였고, 채널 주소 설정용 스위치와 기능 설정용 스위치를 설치하여 별도의 소프트웨어 없이 간단한 조작이 가능하도록 설계하였다. 상부에 초음파 센서 연결 커넥터와 유량 제어용 아날로그 출력 및 On/Off 제어 출력 포트를 배치하여 설치의 용이성을 증대시켰다. Fig. 5(a)는 Power & Display PCB이다. 제어기에 사용되는 전원을 만들고, 사용자가 모니터링 및 기능 설정을 할 수 있는 하드웨어가 설치되어 있다. 그리고 전면부에 전원 및 통신 연결 커넥터를 배치하여 설비의 상위 제어기와 연결한다. Fig. 5(b)는 메인 PCB로 유량 계측 및 유량 제어, 데이터 연산 및 통신 기능을 수행하며 메인 PCB 1장에서 2개의 유량 제어장치를 사용할 수 있는 구조이다. Fig. 5(c)는 제어기의 PCB가 조립된 형태를 나타낸다. Power & Display PCB 1장에 메인 PCB 3장이 연결되는 구조로 Power & Display PCB에서 각각의 Main PCB에 전원을 공급하며 서로 RS-485 통신을 이용하여 데이터를 주고받는 구조이다. Fig. 6은 완성된 제어기이다. Table 1은 완성된 제어기의 사양으로 전원은 DC24V를 사용하며 정압 밸브 제어용 출력은 4-20 mA로 제어한다. 상위 제어기와 통신은 RS-485 통신으로 목표 유량 및 제어 유량을 송수신한다.
Fig. 5

PCB and assembly structure of the completed controller

KSPE_2021_v38n6_405_f005.jpg
Fig. 6

Completed controller in this study

KSPE_2021_v38n6_405_f006.jpg
Table 1

Specifications of the completed controller

Table 1
Section Specification
Power supply voltage DC+24V
Current consumption [W] 25.2 (6 channel)
Output signal [mA] 4-20
Weight [g] 290 (6 channel)
Size 50(W) × 126(L) × 79.5(H)
Communication standard RS485 (Modbus)
Operating environment temperature [oC] 0-50
Waterproof rating IP20
3.1 유량 제어 Flow-chart
Fig. 7은 본 논문에서 연구한 유량 제어 Flow-chart이다. 상위 제어기에서 웨이퍼에 토출해야 하는 시점에 자동 유량 제어장치에 토출 신호를 입력한다. 토출 신호를 입력 받은 유량 제어장치는 On/Off 밸브에 공압을 인가하여 유량을 토출한다. 이때 제어기에 설정된 시간(0.5초) 동안 제어하지 않고, 정압 밸브는 Pre-open 상태로 대기한다. Pre-open이란 제어 밸브의 유로를 토출하고자 하는 유량에 필요한 유로의 90%를 사전에 개방하여 유량 제어속도 및 제어 안정성을 높이는 기능으로 본 연구에서 최초로 개발하여 반도체 제조공정용 자동 유량 제어장치에 적용하였다. Pre-open 기능에 대해서는 다음절에 설명하겠다.
Fig. 7

Flowchart of improved flow control

KSPE_2021_v38n6_405_f007.jpg
0.5초 동안 무 제어 상태로 대기한 후 현재 유량을 계측하여 설정 유량보다 작다면 Start-Control-Value라 칭한 고속 제어 모드로 유량을 제어한다. 만약 설정 유량보다 많은 유량이 계측되거나 Start-Control-Value 적용 최대시간(2초)을 초과했다면 Start-Control-Value 제어 모드 적용을 마치고 Stabilization-Control-Value와 Unstabilization-Control-Value 두 제어속도 중 하나를 택하여 제어한다.
이때 Stabilization-Control-Value는 저속제어 모드이고, Unstabilization-Control-Value는 중속제어 모드이다. 저속 및 중속 제어 모드의 선택 기준은 현재 유량이 목표 유량 대비 ±2% 오차 이내로 제어되는지 여부이다. 현재 제어 유량이 목표 유량의 ±2% 오차 이내로 제어되고 있으면 안정화 제어 구간으로 인식하고, Stabilization-Control-Value를 적용하여 저속으로 제어한다. 현재 제어 유량이 설정 유량의 ±2% 오차 이내로 제어되고 있지 않다면 Unstabilization-Control-Value로 제어하여 빠르게 안정화 구간에서 제어되도록 제어속도를 자동으로 증가시킨다. 그리고 제어 초기 빠른 제어 반응속도를 위해 Start-Control-Value 제어는 15 ms 인터벌 제어를 하며, 그 외 제어는 50 ms 인터벌 제어한다.
Fig. 8은 800 mL/min 유량을 제어한다고 가정했을 때 계측되는 유량별 적용되는 제어속도를 나타낸 것이다. 토출 시작 후 0.5초 동안 제어하지 않고 대기한다. Fig. 8에서 적색 실선으로 표시한 부분까지가 무제어 구간이다. 토출 후 목표 유량보다 작은 유량이 계측된다면 Start-Control-Value로 제어하는데 Fig. 8에서 황색 실선으로 표시한 구간까지를 말하여, 이때 고속으로 제어한다. 이후 두 가지 제어 모드로 제어하는데 안정화 구간이내일 때는 청색 실선으로 표기한 시점부터를 말하며 저속제어를, 안정화 구간 이외일 때는 녹색 실선부터 청색 실선 사이로 중속제어를 하게 된다.
Fig. 8

Applied control speed for each measurement flow section

KSPE_2021_v38n6_405_f008.jpg
3.2 PI 유량 제어 알고리즘
일반적인 추종제어에서 제어 성능을 향상하기 위해 PID 제어 방식을 사용하지만, 반도체 공정용 유량 제어의 경우 유량 공급 시 압력의 급격한 헌팅 현상으로 인한 유량값의 급격한 변화로 PID 제어 방식을 채택할 때 오히려 제어에 의한 발진 현상이 발생할 수 있기 때문에 본 연구에서는 PI 제어만 활용하여 유량 제어 성능을 개선하였다.
정압 밸브를 적용한 자동 유량 제어장치는 제어 공압과 약액 공급압력, 정압 밸브 내부 스프링의 탄성력 등에 영향을 받아 제어목표 유량에 따라 민감한 제어 반응을 보인다. 따라서 제어하고자 하는 유량에 맞는 적절한 제어속도를 설정할 필요가 있다.
제어 출력값을 계산하는 방법은 식(1)식(2)와 같이 계산된다. 식(1)은 적분 제어 방식으로 제어에 활용되는 피드백 센서값은 계측되는 유량값을 활용한다. 목표 유량(fT)에서 현재 계측 유량(fM)을 빼고 그 값에 과거 계산의 나머지(Re2)를 더한다. 이렇게 구해진 분자를 I 제어 게인(Ki)으로 나누어 몫(Qu)과 나머지(Re1)를 구한다. 식(1)의 계산은 제어 주기마다 실행되며 Start-Control-Value가 적용되는 구간에서는 15 ms마다 실행되고, 이후부터는 50 ms마다 계산된다. 구해진 몫은 P 제어 게인(Kp)을 곱하여 제어 출력값(Cv)으로 사용되며 전공 레귤레이터에 4-20 mA 신호로 환산하여 제어에 사용된다.8
(1)
Qu+Re1=fT-fM+Re2/Ki
(2)
Cv=Qu×Kp
800 mL/min의 유량을 목표 유량으로 제어를 한다고 예로 든다. 제어 초기 계측 유량은 650 mL/min로 계측되었고, Ki가 200으로 설정되어 있다면 식(1)에 의해 (800–650+0)/200 = 0+150으로 계산된다. 이때 몫은 0이고, 나머지는 150이므로 몫이 0이기 때문에 출력값이 계산되지 않아 제어하지 않는다. 초기 제어이므로 15 ms 이후 다시 계측 유량을 이용하여 제어 출력값을 계산한다. 계측 유량이 700 mL/min으로 증가하였다면 식(1)에 의해 (800-700+150)/200 = 1+50으로 비로소 몫이 1이 되었다. 따라서 식(2)에 의해 1 ×Kp한 제어 출력값이 전류로 환산되어 전공 레귤레이터의 공압을 변화시킬 것이다. 또 15 ms 시간이 경과되어 제어 출력값을 계산할 때 계측 유량이 750 mL/min으로 계측되었다면 식(1)에 의해 제어 출력값의 몫과 나머지는 0+100과 같이 계산되며 다시 몫이 0이므로 밸브는 제어되지 않고 정지한다.
예에서 볼 수 있듯이 목표 유량에 근접한 유량이 계측된다면 본 제어 방식을 적용하였을 때 제어 출력값은 느리고 작게 변화할 것이며, 목표 유량과 계측 유량의 차이가 크다면 제어 출력값은 빠르고 크게 변화할 것이다.
제어 게인 값은 토출해야 하는 목표 유량값에 따라 다르게 적용되어야 안정적인 제어가 가능하다. 식(3)부터 식(5)는 목표 유량값에 따라 자동으로 변경되는 비례제어 게인을 계산하는 식으로 각각의 목표 유량마다 다르게 게인값이 적용됨을 볼 수 있다.
(3)
Kp=fT×2/100:Target flow rate 601-1,200 mL/min
(4)
Kp=fT/100+2:Target flow rate 1,201-1,800 mL/min
(5)
Kp=fT/100-3:Target flow rate 1,801-2,500 mL/min
목표 유량마다 최적의 비례제어 게인 값을 산출하기 위해 실험을 진행하였다. 800부터 2,000 mL/min까지 400 mL/min씩 목표 유량을 증가시켜가며 실험하였고, 비례제어 게인값을 1, 5, 10, 15, 20, 30, 40, 50씩 가변하며 유량 제어 성능을 확인하였다. 유량 데이터는 0.25초마다 기록하여 분석하였다.
Fig. 9식(3)부터 식(5)까지를 산출하기 위해 실험한 비례제어 게인값에 따른 제어 반응 그래프이다. 그래프에서 볼 수 있듯이 P 게인 값이 크면 제어에 의한 오버슛이 발생하며, P 게인 값이 작으면 제어 반응속도가 느려 목표 유량을 제어하는데 걸리는 시간이 길게 소요된다. 이러한 P 게인 값에 대한 응답은 동일 게인값이더라도 제어목표 유량값에 따라 제어 성능이 달라지는 것을 볼 수 있다. 이는 정압 밸브가 유량을 제어하기 위해 인가되는 공압과 약액 공급압력, 정압 밸브 내부 스프링의 탄성력간 성호 작용으로 제어목표 유량에 따라 공압과 유로 개방량이 정비례하지 않는 탓이다.
Fig. 9

Experiment results of flow rate control performance according to target flow rate and Kp (Proportional control gain)

KSPE_2021_v38n6_405_f009.jpg
Fig. 10식(1)의 Ki의 제어목표 유량에 대한 적정 값을 산출하기 위해 실험한 적분 제어 게인값에 따른 제어 반응 그래프이다. 실험은 비례제어 게인 값 산출 실험과 같은 방법으로 진행하였으며, 적분 제어 게인값은 50, 75, 100, 150, 200, 250, 300, 400으로 설정하여 가변하며 실험하였다. 그래프에서 볼 수 있듯이 적분 제어 게인값이 작으면 제어에 의한 오버슛이 발생하며, 적분 제어 게인값이 크면 제어 반응속도가 느려 목표 유량을 제어하는데 걸리는 시간이 길게 소요된다. 적분 제어 게인값에 대한 응답도 비례제어 게인값과 마찬가지로 동일 게인값이더라도 제어 목표 유량값에 따라 제어 결과가 달라지는 것을 볼 수 있다.
Fig. 10

Experiment results of flow rate control performance according to target flow rate and Ki (Integral control gain)

KSPE_2021_v38n6_405_f010.jpg
본 실험에서 목표 유량마다 적정 게인값을 찾아내어 목표 유량값이 변경될 때마다 안정적 제어가 가능하도록 유량 제어 성능을 개선하였다. 목표 유량값을 상위 제어기로부터 받아 제어할 때 자동 유량 제어장치의 제어기에서 자동으로 최적의 유량 제어속도를 설정하여 제어하도록 설계하였다. 따라서 각각의 제어 목표 유량에 따라 적절한 게인 값의 설정으로 안정적 제어가 가능하다.9
3.3 측정값 및 제어량 자동 맵핑(Mapping)
측정값, 제어량 맵핑 기능이란 밸브 제어량에 따른 밸브에 흐르는 유량값을 맵핑하여 유량 제어 시 목표 유량 대비 90%의 유로를 미리 확보하기 위한 기능이다. 맵핑 기능을 실행하면 유량 제어장치는 약액을 토출하며 측정된 유량값과 밸브 제어량을 메모리에 저장한다. 이때 제어 가능 범위를 10등분한 목표 유량을 자동으로 가변하며 각각의 유량을 제어하는데 필요한 제어량을 정해진 저장 공간에 맵핑하게 된다. 예를 들어 800 mL/min의 유량을 제어하기 위해 필요한 제어량이 10 mA 출력으로 맵핑되었다면 약액을 토출하기 전 10 mA의 90%인 9 mA의 전류 출력을 통해 정압 밸브를 목표 유량을 제어하는데 필요한 유로의 90%를 확보해놓고 유량을 제어하는 방식이다.
유량 제어장치가 설치된 설비마다 맵핑에 의해 저장된 측정값과 제어량은 상이하다. 왜냐하면 설비마다 약액 공급압력이 상이하며 유량 제어장치까지 설치되는 배관의 길이도 다르고, 노즐의 오리피스 사이즈도 각각 다르기 때문이다. 이러한 차이로 동일 유로만큼 밸브를 열어 유량을 제어하여도 실제 토출되는 유량은 다른다. 따라서 각각의 설비에 장착된 유량 제어장치를 가동 전 맵핑하여 최적의 제어 조건을 설정하여야 한다.
3.4 Pre-open 제어량 축소 기능
Pre-open 기능이란 Fig. 11과 같이 측정값 및 제어량 맵핑 기능에 의해 저장된 제어량을 이용하여 토출하고자 하는 목표 유량을 제어하는데 필요한 유로의 90%를 토출 전에 미리 개방하는 기능으로 토출 신호에 의해 제어를 시작할 때 이미 90%의 유로를 열어놓은 상태이므로 기존 기술 대비 제어량이 줄어 제어 반응속도가 빨라지고, 제어 안정성도 향상되는 기능이다. 기존 기술의 경우 제어 밸브가 완전 닫힘 상태에서 제어를 시작하기 때문에 제어속도가 느리고, 제어 초기 과도한 응답에 의해 오버슛이 발생한다. Pre-open 기능 적용 시 Fig. 11의 청색 파선으로 표시한 부분까지 유로를 사전 개방하였기 때문에 목표 유량을 제어하기 위해 가변해야 하는 유로의 제어량이 적어지므로 기존 기술의 느린 제어 응답성과 오버슛을 개선할 수 있다.
Fig. 11

Pre-open 90% of valve control value required for target flow control

KSPE_2021_v38n6_405_f011.jpg
Fig. 12는 유량별 최적의 Pre-open %값을 산출하기 위해 실시한 실험의 결과이다. 800부터 2,000 mL/min까지 400 mL/min씩 목표 유량을 증가시켜가며 측정값 및 제어량 맵핑 기능에 의해 저장된 유로의 Pre-open %를 80, 90, 100, 110%씩 가변하며 유량 제어속도 및 성능을 확인하였다. 유량 데이터는 0.25초마다 1회씩 모니터링하여 실험하였다. 실험 결과 100, 110%의 Pre-open 설정은 모든 유량대에서 제어 오버슛이 발생하였고, 80%의 Pre-open 설정은 제어 반응속도가 느려지는 것을 확인할 수 있었다. 실험 결과 최적의 Pre-open % 설정값은 90%로 확인할 수 있었다.
Fig. 12

Experiment results of flow rate control performance according to target flow rate and pre-open % value

KSPE_2021_v38n6_405_f012.jpg
Table 2는 Pre-open 설정값 산출 실험 결과를 정리한 것으로 80%는 제어속도가 목표한 2초보다 길게 소요되었고, 100, 110%는 토출 유량값이 증가할수록 오버슛값이 증가하여 목표 유량이 1% 이내 제어 안정성보다 큰 제어 오버슛이 발생하는 것을 확인하였다. 90%의 Pre-open 설정값이 모든 목표 유량에서 제어 속도 2초 이내의 제어속도를 확인할 수 있었으며, 제어 안정성은 목표 유량의 1% 이내로 제어가 가능하여 최적의 Pre-open 값으로 설정하였다. 이처럼 Pre-open 기능에 의해 사용 가능한 모든 유량대에 목표한 제어속도 및 안정성을 확보할 수 있었다.
Table 2

Settling time and overshoot flow rate difference due to Pre-open %, show the at 90% value with optimal control performance

Table 2
Target flow rate [mL/min] 800 1,200 1,600 2,000
80%
Pre-open
Overshoot flow rate
[mL/min]
5 4 5 1
Target arrival time [s] 2.0 2.0 2.5 2.0
90%
Pre-open
Overshoot flow rate
[mL/min]
2 3 2 0
Target arrival time [s] 2.0 2.0 1.25 1.5
100%
Pre-open
Overshoot flow rate
[mL/min]
8 40 69 0
Target arrival time [s] 1.25 1.25 1.25 2.0
110%
Pre-open
Overshoot flow rate
[mL/min]
45 98 96 43
Target arrival time [s] 1.25 1.25 1.25 1.0
4.1 성능검증 실험장치
본 연구에서 얻어진 성과물의 성능검증을 위해 실험장치를 제작하여 실험하였다. 반도체 제조설비에 장착하여 실험하는 것이 성능검증에 최적일 것이나 반도체 제조사의 반도체 생산 기술 유출 방지를 위한 엄격한 보안때문에 실제 사용하는 생산설비에 장착하여 실험할 수 없다. 따라서 반도체 제조설비와 동일한 환경으로 실험장치를 구성하여 실험을 진행하였다.
Fig. 13은 성능검증 실험장치이다. 밸로우즈 펌프를 사용한 약액 공급장치를 제작하였고, 노즐에 마스터 정밀 저울을 설치하여 토출되는 약액의 무게를 측정하였다. 개발한 자동 유량 제어장치는 노즐과 연결되는 1/4 inch 배관에 설치하였다. 유량 제어장치의 제어 파라미터 설정 및 제어 유량 모니터링을 위해 PC를 사용하였고, PC와 유량 제어장치는 RS-485 통신을 이용하여 데이터를 주고받도록 제작하여 실험하였다. 약액 가열 온도와 현재 온도를 모니터링하기 위해 온도계와 히터를 장착하였고, 공급되는 DIW (Deionized Water) 압력 확인용 압력계를 노즐 연결 배관에 장착하여 확인하였다. 실험 환경 온도는 23±1oC, 습도는 50±1%, DIW의 온도는 70±1oC로 설정하여 실험하였다.
Fig. 13

Experiment device for performance verification

KSPE_2021_v38n6_405_f013.jpg
4.2 성능검증 실험 결과

4.2.1 제어 안정화 시간 확인 실험

자동 유량 제어장치가 목표 유량을 제어하는데 소요되는 시간을 측정하는 실험을 진행하였다. 800 mL/min으로 목표 유량을 설정하여 실험하였고, 실험 시료는 총 5개를 실험하여 실험에 신뢰성을 확보하였다. 유량을 토출하기 시작하여 목표 유량의 ±1% 이내로 제어될 때까지 소요시간을 측정하였다. 측정 데이터는 0.25초마다 기록하였다.
Fig. 14Table 3은 실험 결과이다. 실험 결과 목표하였던 2초 이내에서 안정화되는 것을 확인할 수 있었다. 이는 본 연구에서 개발한 Pre-open 및 맵핑 기능에 의한 것으로, 기존 기술의 제어 안정화 시간 3초보다 1초 이상 빠른 제어 응답성을 확보하였다.
Fig. 14

Experiment results of settling time

KSPE_2021_v38n6_405_f014.jpg
Table 3

Experiment results of settling time

Table 3
Sample No. Control time [s]
1 1.5
2 1.5
3 2
4 1.75
5 2

4.2.2 토출 중 압력 변화 제어 실험

토출 중 압력 변화 제어 실험은 본 연구에서 개발한 유량 제어장치의 압력 변화에 대한 제어 안정성 여부를 확인하는 실험이다. 실험은 총 2회에 걸쳐 진행하였고, 가변되는 압력의 범위는 최대 50 kPa 이상 가변되도록 약액 공급압력을 변화시켰다. 압력 변화 시간은 1초 이내로 급격한 압력 변화를 발생시켜 제어 속도 및 안정성을 검증하였다. 실험 유량은 여러 노즐 동시 토출 시 압력 변화가 심한 고유량대로 1,600 mL/min 유량을 설정하여 실험하였다.
실험 결과는 Fig. 15Table 4와 같다. 최대 압력 변화가 64 kPa 발생하여도 두 번의 실험 모두 자동 제어 유량의 변화는 목표 유량의 1% 이내로 안정적으로 제어되었다. 첫 번째 실험의 제어 유량 변동값은 14 mL/min이었으며, 두 번째 실험의 제어 유량 변동값은 11 mL/min으로 확인되었다. 압력 변화에 대하여 본 논문에서 연구한 유량 제어장치는 유량 제어속도 및 성능에 영향을 적게 받는 것으로 확인할 수 있었다.
Fig. 15

Experiment results of pressure change control

KSPE_2021_v38n6_405_f015.jpg
Table 4

Experiment results of pressure change control

Table 4
Test step First Second
Parameter
Stability [%] 0.875 0.6875
Control time [s] 2 2
Maximum flow rate [mL/min] 1,612 1,611
Minimum flow rate [mL/min] 1,586 1,589
Max pressure change [kPa] 64 60

4.2.3 제어 안정성 확인 실험

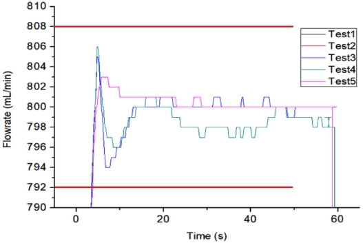
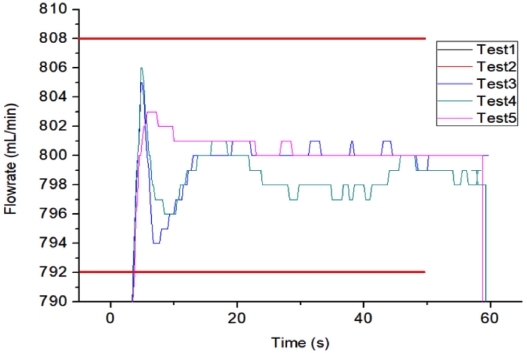
제어 안정성 확인 실험에서는 자동 유량 제어장치의 제어 오차 및 약액 공급압력 변화에 의한 오버슛 현상이 발생하는지 여부를 확인하였다. 제어목표 유량은 800 mL/min을 설정하여 실험하였고, 실험 시료는 총 5개를 제작하여 실험하였다. 목표 유량을 토출하여 2초부터 60초까지의 유량을 0.25초 단위로 측정하고 이 값을 이용하여 최소유량, 최대유량, 평균을 산출하였다. 최소유량, 최대유량, 평균을 이용하여 제어 안정성 값을 계산하였다.
Fig. 16Table 5는 실험 결과이다. 실험 결과 모든 시료에서 목표 유량의 1% 이내 제어 안정성을 확인하였다. Fig. 16 그래프의 적색 실선은 본 연구에서 제어 안정성 부분 개선 목표로 한 목표 유량 1% 이내를 표시한 것으로 검증 실험 결과 모든 실험에서 목표치 이내의 안정적인 제어가 가능함을 확인하였다.
Fig. 16

Experiment results of automatic flow control stability at 800 mL/min target flow rate

KSPE_2021_v38n6_405_f016.jpg
Table 5

Experiment results of automatic flow control stability

Table 5
Sample No. Control stability [%]
Maximum Minimum
1 0.53 -0.60
2 0.53 -0.60
3 0.67 -0.71
4 0.92 -0.46
5 0.32 -0.55
본 연구에서는 반도체 제조 공정용 자동 유량 제어장치의 제어 반응속도 성능을 향상하기 위해 정압 밸브를 적용한 자동 유량 제어장치를 개발하였다. 자동 유량 제어장치의 개선을 위해 접액부 및 제어기를 개발하였으며, 제어 방식을 연구하여 제어 성능을 향상할 수 있었다. 계측 유량 구간별 자동 제어속도 적용 알고리즘 및 PI 제어 알고리즘 연구, 측정값 및 제어량 맵핑 기능, Pre-open 기능을 개발하여 제어 반응 시간 축소 및 제어 안정성 확보가 가능하였다.
개선된 유량 제어속도 성능검증을 위해 제어 안정화 시간 확인 시험, 유량 제어 중 압력가변 시험, 제어 안정성 확인 시험을 진행한 결과 다음과 같은 결론을 얻을 수 있었다.
제어 안정화 시간 확인 실험 결과 제어 안정화 시간은 2초 이내로 기존 기술의 유량 제어장치 대비 약 1초 이상 향상된 제어 반응속도를 확인하였고, 토출 중 압력 변화 시험 결과 최대 64 kPa의 순간 압력 변화를 주었을 때 목표 유량의 1% 이내의 제어 안정성을 확인하였다. 제어 안정성 확인 실험 결과 토출 On 시점부터 Off 시점까지 전 유량 제어 구간에서 목표 유량의 1% 이내의 안정적 제어가 가능하였다.
이상과 같이 본 연구를 통해 기존 기술의 한계를 개선한 자동 유량 제어장치를 개발할 수 있었으며, 이를 반도체 제조공정에 적용할 때 반도체 식각 및 세정공정에서 높은 생산성과 품질을 확보할 수 있을 것으로 기대한다. 그리고 반도체 제조공정용약액 제어와 관련된 부품의 외산 의존도가 높은 구조를 개선할 수 있고, 현재 약 80% 이상의 일본 수입에 의존하고 있는 고가의 자동 유량 제어장치의 원가를 약 50% 이상 절감하는 효과를 가져오게 되어 수출 규제에 대한 대응은 물론 한국 반도체 제조 장비의 가격 경쟁력을 높이게 될 것이다. 마지막으로 반도체 제조공정뿐만 아니라 유사 공정인 LCD, LED 제조공정에도 본 연구 기술의 확대 적용이 가능할 것으로 판단한다.
이 연구는 2020년도 극동대학교 교내연구비 지원에 의하여 수행하였습니다(No. FEU2020S05).
  • 1.
    Bae, I. J. and Lee, E. S., “Improvement of Measuring Stability of Amplitude Attenuation by the Bubble in Ultrasonic Flow-Meter for Semiconductor Process,” Journal of the Korean Society for Precision Engineering, Vol. 36, No. 9, pp. 843-849, 2019.
    10.7736/KSPE.2019.36.9.843
  • 2.
    Bae, I. J., “Improvement of Measurement Error by Chemical Solution Temperature Change Using Waveform A/D Conversion of Ultrasonic Flow-Meter for Semiconductor Manufacturing Process,” Journal of the Korean Society of Manufacturing Technology Engineers, Vol. 28, No. 5, pp. 306-312, 2019.
    10.7735/ksmte.2019.28.5.306
  • 3.
    Kim, J. W., Hong, K. J., Cho, H. C., Kim, K. S., Kim, D. Y., et al., “A Study on Design of Intelligent Wet Station for Semiconductor,” Journal of the Semiconductor & Display Technology, Vol. 4, No. 3, pp. 29-33, 2005.
  • 4.
    Gu, X. and Cegla, F., “The Effect of Internal Pipe Wall Roughness on the Accuracy of Clamp-On Ultrasonic Flowmeters,” IEEE Transactions on Instrumentation and Measurement, Vol. 68, No. 1, pp. 65-72, 2018.
    10.1109/TIM.2018.2834118
  • 5.
    Yun, S. and Lee, K., “Digital Control of Electro-Pneumatic Regulator with Two Piezoelectric Microvalves,” Journal of Drive and Control, Vol. 5, No. 2, pp. 17-23, 2008.
  • 6.
    Lee, G. H., Lee, E. S., Lee, M. K., Kim, J. S., and Bae, I. J., “Internal Flow Analysis and Structural Design in Plastic Automatic Control Valve for the Semiconductor Chemical Liquid,” Journal of the Korean Society of Manufacturing Technology Engineers, Vol. 21, No. 2, pp. 311-315, 2012.
    10.7735/ksmte.2012.21.2.311
  • 7.
    Kim, W., Kim, J. I., Chung, K. Y., Park, P. W., and Ha, C. S., “Property Optimization for Flame Retardant ABS/PVC Blends by Controlling Butadiene Contents,” Polymer (Korea), Vol. 21, No. 3, pp. 456-466, 1997.
  • 8.
    Jung, G. H., “Auto Tuning of Position Controller for Proportional Flow Control Solenoid Valve,” Transactions of the Korean Society of Mechanical Engineers A, Vol. 36, No. 7, pp. 797-803, 2012.
    10.3795/KSME-A.2012.36.7.797
  • 9.
    Kang, I. C., Choi, S. M., and Cho, J. S., “A Study on the Permissible Gain Ranges of the P and PI Controllers for the Retarded Processes,” Journal of Advanced Marine Engineering and Technology, Vol. 25, No. 5, pp. 1086-1090, 2001.
Il Jin Bae
KSPE_2021_v38n6_405_bf001.jpg
Assistant Professor in the Department of Semiconductor Equipment Engineering, Far East University. His research interest is flow controller.

Download Citation

Download a citation file in RIS format that can be imported by all major citation management software, including EndNote, ProCite, RefWorks, and Reference Manager.

Format:

Include:

Control Speed Improvement of Chemical Liquid Flow Control Device for Semiconductor Manufacturing Process
J. Korean Soc. Precis. Eng.. 2021;38(6):405-415.   Published online June 1, 2021
Download Citation

Download a citation file in RIS format that can be imported by all major citation management software, including EndNote, ProCite, RefWorks, and Reference Manager.

Format:
Include:
Control Speed Improvement of Chemical Liquid Flow Control Device for Semiconductor Manufacturing Process
J. Korean Soc. Precis. Eng.. 2021;38(6):405-415.   Published online June 1, 2021
Close

Figure

  • 0
  • 1
  • 2
  • 3
  • 4
  • 5
  • 6
  • 7
  • 8
  • 9
  • 10
  • 11
  • 12
  • 13
  • 14
  • 15
Control Speed Improvement of Chemical Liquid Flow Control Device for Semiconductor Manufacturing Process
Image Image Image Image Image Image Image Image Image Image Image Image Image Image Image Image
Fig. 1 Flow rate control comparison of manual and automatic flow rate control devices, (a) Flow rate change by pressure change of manual flow rate control device, (b) Pressure change flow rate control performance of automatic flow rate control device for motor valve, and (c) Single target flow control in manual flow rate control device
Fig. 2 Block diagram of improved flow rate control device
Fig. 3 3D design and structure of chemical liquid contact part
Fig. 4 Completed chemical liquid contact part and description
Fig. 5 PCB and assembly structure of the completed controller
Fig. 6 Completed controller in this study
Fig. 7 Flowchart of improved flow control
Fig. 8 Applied control speed for each measurement flow section
Fig. 9 Experiment results of flow rate control performance according to target flow rate and Kp (Proportional control gain)
Fig. 10 Experiment results of flow rate control performance according to target flow rate and Ki (Integral control gain)
Fig. 11 Pre-open 90% of valve control value required for target flow control
Fig. 12 Experiment results of flow rate control performance according to target flow rate and pre-open % value
Fig. 13 Experiment device for performance verification
Fig. 14 Experiment results of settling time
Fig. 15 Experiment results of pressure change control
Fig. 16 Experiment results of automatic flow control stability at 800 mL/min target flow rate
Control Speed Improvement of Chemical Liquid Flow Control Device for Semiconductor Manufacturing Process

Specifications of the completed controller

Section Specification
Power supply voltage DC+24V
Current consumption [W] 25.2 (6 channel)
Output signal [mA] 4-20
Weight [g] 290 (6 channel)
Size 50(W) × 126(L) × 79.5(H)
Communication standard RS485 (Modbus)
Operating environment temperature [oC] 0-50
Waterproof rating IP20

Settling time and overshoot flow rate difference due to Pre-open %, show the at 90% value with optimal control performance

Target flow rate [mL/min] 800 1,200 1,600 2,000
80%
Pre-open
Overshoot flow rate
[mL/min]
5 4 5 1
Target arrival time [s] 2.0 2.0 2.5 2.0
90%
Pre-open
Overshoot flow rate
[mL/min]
2 3 2 0
Target arrival time [s] 2.0 2.0 1.25 1.5
100%
Pre-open
Overshoot flow rate
[mL/min]
8 40 69 0
Target arrival time [s] 1.25 1.25 1.25 2.0
110%
Pre-open
Overshoot flow rate
[mL/min]
45 98 96 43
Target arrival time [s] 1.25 1.25 1.25 1.0

Experiment results of settling time

Sample No. Control time [s]
1 1.5
2 1.5
3 2
4 1.75
5 2

Experiment results of pressure change control

Test step First Second
Parameter
Stability [%] 0.875 0.6875
Control time [s] 2 2
Maximum flow rate [mL/min] 1,612 1,611
Minimum flow rate [mL/min] 1,586 1,589
Max pressure change [kPa] 64 60

Experiment results of automatic flow control stability

Sample No. Control stability [%]
Maximum Minimum
1 0.53 -0.60
2 0.53 -0.60
3 0.67 -0.71
4 0.92 -0.46
5 0.32 -0.55
Table 1 Specifications of the completed controller
Table 2 Settling time and overshoot flow rate difference due to Pre-open %, show the at 90% value with optimal control performance
Table 3 Experiment results of settling time
Table 4 Experiment results of pressure change control
Table 5 Experiment results of automatic flow control stability