ABSTRACT
In this study, the deformation of a large industrial door subjected to wind load was investigated through computational fluid dynamic and structural analyses. The model for the structural analysis was simplified by considering the PVC curtain and wind bar in the shape of the actual door. The pressure distribution acting on the front of the door was obtained from computational fluid dynamic analysis and the deformation of the door was obtained from structural analysis. According to the results, the pressure distribution was not uniform on the front of the door and varied depending on the location. The distribution of the deflection in the wind bar was obtained and it was found that the position of the maximum deformation occurred slightly above the center of the door. Finally, the deformation of the door could be predicted by analyzing the deflections of the wind bar subjected to different wind speeds through regression analysis.
-
KEYWORDS: Industrial door, Wind bar, Computational fluid dynamic analysis, Structural analysis, Regression analysis
-
KEYWORDS: 산업용 도어, 윈드바, 전산유동해석, 구조해석, 회귀분석
1. 서론
산업용 도어는 공장이나 물류 창고와 같은 건축물 내부의 환경을 외부로부터 유지시키고, 내부에서 발생하는 먼지와 악취 등을 외부와 차단하기 위해 설치한다. 최근에는 높아진 물류 산업의 수요와 대형 장비의 요구에 따라 점차 대형 산업용 도어의 수요가 증가하고 있으며 산업용 도어의 대형화로 인해 도어의 구조 안전성 확보가 중요한 관심사로 되고 있다. 산업용 도어는 주로 풍하중을 받기 때문에 풍하중을 받는 도어의 거동이나 구조 안전성에 대한 이해가 요구되고 있다.
1,2 대형 구조물은 풍하중에 대한 구조 안전성이 매우 중요하며 대표적으로 빌딩과 같은 고층 건물은 내풍 설계가 행해지고 있다. 특히 건물의 횡 변위를 일정 수준 이하로 유지하는 것이 설계 목표 중 하나로 되어왔다.
3,4 이러한 건물들은 건축 구조 기준에 의해 풍하중을 평가하여 내풍 설계가 이루어진다. 건물의 폭과 깊이 그리고 높이에 의해 결정되는 형상비에 따라 특정 구조물의 경우 풍동 실험을 통해 얻은 풍하중을 설계에 반영하게 되어있다. Ryu
5 등은 풍력 실험으로부터 얻은 건축물의 응답 변위를 이용하여 두 가지 방법으로 풍하중을 평가하여 비교하였다. 첫 번째 방법은 변동 풍하중의 최댓값을 층 강성과 층 변위의 곱으로 계산하게 되는데 계산을 수행할 때 비공진 성분에 건물의 특성인 모드 형상이 적용되는 문제를 내포하고 있다. 두 번째 방법은 첫 번째 방법이 갖는 문제를 해결하기 위해 변동 풍하중의 최댓값을 공진 성분과 비공진 성분으로 나누어 계산한다. 연구 결과에 따르면 형상비가 높을수록 두 평가 방법에 따른 풍하중의 차이가 줄어들었으며 두 번째 평가 방법이 첫 번째 방법에 비해 자연 현상과 더 유사하게 평가되기 때문에 합리적인 평가 방법으로 간주하였다. Zhang
6 등은 고층 빌딩 모델의 유효성을 입증하거나 교정하기 위해 많이 사용되는 CAARC (Commonwealth Advisory Aeronautical Research Council) 표준 고층 빌딩 모델을 사용하여 바람에 의한 고층 건물의 진동을 전산유동해석과 모달해석을 수행하였으며 풍동 실험을 통해 결과를 비교하였다. 연구 결과에 따르면 공력 감쇠를 고려한 경우 실험값이 예측값에 가장 잘 근사하였으며 CAARC 빌딩의 모델링에는 프레임 요소를 사용하는 것이 바람직함을 보였다.
이와 같이 건축물의 경우 건축 구조 기준에 의해 풍하중을 실험적으로 평가할 수 있으며 풍하중에 의한 구조물의 진동 및 변형 거동 등이 CFD (Computational Fluid Dynamics)를 통해 해석적인 접근 방법으로 활발히 연구되었다. 그러나 건축물과는 다르게 산업용 도어의 경우 풍하중에 대한 설계 기준이나 시험 방법, 그리고 안전성 평가 기법 등 세부적인 기준이 마련되어 있지 않다. 또한 설치 조건을 고려하여 안전성을 평가하기 위해 실제 대형 산업용 도어를 시험하기에는 크기, 장소, 비용 등의 현실적인 어려움이 있다. 따라서 풍하중을 받는 산업용 도어의 거동을 알아보기 위해서는 해석적인 연구가 수행될 필요가 있다. 산업용 도어의 해석적인 연구로 Bae
7 등은 풍하중에 의한 윈드바의 변형을 고려한 고속 롤업 도어의 설계에 대한 연구를 수행하였다. 이들은 고속 롤업 도어의 비선형 유한요소모델을 제작하고, 빔 이론과 비교하여 모델을 검증하였다. 또한 3단계의 풍속에 대해 윈드바의 수평 및 수직 변위를 계산하여 윈드바의 굽힘 강성과 변위 사이에 비선형적 관계가 있음을 보였다. Agelaridou-Twohig
8는 허리케인이 발생하기 쉬운 지역에 설치된 산업용 도어의 풍하중에 대한 응답을 조사하기 위해 Abaqus를 이용하여 일반적인 강철 재질의 도어에 윈드바가 없는 경우와 수평 윈드바가 있는 경우 그리고 수평 및 수직 윈드바가 있는 경우에 대하여 해석을 수행하였다. 연구 결과에 따르면 윈드바가 없는 경우에도 풍하중에 대한 저항이 있었으나 수평 및 수직 윈드바가 설치되는 경우 내풍압 성능이 5배까지 향상됨을 보였다.
이와 같은 기존의 선행연구에서는 바람에 의해 발생하는 풍압 분포가 균일하다고 가정하여 해석을 진행하였다. 그러나 실제 도어 전면이 받는 풍압 분포는 균일하지 않기 때문에 풍압에 의한 산업용 도어 변형 거동을 정확하게 예측하기 위해서는 CFD를 이용하여 구조물에 작용하는 압력 분포를 예측하고, 이를 구조해석에 적용하여야 한다.
본 연구에서는 이러한 문제를 해결하고자 풍하중을 받는 대형 산업용 도어의 변형 거동을 CFD 및 구조해석을 통해 조사하였다. 해석에 사용된 모델은 PVC 커튼과 금속 소재의 윈드바 등으로 이루어진 대형 산업용 도어이다. 해석은 유동과 구조 연계 해석기법을 적용하여 도어의 전면에 작용하는 풍하중을 계산하고, 얻어진 풍하중을 하중 조건으로 적용하여 구조해석을 수행하였으며, 아울러 풍속의 변화에 따른 도어와 윈드바의 변형을 예측하였다.
2. 해석 모델 및 조건
2.1 해석 모델
Fig. 1에는 산업용 도어의 개략도와 윈드바 단면 형상이 나타나 있다. 산업용 도어는 폭 20, 높이 10 m인 대형 구조물로서 PVC 커튼과 알루미늄 윈드바로 구성된 도어 부분과 이를 고정하고, 상하로 개폐될 수 있도록 하는 레일 및 모터부로 이루어져 있다.
Fig. 1Schematic drawing of the industrial door and cross-section of the wind bar
도어는 로만 쉐이드 방식으로 윈드바 양 끝단에 조인트가 롤러와 연결되어 레일을 오르내리며 문을 개폐하게 된다. 윈드바는 1 m의 등간격으로 배치되어 있으며 윈드바 단면 정보는
Table 1에 나타나 있다. 본 연구에서는 해석을 위해 산업용 도어의 구조를 단순화하였다. 또한 유동해석 단계에서는 산업용 도어를 강체로 가정하여 풍하중에 대한 구조물의 변형은 무시하고 FSI (Fluid-Structure Interaction) 기법을 적용하여 해석을 수행하였다. 이때 풍속 조건은 40 m/s를 적용하였으며 유동해석을 통해 산업용 도어 전면에 발생하는 압력을 도출하고, 이를 하중 조건으로 구조해석을 수행하였다.
Table 1Information of cross-section of wind bar
Table 1
|
Height [mm] |
70 |
|
Width [mm] |
70 |
|
Area [mm2] |
1,004 |
|
Second moment of area [mm4] |
559,030 |
|
Bending rigidity [N·m2] |
39,132 |
2.2 유동해석 모델
구조물 전면에 가해지는 풍하중을 구하기 위해 ANSYS Fluent 2020 R2를 이용하여 유동해석을 수행하였다.
Fig. 2에는 유동장의 형상과 크기가 나타나 있다. 산업용 도어는 입구로부터 80 m 떨어진 지점에 위치하며 유동장은 속도 및 압력 구배가 유동장 벽면에 영향을 받지 않도록 충분한 크기가 되도록 설정하였다.
9 특히 해석에 소요되는 시간을 단축시키기 위해 유동 변화가 큰 구조물 주위에 요소를 집중적으로 생성하였으며 구조물과 멀리 떨어져 속도 및 압력 구배가 작은 부분에는 격자를 크게 생성하였다.
Table 2에는 유동해석에 적용된 조건들이 나타나 있으며
Fig. 3에는 유동해석에 적용된 격자가 나타나 있다.
Fig. 2Size of the domain
Table 2Condition of computational fluid dynamic analysis
Table 2
|
Turbulence model |
k-ε (Realizable) |
|
Element type |
Hexahedron |
|
Number of elements |
2,308,000 |
|
Time |
Steady |
|
Fluid |
Air (Ideal) |
|
Dimension |
3D |
Fig. 3CFD model and its elements
2.3 구조해석 모델
구조해석은 ANSYS Workbench 2020 R2를 사용하여 수행하였다. 산업용 도어에는 11개의 윈드바가 1 m 간격으로 배치되어 있으며 그 사이에는 PVC 커튼이 자리하고 있다. 실제 산업용 도어의 윈드바 양 끝단에는 조인트, 롤러 및 레일 등이 있지만 구조해석에는
Fig. 4와 같이 이들을 제외하고 간소화된 모델을 적용하였다. PVC 커튼은 윈드바 단면의 원형 홀에 파이프와 함께 삽입되어 마찰에 의해 고정되는 방식으로 이를 해석에 고려할 경우 접촉에 의한 비선형성이 과도하게 커지고, 해석의 수렴성도 저하될 수 있다. 이러한 문제점을 최소화하기 위해 윈드바를 빔 요소로 모델링하고, PVC 커튼은 쉘 요소로 모델링한 후 빔 요소와 쉘 요소의 절점을 일치시키는 방식으로 접촉을 단순화하였다.
10 Fig. 5에는 해석에 적용된 유한요소모델이 나타나 있다. 빔 요소에는 윈드바의 단면 정보를 입력하였으며
Table 3에는 해석에 적용된 PVC 커튼과 윈드바의 재료상수가 나타나 있다. 하중 조건은 유동해석에서 얻어진 압력 분포를 도어 전면에 매핑하여 입력하였다. 경계 조건으로는 최상단과 최하단 윈드바의 경우 모든 자유도를 구속하였고, 다른 윈드바의 양 끝단 역시 모든 자유도를 구속하여 실제보다 보수적인 경계 조건을 부여하였다.
Fig. 4Analysis model of the industrial door
Fig. 5FE model and elements
Table 3Material properties
Table 3
|
Young’s modulus [GPa] |
Poisson's ratio |
|
PVC curtain |
1.35 |
0.38 |
|
Wind bar |
71 |
0.33 |
3. 해석 결과
3.1 유동해석 결과
Fig. 6은 유동에 의해 산업용 도어의 전면에 발생한 압력 분포가 나타나 있다. 이때 1-9번은 지면으로부터 1 m 간격으로 9 m까지 배치되어 있는 위치이다. 여기에서 보면 전체적으로 중앙부에 큰 압력이 발생하고, 유동이 흘러 지나가는 가장자리 부근에서는 낮은 압력이 형성됨을 알 수 있다. 또한 큰 압력이 발생하는 중앙부에서는 도어 전면에서 발생하는 와류의 영향으로 3번과 4번을 기준으로 위와 아래로 나뉘어 발생함을 알 수 있다.
Fig. 7에는 산업용 도어 측면에서 관찰된 도어 주위의 한 단면에서의 Streamline이 나타나 있다. 여기에서 보면 유동이 도어와 부딪친 후 일부는 도어 전면 하단에서 와류를 형성하고, 나머지는 도어 상단으로 흘러가는 것을 알 수 있다. 이러한 영향으로
Fig. 6과 같은 도어 전면에 발생하는 압력 분포가 형성된다.
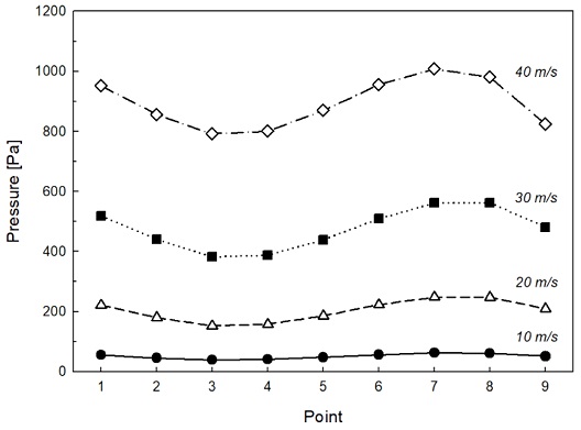
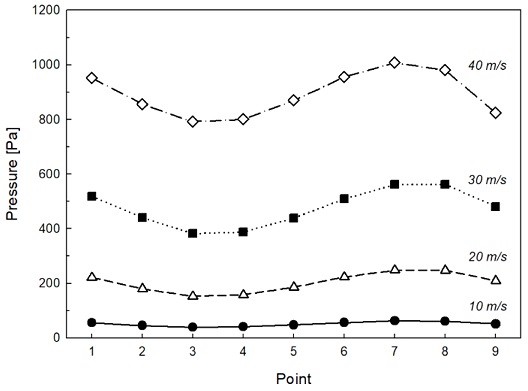
Fig. 8에는 1-9번에서의 풍속에 따른 압력 분포가 나타나 있다. 여기에서 보면 도어 전면에 발생하는 압력은 균일하지 않고 위치에 따라 달라짐을 알 수 있다. 또한 풍속이 달라지더라도 1번에서 큰 압력이 작용하고, 위로 갈수록 점차 감소하다가 다시 4번 지점부터 압력이 증가하는 양상이 나타난다. 이러한 양상은 도어 전면에 발생하는 압력 분포가 풍속에 대해 z 방향으로는 크게 달라지지 않음을 보여준다. 그러나 풍속이 빨라질 경우 도어 부위에 형성되는 후류에서 보텍스 쉐딩(Vortex Shedding)이 강해지고, 이에 따라 도어 전면에 발생하는 압력 분포가 시간에 따라 변화하며 압력이 좌우 한쪽으로 쏠리는 양상이 나타난다. 본 연구에서는
Fig. 6과 같이 유동이 충분히 발달된 후의 압력 분포를 구조해석에 사용하였다.
Fig. 6Pressure distribution on door front
Fig. 7Streamline near the door
Fig. 8Pressure distribution according to wind velocity at each point
3.2 구조해석 결과
Fig. 9에는 40 m/s의 풍속이 작용된 경우 구조해석을 통해 얻은 산업용 도어의 전체 변형 양상이 나타나 있다. 여기에서 보면 풍하중에 의해 중앙부가 밀리며 볼록한 형상의 변형이 발생함을 알 수 있다. 이때 최대 변형은 도어 중앙 PVC 커튼에서 나타나며 그 크기는 424 mm이다. 윈드바의 처짐은 PVC 커튼보다 작다.
Fig. 10에는 특정 윈드바에서 원드바 길이를 따른 처짐 양상이 나타나 있다. 여기에서 보면 최대 처짐은 5번째 윈드바에서 나타나며 최소 처짐은 10번째 윈드바에서 나타난다. 특히 5번째 윈드바의 최대 처짐은 413 mm이며 10번째 윈드바의 최대 처짐은 206 mm로 최대 처짐이 발생한 5번째 윈드바의 절반 수준인 것으로 나타났다.
Fig. 9에서 변형 크기가 중앙에서 가장 크고 중앙에서 멀어질수록 점차 감소하는 양상을 볼 수 있다.
Fig. 10에서도 중앙으로부터 멀리 떨어진 10번째 윈드바의 경우 윈드바 중앙 부근의 처짐이 비교적 평탄한 것을 볼 수 있다.
Fig. 9Total deformation results
Fig. 10Deflection of wind bar
해석 결과로부터 변형 거동을 예측하기 위해 추가 해석을 수행하였다. 풍속이 변하여도 도어 전면이 받는 풍압 분포는 달라지지 않는다고 가정하여 변형 거동을 예측하였다. 이때 기준으로 사용한 풍속 조건은 40 m/s로 압력 분포의 결과를 이용하여 각 풍속에 맞는 압력이 작용하도록 스케일링 하여 5-40 m/s의 풍속에 대해 5 m/s 간격으로 최대 변형을 예측하였다.
Fig. 11에는 풍속에 따른 5번째와 10번째 윈드바의 처짐이 나타나 있다. 이때 처짐은 각각 10, 20, 30, 40 m/s에서의 결과로서 풍속이 달라지더라도 40 m/s의 결과와 같이 10번째 윈드바의 처짐은 5번 윈드바의 절반 수준으로 나타났다.
Fig. 11Comparison of predicted deflection for wind bar
이상의 해석 결과로부터 풍속에 대한 두 윈드바의 최대 처짐을 다항 회귀분석을 통해 2차식으로 표현하면
식(1)과
식(2)와 같이 나타낼 수 있으며, 이때의 결과가
Fig. 11의 Bar No. 5선도와 Bar No. 10선도에 나타나 있다.
여기에서 δmax_bar 5, δmax_bar 10 는 각각 5번째와 10번째 윈드바의 최대 처짐이고, v는 풍속이다.
4. 결론
본 연구에서는 풍하중을 받는 대형 산업용 도어의 변형 거동을 알아보기 위하여 FSI 해석을 수행하였다. 유동해석으로부터 산업용 도어 전면에 발생하는 압력 분포를 얻었으며 이를 구조해석의 하중 조건으로 사용하였다. 해석 결과 도어 중앙부에서 최대 변형이 발생하였으며 40 m/s의 풍속 조건으로 윈드바의 최대 처짐은 413 mm로 나타났다. 처짐이 가장 작게 나타난 윈드바는 처짐이 가장 큰 윈드바의 처짐에 절반 정도로 나타났으며 해석 결과를 이용하면 넓은 구간의 풍속에 대한 윈드바의 변형이 얻어졌다. 또한 예측된 결과로부터 2차 회귀식을 이용해 풍속에 대한 윈드바의 변형을 예측할 수 있었다. 이와 같이 산업용 도어의 거동을 예측하기 위한 일련의 절차 및 결과에 산업용 도어가 설치될 장소의 풍속 정보를 적용하면 산업용 도어의 변형 거동을 예측할 수 있을 뿐 아니라 아직까지 미흡한 상태로 남아 있는 산업용 도어의 안전성 평가 기준 수립에도 활용할 수 있다.
ACKNOWLEDGMENTS
본 성과물은 중소벤처기업부에서 지원하는 2020년도 맞춤형 기술파트너 지원사업(No. S2919180)의 연구수행으로 인한 결과물입니다.
REFERENCES
- 1.
Yun, S. H., “Dynamical Mechanism Analysis of an Industrial Two-Step Folding Automatic Door,” Journal of the Korean Society for Precision Engineering, Vol. 28, No. 7, pp. 821-826, 2011.
- 2.
Song, M. S. and Lee, S. I., “The Wind Pressure Stability Analysis of the Platform Screen Door in Urban Railway,” Journal of the Korean Society for Railway, Vol. 15, No. 1, pp. 17-22, 2012.
10.7782/JKSR.2012.15.1.017
- 3.
Yim, S. R., Cho, J. H., Lee, K. S., and Han, S. E., “The Shape Optimization on Free Form High-Rise Buildings under Wind Load by Numerical Method,” Journal of the Architectural Institute of Korea Structure & Construction, Vol. 28, No. 11, pp. 47-54, 2012.
- 4.
Yim, S. R., Kim, H. J., and Han, S. E., “The Shape Optimization of Free Form High-Rise Buildings under Wind Load Reduction based on the 1-Way FSI Analysis-Focused on the Corners Modifications,” Journal of the Architectural Institute of Korea Structure & Construction, Vol. 31, No. 1, pp. 3-10, 2015.
10.5659/JAIK_SC.2015.31.1.3
- 5.
Ryu, H. J., Shin, D. H., and Ha, Y. C., “The Wind Load Evaluation on Building considering Vertical Profile of Fluctuating Wind Force,” Journal of the Architectural Institute of Korea Structure & Construction, Vol. 35, No. 7, pp. 157-164, 2019.
- 6.
Zhang, Y., Habashi, W. G., and Khurram, R. A., “Predicting Wind-Induced Vibrations of High-Rise Buildings Using Unsteady CFD and Modal Analysis,” Journal of Wind Engineering and Industrial Aerodynamics, Vol. 136, pp. 165-179, 2015.
10.1016/j.jweia.2014.11.008
- 7.
Bae, J. J., Park, I. S., Kim, P., and Kang, N., “Design of High-Speed Roll-Up Doors with Consideration of the Large Deflection of Windbars due to Wind Loads,” Journal of Mechanical Science and Technology, Vol. 32, No. 8, pp. 3737-3744, 2018.
10.1007/s12206-018-0726-3
- 8.
Agelaridou-Twohig, A., “Modeling of Dock Door Bracings for Hurricane Winds,” Proc. of the SIMULIA Community Conference, 2012.
- 9.
- 10.
Biography
- Jae Ho Cha
Ph.D. candidate in the Department of Mechanical Engineering, Kumoh National Institute of Technology. Research interests are structural analysis and advanced composite materials.
- Sung Ho Yoon
Professor in the Department of Mechanical Engineering, Kumoh National Institute of Technology. Research interests are design, analysis, test, evaluation, and life prediction of advanced composite structures
Citations
Citations to this article as recorded by
