Skip to main navigation Skip to main content
  • E-Submission

JKSPE : Journal of the Korean Society for Precision Engineering

OPEN ACCESS
ABOUT
BROWSE ARTICLES
EDITORIAL POLICIES
FOR CONTRIBUTORS
REGULAR

화약 사출식 투하시스템의 장착물 사출력에 대한 수학적 모델링 및 분석

Mathematical Modeling and Analysis for the Ejection Force of Pyrotechnic Suspension System

Journal of the Korean Society for Precision Engineering 2021;38(7):513-520.
Published online: July 1, 2021

1 LIG넥스원

2 국방과학연구소

1 LIG Nex1 Co., Ltd.

2 Agency for Defense Development

#E-mail: jungpil.kim@lignex1.com, TEL: +82-31-8026-4831
• Received: April 16, 2021   • Revised: May 30, 2021   • Accepted: June 1, 2021

Copyright © The Korean Society for Precision Engineering

This is an Open-Access article distributed under the terms of the Creative Commons Attribution Non-Commercial License (http://creativecommons.org/licenses/by-nc/3.0) which permits unrestricted non-commercial use, distribution, and reproduction in any medium, provided the original work is properly cited.

  • 12 Views
  • 0 Download
prev next
  • The main function of aircraft ejection system is that it separates the store from the aircraft. The ejection force is important for the safety of the aircraft when the store is ejected, because the store can be lifted by air flow affected by the aircraft’s speed. If the ejection force is low, the aircraft can be damaged by the floating store. The ejection force of the suspension system should be designed in order to release the store safely. In this study, the ejection force of the pyrotechnic suspension using the cartridge to eject the store was researched. This research was performed, based on the precedent study about the over-center linkage mechanism and the pressure drop by the orifice. The ejection force was calculated, after analyzing mathematical fundamentals about the pressure in the system of the suspension and analyzed through AutoDyn and ADAMS software. Finally, the theoretical results were compared with the ejection test results of the suspension system.

ρ

Density

A

Area

D

Diameter

v

Velocity

V

Volume

Q

Flow Rate

P

Pressure

m

Weight

β

Ratio of Orifice Diameter to Pipe Diameter

Cd

Discharge Coefficient

e

Expansion Factor

F e

Ejection Force
군용 항공기는 목적에 따라 다양한 종류의 외부장착물을 장착 운용하며 필요 시 외부장착물을 투하하며 임무를 수행하게 된다. 외부장착물을 투하하는 방식에는 외부장착물 자중에 의해 자유 낙하되는 자유 낙하식, 화약 카트리지 폭발 압력에 의하여 강제 사출되는 화약 사출식, 압축 공기에 의하여 강제 사출되는 공압사출식이 있다. 본 논문에서는 화약 사출식 투하시스템에 대하여 기술하고자 한다.
투하시스템의 사출력이 중요한 이유는 항공기에서 외부장착물을 투하할 때, 항공기의 비행 속도에 의하여 외부장착물 또한 양력을 받게 되는데, 만약 투하시스템에서 양력보다 적은 사출력이 발생하게 된다면, 외부장착물은 항공기로부터 충분히 이격되지 못하고, 또한 외부장착물이 항공기와 부딪히는 사고가 발생할 수 있다. 반대로 아주 강한 사출력으로 외부장착물을 밀어주게 된다면 외부장착물의 성능에 영향을 미칠 수도 있다.
따라서, 투하시스템의 사출력에 대한 연구는 항공기의 안전과 외부장착물의 성능을 위해 중요한 요소일 뿐만 아니라 투하시스템 개발에 필수적이다.
그동안 우리나라의 경우 투하시스템은 외국 장비에 의존해왔으며, 항공 무기 시스템 개발에 주력하여 왔다. Yoon, Cho, Chung, Cho, Lee 그리고 Baek1은 축소 무장을 제작하여 풍동에서 자유 낙하 실험과 Grid Test 기법을 적용한 실험을 통하여 무장의 안전 분리에 대한 연구를 수행하였다. 무장의 안전 분리 시 항공기의 자세도 중요하며 자유 낙하식보다 사출식이 더 유리함을 보였다.
Lee, Lee, Park, Baek, Jung 그리고 Jung2은 미국의 투하시스템인 MAU-50, MAU-12, BRU-47을 이용하여 해당 투하시스템의 사출력으로 활공탄의 안전 분리에 대한 실투하 시험을 시행하여 활공탄 투하 안전성을 검증하였다.
투하시스템에 대한 연구는 Cha 그리고 Choi3에 의해 시도되었고, 그 연구는 사출 성능 해석에 대한 것이다. 카트리지 폭발로 발생한 높은 압력이 오리피스에 의해 강하되는 결과를 해석을 통해 도출하였으며, 사출 압력 시험을 통하여 결과의 신뢰성을 입증하였다. 하지만 이러한 연구 결과는 화약식 투하시스템의 사출 압력에 대한 내용이므로 투하시스템의 사출력에 대한 이해와 화약식 투하시스템의 연구 개발을 지속 발전시키기 위하여 장착물 투하 사출력에 대한 수학적 일반화가 반드시 필요하다.
본 연구에서는 화약 사출식 투하시스템의 사출 원리를 도식화하여 수식을 통해 사출력을 계산하는 방법을 제시하였다. 그리고 해석을 통하여 수학적 분석의 신뢰성을 검증하였으며, 사출력 측정 시험 결과와 비교 분석하였다.
2.1 사출 시스템 도식화
화약 사출식 투하시스템의 내부 단면 개략도는 Fig. 1과 같다. 화약 사출식 투하시스템은 두 곳의 약실 내부에 장착된 카트리지가 점화되면 폭발 가스가 발생하고, 가스는 관로를 따라 이동하는데, 이동 중 오리피스에 의하여 압력 강하가 발생하여 실린더 내부의 압력이 피스톤을 아래로 밀어내어 외부장착물을 강제 사출 투하하는 방식으로 작동된다.
Fig. 1

Cross-section diagram of suspension system

KSPE_2021_v38n7_513_f001.jpg
화약 사출식 투하시스템은 좌우 대칭 구조이므로 Fig. 2와 같이 투하시스템의 우측 부분에 대한 수학적 분석으로 사출력 도출이 가능하다. 사출 압력의 이동은 카트리지가 점화되면 폭발 가스에 의한 압력(Pc)이 발생하고, 가스는 관로를 따라 오리피스 전단부의 압력(P1)으로 변화한다. 그리고 오리피스를 통하여 압력이 강하된 후 실린더 내부로 전달된다. 실린더 내부 압력(P2)에 의하여 피스톤에 사출력(Fe)이 발생되어 피스톤이 아래로 이동한다. 완전히 이동하면, 배출 구멍을 통하여 폭발 가스가 대기중으로 배출된다.
Fig. 2

Cross-section diagram of the right side of suspension and the flow direction of the ejection gas

KSPE_2021_v38n7_513_f002.jpg
Fig. 2의 폭발 가스 압력 흐름을 통해 투하시스템의 사출력값을 다음 Fig. 3과 같이 도식화할 수 있으며, 에너지 보존 법칙과 베르누이 정의를 이용하여 Fig. 3의 각 단계별 압력을 계산한 후, 투하시스템의 사출력을 산출할 수 있었다.
Fig. 3

The diagram for the calculation of the ejection force

KSPE_2021_v38n7_513_f003.jpg
폭발가스압력(Pc)은 카트리지 사출 시험 결과로 시간에 따른 힘의 함수를 도출한 후, 에너지 방정식으로 유도하였으며 오리피스 전단부의 압력(P1) 또한 에너지 방정식으로 유도하였고, 실린더 내부의 압력(P2)은 베르누이 방정식으로 유도가 가능하다.
투하시스템의 사출력을 계산하기 위한 관계식은 다음 식(1)부터 식(3)과 같다. 카트리지에 의해 발생하는 폭발가스압력(Pc)의 계산식은 식(3)과 같다. 카트리지 사출 시험으로 식(1)식(2)를 유도할 수 있다.4
(1)
Fct=atbe-t2c+d
(2)
vct=1mcFctdt
(3)
Pct=mcvct22V0
여기서, mc, V0는 카트리지 시험 규격에 제시된 무게추와 초기 체적을 의미한다. 오리피스 전단부의 압력은 식(4)로 계산할 수 있다.
(4)
P1t=PctV0VS,int-mSvSt22VSt
여기서, VS,int는 투하시스템 내부 초기 체적을 말한다. vS(t)와 VS(t)는 피스톤의 속도와 체적의 시간에 대한 변화식을 의미한다. 실린더 내부의 압력은 오리피스에 의한 압력 강하에 의하여 식(5)로 계산할 수 있다.5
(5)
P2t=P1t-12ρ1-β4QtCdA2e2
Table 1

Specifications for calculation of store ejection force

Table 1
Parameter Unit Values
a - 0.0215
b - 0.000462
c - 0.000925
d - 2,550
mc kg 215.5
V 0 m3 0.00006063
V S, int m3 0.00005899
ρ kg/ 1.225
Cd - 0.61
e - 0.75
마지막으로, 사출력은 전방과 후방의 사출력의 합으로 식(6)과 같이 계산할 수 있다.
(6)
Fet=2×P2t×Ac
투하시스템의 사출력은 오리피스 직경의 영향을 가장 크게 받으며, 외부장착물 중량에 따른 관성력의 영향을 또한 받는다.
따라서, 계산에 적용한 오리피스 직경은 1.0과 2.0이며 외부 장착물 중량은 100, 250, 500이다. 단, 단열 조건으로 외부 온도에 대한 영향은 고려하지 않았다. 수식을 통하여 계산한 최대 사출력은 Table 2와 같다.
Table 2

Calculation of store ejection force

Table 2
Case 1 2 3 4 5 6
Weight of store 100 250 500
Diameter of orifice 1.0 2.0 1.0 2.0 1.0 2.0
Ejection force 3,235 8,467 4,472 11,251 5,678 12,622
사출력 계산 결과, 사출력은 외부장착물의 중량에 따라 오리피스 1.0과 2.0에서 대략 250% 증가하였고, 오리피스 1.0인 경우 Cases 1과 3에서 38%, 3과 5에서 26% 증가하였다. 오리피스 2.0인 경우, Cases 2와 4에서 32%, 4와 6에서 12% 증가하는 결과를 확인할 수 있다. 오리피스 직경 크기와 중량에 따른 사출력은 다음 Figs. 4부터 6와 같다.
Fig. 4

Ejection force when the store weight is 100

KSPE_2021_v38n7_513_f004.jpg
Fig. 5

Ejection force when the store weight is 250

KSPE_2021_v38n7_513_f005.jpg
Fig. 6

Ejection force when the store weight is 500

KSPE_2021_v38n7_513_f006.jpg
2.2 카트리지 사출 압력(Pc)
식(3)을 이용하여 계산한 카트리지 사출 압력은 Fig. 7과 같다. 카트리지 사출 압력은 카트리지 시험 규격 절차에 따라 카트리지 시험을 통하여 도출이 가능하다. Figs. 8(a)와 같이 카트리지 유로 끝단에 하중센서(Load Cell)를 설치한 후 카트리지를 점화시켜 8(b)와 같이 폭발 사출력을 측정하여 식(1)을 도출하였다.
Fig. 7

Pressure of the cartridge at the breech volume

KSPE_2021_v38n7_513_f007.jpg
Fig. 8

Force test of the cartridge

KSPE_2021_v38n7_513_f008.jpg
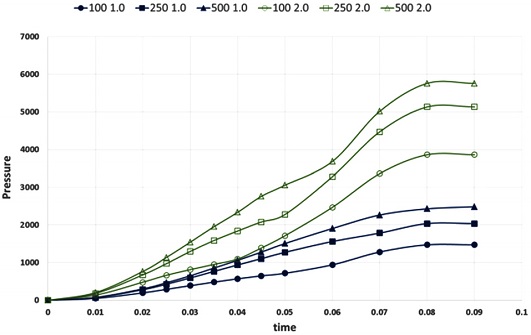
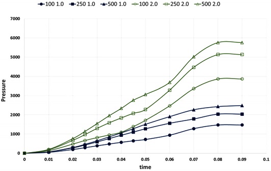
2.3 오리피스 전단부 압력(P1)
식(4)에 따라 계산한 오리피스 전단부의 압력(P1)은 Fig. 9와 같다. 카트리지가 점화되면 사출 가스에 의하여 피스톤이 아래로 이동하게 되며, 완전히 내려가면 Fig. 2의 배출 구멍으로 사출 가스가 빠져나가게 된다.
Fig. 9

Pressure (P1) before the orifice

KSPE_2021_v38n7_513_f009.jpg
여기서, 피스톤 이동속도(VS(t))는 Lee, Lee, Park, Baek, Jung 그리고 Jung2을 참고하여 유도하였으며, 식(7)과 같으며 적용한 계수는 Table 3과 같다.
(7)
vSt=k×t
Table 3

Coefficient of the velocity equation

Table 3
Case 1 2 3 4 5 6
Weight of store 100 250 500
Diameter of orifice 1.0 2.0 1.0 2.0 1.0 2.0
k 88 143 67 106 49 80
식(4)의 투하시스템의 초기 체적(V1,int)에 따른 투하시스템의 사출 압력 계산 결과는 Fig. 10과 같다.
Fig. 10

Pressure for the initial volume of suspension

KSPE_2021_v38n7_513_f010.jpg
2.4 실린더 내부 압력(P2)
식(5)에 따라 계산한 실린더 내부의 압력은 Fig. 11과 같다.
Fig. 11

Pressure (P2) in the cylinder

KSPE_2021_v38n7_513_f011.jpg
투하시스템의 사출력은 실린더 내부의 압력을 ANSYS AutoDyn 해석으로 도출한 후, ADAMS 구동해석을 수행하여 도출하였다. 유한요소해석을 통하여 도출한 사출력은 Table 4와 같다.
Table 4

Finite element analysis results of store ejection force

Table 4
Case 1 2 3 4 5 6
Weight of store 100 250 500
Diameter of orifice 1.0 2.0 1.0 2.0 1.0 2.0
Ejection force 3,374 9,041 4,201 11,012 5,036 11,730
사출력 해석 결과, 사출력이 외부장착물 중량에 따라 오리피스 1.0과 2.0에서 대략 260% 증가하였고, 오리피스 1.0인 경우 Cases 1과 3에서 24%, 3과 5에서 20% 증가하였다. 오리피스 2.0인 경우, Cases 2와 4에서 21%, 4와 6에서 대략 7% 증가하였다. 해석 결과는 계산 결과와 유사하며, 이는 오리피스 직경 변화가 중량 크기 변화보다 사출력에 미치는 영향이 더 크다는 것을 보여준다.
3.1 실린더 내부 압력 해석
카트리지 화약 폭발 시, 화학 반응에 의하여 순간적으로 엄청난 압력이 발생하며, 시간이 지나면서 화약 점화 물질 소진으로 압력이 급격히 떨어지게 된다. 이러한 화약의 폭발 상황을 가장 잘 모사할 수 있는 해석 소프트 웨어는 ANSYS AutoDyn이다.
폭발 물질은 높은 에너지 물성을 가진 폭발 물질을 정의해주는 상태 방정식으로 Jones, Wilkins, Lee에 의해 제안된 JWL 물성 알고리즘을 해석에 적용하였다.
카트리지 폭발 압력 해석은 2차원 해석 모델로 메쉬 크기(Mesh Size)는 0.5로 설정하여 28,000개의 요소(Element)로 해석을 수행하였다.
공기 영역은 Euler Solver를 적용하였고, Solid 구조물은 Lagrange Solver로 해석을 수행하였다. 해석에 적용한 모델은 Fig. 12와 같다.
Fig. 12

Model for finite element analysis of suspension’s pressure

KSPE_2021_v38n7_513_f012.jpg
해석을 수행하여 외부장착물 중량 및 오리피스 직경별로 실린더부 압력(P2)을 Fig. 13과 같이 도출하였다.
Fig. 13

Result of finite element analysis for pressure

KSPE_2021_v38n7_513_f013.jpg
3.2 외부장착물 사출력 해석
사출력 해석을 위하여 다물체 구동 동역학 해석툴인 ADAMS Software를 이용하여 해석을 수행하였다. Kim, Lee, Kim, Choi 그리고 Cha6의 링크 구조물을 적용한 투하시스템의 CAD Modeling을 ADAMS Modeling으로 Import하였으며, 구조물은 Rigid Body이며 구동 동작으로 구속 설정을 하였다.
Fig. 14와 같이 실린더 내부 압력 해석 결과를 ADAMS Spline으로 변환하여 피스톤 부에 하중을 부가하여 외부장착물의 사출반력을 도출하였다.
Fig. 14

Pressure for ADAMS input

KSPE_2021_v38n7_513_f014.jpg
외부장착물과 오리피스 직경에 따른 사출력 시험 결과는 Table 5와 같다. 오리피스 직경과 중력에 따른 사출력 측정 결과는 다음 Figs. 15부터 17과 같다.
Table 5

Test results of store ejection force

Table 5
Case 1 2 3 4 5 6
Weight of store 100 250 500
Diameter of orifice 1.0 2.0 1.0 2.0 1.0 2.0
Ejection force 2,931 5,334 3,762 6,829 4,249 7,511
Fig. 15

Ejection force when the store weight is 100

KSPE_2021_v38n7_513_f015.jpg
Fig. 16

Ejection force when the store weight is 250

KSPE_2021_v38n7_513_f016.jpg
Fig. 17

Ejection force when the store weight is 500

KSPE_2021_v38n7_513_f017.jpg
4.1 사출력 시험
계산 및 해석 결과를 바탕으로 시제품을 제작하였고, 사출력 성능 시험을 위하여 Fig. 18과 같이 시험대에 시제품을 장착하고, 외부장착물 중량에 따라 각각 2가지 오리피스에 대해 시험을 수행하였다.7
Fig. 18

Test configuration for store ejection

KSPE_2021_v38n7_513_f018.jpg
Fig. 18과 같이 사출력을 계측하기 위하여 외부장착물 상단부에 하중센서를 설치하여 피스톤이 밀어주는 힘을 계측하였다. 외부장착물의 사출력은 하중센서별 계측 결과를 모두 합하여 산출하였다.
사출력 계산 및 해석 결과를 비교하였을 때, Table 6과 같이 10% 이내의 오차가 나타나는 것을 확인할 수 있다. 하지만 해석 결과의 경우 외부장착물 중량이 증가하면 사출력이 떨어지며, 오차가 증가하는 것으로 나타났다. 이는 카트리지 압력 해석을 2차원으로 수행하여 외부장착물 중량간 실린더 내부 압력이 줄어들었기 때문으로 판단된다.
Table 6

Ejection force of calculation, finite element analysis and test

Table 6
Case 1 2 3 4 5 6
Weight of store 100 250 500
Diameter of
orifice
1.0 2.0 1.0 2.0 1.0 2.0
Ejection force
of calculation
3,235 8,467 4,472 11,251 5,678 12,622
Ejection force
of analysis
3,374 9,041 4,201 11,012 5,036 11,730
Ejection force
of test
2,931 5,334 3,762 6,829 4,249 7,511
시험 결과와 이론 결과를 비교하였을 때, Fig. 19와 같이 시험 결과값은 오리피스 직경 1.0일 경우 Cases 1에서 10%, 3에서 15%, 5에서 대략 25% 이내의 오차를 보인다. 오리피스 직경 2.0인 경우 모든 조건에서 대략 40% 정도의 오차를 나타낸다.
Fig. 19

Comparison of calculation, finite element analysis and test

KSPE_2021_v38n7_513_f019.jpg
사출력 시험 결과는 오리피스 직경이 크고, 외부장착물 중량이 증가할수록 실린더 내부 압력이 상승하므로 더 큰 압력 손실이 발생하여 사출력이 줄어드는 경향을 보여준다.
따라서, 계산 및 해석과 달리 실제 제작한 투하시스템의 경우 부품간 발생되는 유격이 사출력 손실에 가장 큰 원인일 것으로 판단된다.
5.1 유격 최소화 시험 결과
외부장착물 중량 500, 오리피스 직경 1.0 조건에서 부품간 유격이 거의 없도록 제작하여 유격을 최소화한 후, 사출력 측정 시험을 여러 차례 시험한 결과, Table 7과 같이 사출력이 기존 시험 결과에 비하여 15% 이상 높게 발생하였으며, 해석 결과와 5% 이내의 오차를 보임을 알 수 있었다. 카트리지 수량이 부족하여 다른 조건에서 시험을 진행하지는 못하였으나, 동일하게 유격이 감소하면, 모든 조건에서 유사한 사출력 상승 경향이 보일 것으로 판단된다.
Table 7

Comparison of ejection pressure by gap between parts

Table 7
Weight of store 500
Diameter of orifice 1.0
Specimen Pressure test of
general specimen
Pressure test
by minimized gap
Ejection force 4,249 4,943
이론 결과의 경우는 카트리지 화약 폭발에너지가 에너지 보존되어 모두 사출력으로 변환된 것이며, 이는 해당 조건에서 이론 사출력이 투하시스템이 발휘할 수 있는 최대 사출력임을 의미한다.
하지만 몇 차례 시험을 수행한 후, 유격을 줄이면 카트리지 찌꺼기 때문에 피스톤 틈새에 고착 문제가 발생하여, 피스톤이 동작하지 않는 큰 문제가 발생하였다.
투하시스템 설계 시, 연속 동작이 되도록 설계 유격을 확보해야 한다는 것을 이 시험을 통해 알 수 있었다.
본 연구에서 화약 사출식 투하시스템의 사출력값을 계산하기 위하여 카트리지가 폭발되는 압력과 압력이 강하되는 각 부분을 수학적으로 도식화하였고, 이를 계산한 후 최종 사출력을 산출하였다. 그리고 이러한 수학적 결과가 신뢰성이 있는지 유한요소해석과 사출 투하 시험을 통하여 사출력을 비교 분석하였다.
투하시스템의 수학적 분석은 원하는 사출력의 투하시스템을 설계하고 투하시스템을 이해하는데 도움이 되었을 뿐만 아니라 실제 제작한 투하시스템의 사출력 저하의 원인을 규명하는데 큰 역할을 하였다.
이론 결과와 시험 결과를 분석함으로써 사출력에 차이가 발생함을 확인할 수 있었는데, 이는 시험의 경우는 투하시스템의 구조물간 틈새로 인하여 압력 손실이 발생하게 되어 사출력이 저하하게 된 반면, 이론 결과의 경우는 카트리지 화약 폭발에너지가 에너지 보존되어 모두 사출력으로 변환된 결과로 판단된다.
따라서, 이론 결과의 사출력이 투하시스템이 발휘할 수 있는 최대 사출력임을 알 수 있었으며 유격을 최소화하여 수행한 시험 결과, 유격을 줄일수록 이론 결과와 유사하게 사출력이 상승함을 확인할 수 있었다.
시험 결과를 바탕으로 오리피스 직경과 외부장착물 중량에 따른 사출력 저하율을 이론 사출 압력에 반영하여 유격에 의한 압력 강하의 상관관계(Correlation)를 수행하였으며, 피스톤의 단면적을 조정하며 사출력을 도출함으로써 요구사항을 만족시키는 화약 사출식 투하시스템을 설계할 수 있었다.
  • 1.
    Yoon, Y. H., Cho, H. K., Chung, H. S., Cho, D. H., Lee, S. H., et al., “Experimental Study for the Safety Analysis of an External Store Separation from Fighter Aircraft,” Journal of the Korean Society for Aeronautical & Space Sciences, Vol. 37, No. 3, pp. 232-239, 2009.
    10.5139/JKSAS.2009.37.3.232
  • 2.
    Lee, K., Lee, I., Park, Y., Baek, S., Jung, N., et al., “Ground Ejection Tests for the Safe Separation Analysis of a Gliding Bomb,” Journal of the Korean Society for Aeronautical & Space Sciences, Vol. 41, No. 6, pp. 502-508, 2013.
    10.5139/JKSAS.2013.41.6.502
  • 3.
    Cha J. H. and Choi K. H., “Ejection Performance Analysis of Aircraft Suspension Equipment” Proc. of the Conference on the Korea Institute of Military Science and Technology, pp. 12-13, 2016.
  • 4.
    MIL-DTL-82724A, “Cartridge, Impulse, CCU-44/B,” 2003.
  • 5.
    Flow Meter Directory, “Orifice Plate Calculator Pressure Drop Calculation Online. This Orifice Plate Pressure Drop and Flow Calculation Requires Java,” https://www.flowmeterdirectory.com/flowmeter_orifice_calc.html (Accessed 9 JUNE 2021)
  • 6.
    Kim, J. P., Cha, J. H., Lee, M. H. Kim, K. M., and Choi, N. Y., “Design Method to Optimize the Torque in order to Release the Over-Center Linkage,” Proc. of the KSPE Spring Conference, pp. 369-370, 2017.
  • 7.
    MIL-T-7743:F, “Testing, Store Suspension and Release Equipment, General Specification for,” 1993.
Jung Pil Kim
KSPE_2021_v38n7_513_bf001.jpg
Research Engineer in LIGNex1. His research interest is dynamics, structural analysis and heat transfer.
Gu Hyun Ryu
KSPE_2021_v38n7_513_bf002.jpg
Chief Research Engineer in LIGNex1. His research interest is system engineering and mechanical engineering.
Joon Kim
KSPE_2021_v38n7_513_bf003.jpg
Chief Research Engineer in LIGNex1. His research interest is dynamics, structural analysis and smart structure.
Jae Seung Yoo
KSPE_2021_v38n7_513_bf004.jpg
Senior Researcher in Agency for Defense Development (ADD). His research interest is structural mechanics.
E-mail: yoo@add.re.kr

Download Citation

Download a citation file in RIS format that can be imported by all major citation management software, including EndNote, ProCite, RefWorks, and Reference Manager.

Format:

Include:

Mathematical Modeling and Analysis for the Ejection Force of Pyrotechnic Suspension System
J. Korean Soc. Precis. Eng.. 2021;38(7):513-520.   Published online July 1, 2021
Download Citation

Download a citation file in RIS format that can be imported by all major citation management software, including EndNote, ProCite, RefWorks, and Reference Manager.

Format:
Include:
Mathematical Modeling and Analysis for the Ejection Force of Pyrotechnic Suspension System
J. Korean Soc. Precis. Eng.. 2021;38(7):513-520.   Published online July 1, 2021
Close

Figure

  • 0
  • 1
  • 2
  • 3
  • 4
  • 5
  • 6
  • 7
  • 8
  • 9
  • 10
  • 11
  • 12
  • 13
  • 14
  • 15
  • 16
  • 17
  • 18
Mathematical Modeling and Analysis for the Ejection Force of Pyrotechnic Suspension System
Image Image Image Image Image Image Image Image Image Image Image Image Image Image Image Image Image Image Image
Fig. 1 Cross-section diagram of suspension system
Fig. 2 Cross-section diagram of the right side of suspension and the flow direction of the ejection gas
Fig. 3 The diagram for the calculation of the ejection force
Fig. 4 Ejection force when the store weight is 100
Fig. 5 Ejection force when the store weight is 250
Fig. 6 Ejection force when the store weight is 500
Fig. 7 Pressure of the cartridge at the breech volume
Fig. 8 Force test of the cartridge
Fig. 9 Pressure (P1) before the orifice
Fig. 10 Pressure for the initial volume of suspension
Fig. 11 Pressure (P2) in the cylinder
Fig. 12 Model for finite element analysis of suspension’s pressure
Fig. 13 Result of finite element analysis for pressure
Fig. 14 Pressure for ADAMS input
Fig. 15 Ejection force when the store weight is 100
Fig. 16 Ejection force when the store weight is 250
Fig. 17 Ejection force when the store weight is 500
Fig. 18 Test configuration for store ejection
Fig. 19 Comparison of calculation, finite element analysis and test
Mathematical Modeling and Analysis for the Ejection Force of Pyrotechnic Suspension System

Specifications for calculation of store ejection force

Parameter Unit Values
a - 0.0215
b - 0.000462
c - 0.000925
d - 2,550
mc kg 215.5
V 0 m3 0.00006063
V S, int m3 0.00005899
ρ kg/ 1.225
Cd - 0.61
e - 0.75

Calculation of store ejection force

Case 1 2 3 4 5 6
Weight of store 100 250 500
Diameter of orifice 1.0 2.0 1.0 2.0 1.0 2.0
Ejection force 3,235 8,467 4,472 11,251 5,678 12,622

Coefficient of the velocity equation

Case 1 2 3 4 5 6
Weight of store 100 250 500
Diameter of orifice 1.0 2.0 1.0 2.0 1.0 2.0
k 88 143 67 106 49 80

Finite element analysis results of store ejection force

Case 1 2 3 4 5 6
Weight of store 100 250 500
Diameter of orifice 1.0 2.0 1.0 2.0 1.0 2.0
Ejection force 3,374 9,041 4,201 11,012 5,036 11,730

Test results of store ejection force

Case 1 2 3 4 5 6
Weight of store 100 250 500
Diameter of orifice 1.0 2.0 1.0 2.0 1.0 2.0
Ejection force 2,931 5,334 3,762 6,829 4,249 7,511

Ejection force of calculation, finite element analysis and test

Case 1 2 3 4 5 6
Weight of store 100 250 500
Diameter of
orifice
1.0 2.0 1.0 2.0 1.0 2.0
Ejection force
of calculation
3,235 8,467 4,472 11,251 5,678 12,622
Ejection force
of analysis
3,374 9,041 4,201 11,012 5,036 11,730
Ejection force
of test
2,931 5,334 3,762 6,829 4,249 7,511

Comparison of ejection pressure by gap between parts

Weight of store 500
Diameter of orifice 1.0
Specimen Pressure test of
general specimen
Pressure test
by minimized gap
Ejection force 4,249 4,943
Table 1 Specifications for calculation of store ejection force
Table 2 Calculation of store ejection force
Table 3 Coefficient of the velocity equation
Table 4 Finite element analysis results of store ejection force
Table 5 Test results of store ejection force
Table 6 Ejection force of calculation, finite element analysis and test
Table 7 Comparison of ejection pressure by gap between parts