Skip to main navigation Skip to main content
  • E-Submission

JKSPE : Journal of the Korean Society for Precision Engineering

OPEN ACCESS
ABOUT
BROWSE ARTICLES
EDITORIAL POLICIES
FOR CONTRIBUTORS
REGULAR

유압력 체결 공법을 적용한 커플러 개발

Development of Coupler Applying Hydraulic Force Fastening Method

Journal of the Korean Society for Precision Engineering 2021;38(10):763-773.
Published online: October 1, 2021

1 (재)부산테크노파크 스마트제조혁신센터

2 부산대학교 기계공학부

1 Smart Manufacturing Innovation Center, Busan Techno Park

2 School of Mechanical Engineering, Pusan National University

#E-mail: paks@pusan.ac.kr, TEL: +82-51-510-1486
• Received: April 4, 2021   • Revised: July 27, 2021   • Accepted: August 13, 2021

Copyright © The Korean Society for Precision Engineering

This is an Open-Access article distributed under the terms of the Creative Commons Attribution Non-Commercial License (http://creativecommons.org/licenses/by-nc/3.0) which permits unrestricted non-commercial use, distribution, and reproduction in any medium, provided the original work is properly cited.

  • 18 Views
  • 0 Download
  • 1 Crossref
prev next
  • Currently, the number of construction cases using large-diameter and high-strength steel and high-strength concrete is increasing due to the trend of large buildings. In the case of reinforcing bars that serve as the framework of a structure, the continuous state is the best in terms of structural stability. However, for convenience, it is transported and assembled to a predetermined standard. In this study, a coupler was developed applying SCM440 material with excellent mechanical properties, not S35C and S45C materials, generally used as coupler materials. To this end, high-frequency carburizing and heat treatment was applied to the element parts taking into account the taper angle and stress results, reflecting the results of low- and high-cycle fatigue tests and structural analysis for the applied material. Finally, in the case of a reinforced coupler fastened with hydraulic SD500 reinforcement bars with diameter D25, a reliability test was carried out using the mechanical joint inspection method of reinforced concrete reinforcement bars. Results were obtained that satisfied the characteristic performance values.

σ

Cyclic Stress

εa

Total Strain Amplitude

εea

Elastic Strain Amplitude

εpa

Plastic Strain Amplitude

σa

Cyclic Stress Amplitude

σ′f

Fatigue Strength Coefficient

b

Fracture Strength Exponent

εf

Fatigue Ductility Coefficient

c

Fracture Ductility Exponent
최근 고층건물, 고가도로, 다리, 교량 등 많은 건축물들이 대형화 추세이며, 이로 인해 대구경 및 고강도 강재와 고강도 콘크리트를 이용한 시공사례가 지속적으로 증가하고 있다.1 이는 높은 하중을 지지해야 하는 구조물에 철근 콘크리트를 타설해야 되는데 철근 연결 부위가 구조 전체 인전성에 큰 영향을 미치고 있기 때문이다.1 구조물에서 철근은 뼈대 역할을 하며 끊어짐이 없는 상태가 구조 안전성 측면에서 좋지만 생산, 운반, 시공의 편의상 적당한 크기로 절단되며 운반 후 조립되므로 철근의 이음이 필요하다.2 철근 연결 방법으로는 겹이음, 가스압점, 용접이음, 기계적 이음 등이 있는데 일반적으로 가장 많이 사용되는 철근 이음 방법으로는 겹이음이다.2,3
겹이음의 경우 약한 연결 부위와 수작업으로 인해 작업시간 지연이 발생되어 건설비용 증가를 가져오게 되며, 철근 사용량 증가로 인하여 콘크리트 타설이 어렵게 되어 콘크리트 품질이 저하될 수 있다. 기계적 이음은 철근 연결 시 발생할 수 있는 오차를 흡수하기 어려우며, 이음부의 작업공간 확보가 어렵다. 기계적 이음과 유사한 단점이 있는 용접 이음은 균일한 용접 품질보장에 어려운 문제점을 가지고 있다.2,3
최근 시공의 편리성, 일정한 품질, 적용성 등의 요구로 인하여 커플러를 많이 요구되고 있다.4 커플러는 철근 자체보다 기계적 물성과 내구성이 우수하여 인장강도, 압축강도, 피로강도가 향상되어 지진, 진동, 강풍에 견딜 수 있는 구조이다.5 스플라이스 슬리브,6 글라우트 슬리브 연결7과 나사식 기계적 이음법2에 대한 많은 연구가 수행되고 있다.
본 연구에서 직경 D25의 SD500 철근17과 요소부품들의 용이한 조립성과 유압에 의한 균일한 기계적 강도를 확보하기 위한 방안으로 최종적으로 유압에 의해 콜렛과 철근이 체결되는 새로운 방식을 제안하고자 한다. 개발 제품의 경우 기존 제품에 사용되는 S35C와 S45C 소재가 아닌 SCM440 소재를 기본 소재로 변경하여 적용하였으며, 변경소재에 대한 신뢰성 확보를 위해서 기초물성 테스트와 피로시험을 통해 소재에 대한 특성을 분석하였다. 유압력 체결 공법을 적용한 커플러를 새롭게 제안하기 위해서 주요 설계 변수인 커플러 테이퍼 각도의 영향을 분석하여 커플러의 하우징과 콜렛을 최적화하였다. 본 연구 결과는 철근 연결 공법의 기초 자료로 활용될 수 있을 것이다.
직경 D25의 SD500 철근에 적용할 커플러 재질의 경우 KS D 3752에 규정한 S35C와 S45C 또는 동등 이상의 것을 사용해야 된다고 제시되어 있다.8 SD500 철근과 일반적으로 사용되는 커플러 적용소재인 S35C와 S45C에 대한 물성 데이터는 Table 1과 같다. 또한 기존 커플러에 사용되는 S35C의 화학성분은 Table 2, S45C는 Table 3과 같으며, 본 연구에 적용된 커플러 적용 소재인 SCM440의 화학성분은 Table 4와 같이 측정되었다.
Table 1

Mechanical property of materials

Table 1
SD500 S35C S45C
Yield strength [MPa] 575 392 386
Tensile strength [MPa] 689 568 655
Elongation [%] 20 22 19
Table 2

Chemical composition of S35C

Table 2
C Si Mn P S Cr
0.36 0.17 0.62 0.021 0.022 0.14
Table 3

Chemical composition of S45C

Table 3
C Si Mn P S Cr
0.44 0.21 0.63 0.027 0.029 0.16
Table 4

Chemical composition of SCM440

Table 4
C Si Mn P S Cr Mo
0.41 0.23 0.65 0.007 0.002 1.02 0.18
기계 구조용 합금강인 SCM440 소재를 개발 제품에 적용하기 위해서 퀜칭 템퍼링한 소재를 기본소재로 하였으며, 고응력을 받는 부분에 대해서 침탄 및 고주파 열처리를 적용하였다. 인장시험을 통한 적용 소재의 물성 획득과 피로특성을 분석하기 위해서 저주기 및 고주기 피로시험을 수행하여 그 타당성을 검토하였다.
2.1 인장시험
커플러 재질은 SCM440이며, 노말라이징 후 퀜칭 템퍼링한 소재이다. 커플러 구성은 Fig. 1과 같으며, 요소부품의 경우 하중 특성을 반영하여 침탄 및 고주파 열처리를 적용하였다. 적용 소재의 특성을 비교하고, 유한요소해석 시 기계적 물성을 반영하기 위하여 Fig. 2와 같이 ASTM E8/E8M의 Small Size Specimens9의 형상으로 가공한 후 인장시험을 수행하였다.
Fig. 1

Coupler configuration diagram

KSPE_2021_v38n10_763_f001.jpg
Fig. 2

Dimension of round bar tensile specimen

KSPE_2021_v38n10_763_f002.jpg
2.2 피로시험
압입력을 통해 철근과 커플러 체결 시 하우징 내부 요소부품들이 받는 응력과 인장시험 시 발생되는 응력은 인장과 압축응력을 받는 구조이며, 이를 고려하여 응력비, R = -1의 시험 조건으로 설정하였다. 저주기 피로수명 구간, 고주기 피로수명 구간과 피로한도 구간으로 구분하였다. 본 테스트에서 저주기 피로수명과 고주기 피로수명의 기준을 100,000 사이클로 구성하였는데, 이는 변형률 진폭 0.2%에 해당되는 부분이 이에 해당된다.12

2.2.1 저주기 피로시험

내진성을 평가하기 위해서 저주기 피로 형태를 고려해야 되는데 지진은 저주기 피로 형태로 하중이 가해지며, 지진 하중 아래의 건축 구조의 파괴 모델은 저주기 피로임이 확인되었다. 지진 발생 시 철근-콘크리트 구조물은 높은 변형 하중을 견뎌내며 철근은 구조의 보전을 유지하는 골격과 마찬가지로 모든 인장 하중을 견뎌내야 한다. 철근이 파단되지 않은 한 건물은 치명적인 붕괴가 되지 않아야 되며, 내부 사람들이 생존을 위한 탈출할 시간을 설정해야 한다.5 커플러의 경우 철근을 체결하는 부품으로 철근과 동일하게 적용 소재에 대해서 저주기 피로 형태를 고려하였다.
저주기 피로시험의 경우 상온의 환경 조건으로 수행하였으며, 변형률 진폭은 1.25, 1.00, 0.75, 0.50, 0.35, 0.25%로 총 6단계로 수행하였다. 저주기 피로시험 조건으로는 사이클 파형은 삼각파형, 응력비는 R = -1, 주파수는 0.1 Hz로 각 시험편마다 동일하게 적용하였다. 변형률 제어를 위해서 표점거리가 20 mm인 신장계(MTS 634.31F-24)를 사용하였다.
본 연구에서 피로수명은 시험편이 완전히 파괴될 때까지를 저주기 피로수명으로 정의하였다. 테스트에 사용되는 시험편의 형상은 Fig. 3과 같으며,10 시험편의 표면은 시험하기 전 축 방향을 따라 조심스럽게 연마를 통해서 피로특성에 대한 표면 결함의 영향이 없도록 가공하였다.
Fig. 3

Dimension of low cycle fatigue test specimen

KSPE_2021_v38n10_763_f003.jpg

2.2.2 고주기 피로시험

도로망, 교량 및 해양 구조물의 일부 구조물에서 받는 하중의 경우 반복하중을 받기 때문에 고주기 피로시험은 필수적으로 평가해야 한다. 예를 들면 50년 동안에 고속도로의 교량은 차량에 의해서 300,000,000 사이클까지 교번 응력이 발생한다. 또한 30년 작동 수명 동안 해양 구조물은 파도로 인하여 10,000,000 사이클 이상의 교번 응력을 받는다.5
고주기 피로시험 사이클 파형은 사인파형, 응력비는 R = -1, 주파수는 10 Hz로 각 응력 레벨에 대해서 동일하게 하중 제어로 3번 반복시험으로 수행하였다. 고주기 피로수명은 시험편이 완전히 파괴될 때까지를 피로수명으로 정의하였으며, 피로한도는 3,000,000 사이클로 설정하였다. 테스트에 사용되는 시험편의 형상은 Fig. 4와 같으며,11 시험편의 표면은 시험하기 전에 축 방향을 따라 조심스럽게 연마하여 피로특성에 대한 표면결함의 영향이 없도록 가공하였다.
Fig. 4

Dimension of high cycle fatigue test specimen

KSPE_2021_v38n10_763_f004.jpg
2.3 유한요소 모델
본 해석에 사용된 유한요소 모델은 Fig. 5와 같으며, 커플러의 경우 하우징, 콜렛, 링, 핀으로 구성하였다. D25의 SD500 철근에 대한 커플러의 최적화된 형상을 선정하기 위해서 ANSYS사의 Workbench Ver. 19의 상용 프로그램을 사용하였다. 하우징의 경우 최대의 하중을 받는 부품이며, 전체 하중을 견딜 수 있는 구조로 설계되어야 한다. 콜렛은 다양한 철근의 치수공차를 가질 수 있도록 반영하였으며, 최적의 테이퍼 각도를 가질 수 있도록 설계변수로 설정하였다. 압입력이 핀에 가해질 경우 하우징 내 링이 철근과 콜렛을 밀어서 요소부품들이 체결되는 방식이다.
Fig. 5

Finite element analysis model of coupler

KSPE_2021_v38n10_763_f005.jpg
커플러의 구조적 안전성을 획득하기 위해서 허용 인장강도 대비 철근의 허용 인장강도 125% 이상에 해당되는 기준 하중을 견디는 구조로 설계되어야 한다.13 SD500 철근에 대해서 인장 하중 625 MPa 이상의 응력이 가해졌을 때 커플러는 파단이 발생되지 않아야 한다. 철근 고정부품 및 테이퍼의 역학적 구조는 최초 철근이 체결되었을 시 인장응력에 대응되는 힘을 가지며, 인장강도 테스트 시 철근이 양방향으로 당겨지는 힘이 커질수록 철근 고정부품 및 테이퍼와 맞물리게 되는 힘이 증가되어 더욱 견고하게 체결되는 구조로 설계하였다. 구조해석 시 하우징과 콜렛의 접촉각도인 테이퍼 각도(θ) (Fig. 6)의 최적화를 위해서 설계 경험상 테이퍼 각도 12.5, 15.0, 17.5o의 값을 가질 때 하우징과 콜렛의 응력에 큰 영향을 미칠 것으로 판단되어 설계변수로 고려하였다.
Fig. 6

Applicability judgement according to taper angles

KSPE_2021_v38n10_763_f006.jpg
유한요소해석을 위한 모델 구성은 전체 형상의 좌, 우 1/2 대칭, 콜렛 단면 기준으로 1/3 모델로 대칭 경계에 법선 방향으로 구속을 적용하였다. 하우징과 콜렛은 Hexa Dominant로 육면체와 사면체 요소가 혼합된 격자를 사용하였으며, 평균 요소 크기는 2 mm로 설정하였다.
3.1 기초물성시험
커플러는 건축물을 지탱하는 철근의 연결에 사용되며 강인한 기계적 특성이 요구된다. 기계적 특성의 향상의 경우 열처리 효과 및 다른 강재에 비해 가격이 저렴하고 열처리 효과가 뛰어난 기계구조용 합금강재인 SCM440을 고려하였다. 적용소재의 열처리 타당성을 검증하기 위해서 노말라이징, 퀜칭 템퍼링, 침탄 및 고주파 열처리한 소재에 대해서 인장시험을 수행하였다. 그 결과는 Table 5와 같으며, 해석 시 적용될 수 있도록 하였다. 퀜칭 템퍼링을 커플러 하우징으로 적용할 경우 S35C 대비 항복강도는 1.8배, 인장강도는 1.6배이며, S45C의 경우 항복강도는 1.8배, 인장강도는 1.4배의 향상된 물성치로 비교할 수 있었다.
Table 5

Mechanical properties according to heat treatment

Table 5
N QT C H.F
Yield strength [MPa] 452 700 1,244 -
Tensile strength [MPa] 742 903 1,535 1,418
Elongation [%] 29 12 1 0.8

(N: Normalizing, QT: Quenching-Tempering, C: Carburization, H.F: High frequency heat treatment)

3.2 피로시험

3.2.1 안정 상태의 응력-변형률 거동

재료의 안정 상태에서의 반복 응력-변형률 거동은 일반적으로 피로수명의 약 1/2되는 히스테리시스 루프로 표현되며, Fig. 7은 안정 상태의 이력곡선을 나타낸다. 몇 가지 다른 변형 진폭에서의 테스트와 같이 하나의 루프로 표현하였다.
Fig. 7

Stable hysteresis loops for determining cyclic stress-strain curve

KSPE_2021_v38n10_763_f007.jpg
여기서 히스테리시스 루프의 면적은 소성 변형을 생성하기 위한 소비된 에너지로 볼 수 있으며 열역학적으로 비가역 과정이라고 한다.14,15 본 연구에서는 단조-변형률 곡선과 비교하여 반복 응력 변형률 곡선은 특히 변형 진폭에 대한 반복 연화 거동으로 나타났다.

3.2.2 저주기 피로수명 예측

기존 커플러 소재인 S35C와 S45C에 대한 저주기 피로시험의 경우 최대 0.5%에서부터 최소 0.2%까지 변형률 진폭에 대해서 참조할 수 있었으며,18 본 연구를 위해 적용되어지는 SCM440 소재에 대해서는 최대 1.25%에서부터 최소 0.25%까지의 변형률 진폭에 대해서 수행하였다. 저주기 피로수명에서의 전체 변형률 진폭은 식(1)과 같이 표현할 수 있으며, 안정 상태에서의 히스테리시스 루프로부터 탄성 변형률과 소성 변형률의 합이다.
저주기 피로에서 각 부분에 대하여 분리하여 계산한 후 종합하게 되는데 Basquin 방정식과 Coffin-Manson 방정식으로 각각 주어지며, Morrow에 의하여 변형률-수명 관계식이 최종적으로 제시된다. 응력-수명 곡선에서 선형적인 관계로 근사하여 직선의 방정식으로 나타낼 수 있는데 이 직선의 방정식인 식(2)와 동일한 개념이다. Basquin 방정식은 탄성 변형률과 수명과의 관계를 나타내는 방정식이며, 탄성변형에서는 Hooke의 법칙이 적용 가능하여 식(3)과 같이 나타낼 수 있다. 또한 식(3)에 응력 진폭을 나타내는 식(2)를 대입하여 표현이 가능하다. 소성변형률과 수명과의 관계에 대하여 설명하는 Coffin-Manson 방정식은 식(4)와 같이 표현할 수 있으며 양변에 대수를 취함으로써 선형적으로 표현이 가능하다. 탄성 변형과 소성 변형을 포함한 변형률과 수명과의 관계를 나타내는 변형률-수명 곡선은 Morrow 방정식으로 표현이 가능하며 식(5)와 같이 나타낼 수 있다.14,15 위 식들을 대입한 최종적인 결과는 Table 6과 같이 나타냈다.
(1)
εa=εea+εpa
(2)
σa=σf'2Nfb
(3)
εea=σa/E=σf'2Nfb/E
(4)
εpa=ε'f2Nfc
(5)
εa=σf'2Nfb/E+ε'f2Nfc
Table 6

Fatigue constants fitted with the Mansion-Coffin-Basquin equation

Table 6
SCM440N SCM440QT
σ′f [MPa] 920 999
b -0.079 -0.058
εf 0.351 0.209
c -0.643 -0.600
E [GPa] 200 210

(N: Normalizing, QT: Quenching-Tempering)

탄성 변형률과 소성 변형률의 다른 두 사이클이 교차하는 곳의 수명을 천이수명이라고 하는데, 이 수명은 히스테리시스 루프가 동등한 탄성과 소성 변형률 성분을 가질 때의 수명이다. 천이수명 이하의 피로수명 영역에서는 소성변형 항이 우세하고, 반대로 그 이상의 영역에서는 탄성변형 항이 우세하다.14,15 여기서 탄성 변형률과 소성 변형률이 같아지는 지점이며, 식(6)을 적용한 결과 노말라이징의 경우 2,086 사이클, 퀜칭 템퍼링은 1,076 사이클로 확인되었다.
(6)
2Nt=ε'fE/σ'f1/b-c
최종적으로 이러한 관계식들에 데이터를 대입하면 Fig. 8Table 7의 결과로 표현할 수 있다. 변형률-수명 곡선에서 큰 변형률 혹은 단수명을 가질 때 소성 변형률 항이 우세하고, 작은 변형률 혹은 장수명을 가질 때에는 탄성 변형률 항이 우세함을 그래프를 통해서 확인할 수 있었다.
Fig. 8

LCF strain-life curves plotted by superposition of elastic and plastic parts using the Mansion-Coffin-Basquin equation

KSPE_2021_v38n10_763_f008.jpg
Table 7

Total strains of two types of materials

Table 7
Total strain
SCM440 N εa = 0.005(2Nf)-0.079 + 0.351(2Nf)-0.643
SCM440 QT εa = 0.005(2Nf)-0.058 + 0.209(2Nf)-0.600

(N: Normalizing, QT: Quenching-Tempering)

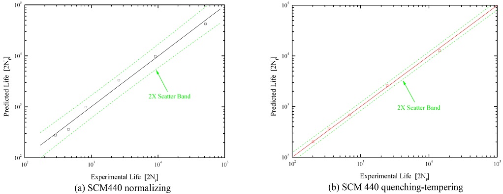
노말라이징과 퀜칭 템퍼링 소재에 대한 로크웰 경도시험과 비커스 경도시험을 수행하였으며, 그 결과는 Table 8과 같이 나타났다. 노말라이징과 퀜칭 템퍼링한 열처리소재가 고강도 처리한 소재보다 더 긴 천이수명을 가진 것으로 확인되었다. 노말라이징과 퀜칭 템퍼링에 대한 피로수명을 예측하는데 사용되며, 그 결과는 Fig. 9와 같다.
Table 8

Hardness of SCM440 according to heat treatment

Table 8
SCM440 N QT
HRB 85 243
Hv 103 311

(N: Normalizing, QT: Quenching-Tempering)

Fig. 9

Experimental and predicted LCF lifetime comparison

KSPE_2021_v38n10_763_f009.jpg

3.2.3 고주기 피로수명 예측

고주기 피로시험의 경우 소성 변형률이 작다는 조건에 대해서 유용하게 쓰이는 시험법이다. 작용 응력이 재료의 탄성 영역 내에 주로 있고, 그 결과로 장수명의 경우 무한 수명 또는 안전 응력의 설계에 사용된다.14,15 단수명에서는 더 많은 소성 변형률로 인하여 히스테리시스 루프가 넓어지고, 장수명은 작은 소성변형률로 인하여 루프 영역이 좁아지게 되는 것을 변형률 진폭 0.2%를 통하여 확인할 수 있었다.
본 연구에서 고주기 피로시험은 Table 9의 응력 레벨에 대해서 시험을 수행하였으며, 그 결과는 Fig. 10과 같이 표현하였다.
Table 9

Stress amplitude for high cycle fatigue test

(Unit: MPa)
Table 9
Level SCM440N SCM440QT SCM440C
1 380 480 720
2 360 470 700
3 340 460 680
4 320 450 660
5 - 440 650

(N: Normalizing, QT: Quenching-Tempering, C: Carburization)

Fig. 10

Stress-Number of Cycles (S-N) curves of SCM440 according to heat treatment

KSPE_2021_v38n10_763_f010.jpg
피로시험에 사용된 SCM440 소재에 대하여 노말라이징, 퀜칭 템퍼링, 침탄 처리를 하였을 때, 각각 320, 440, 650 MPa의 피로한도를 보였으며, 피로비의 경우 0.431, 0.487, 0.423으로 나타났다. 기존 문헌에 의하면 S35C와 S45C는 각각 250, 310 MPa의 피로한도를 보이기 때문에,19,20 본 연구에 사용된 재료의 피로한도가 향상되었음을 알 수 있었다. 선형회귀분석을 통한 결과는 Table 10과 같으며 수명식은 식(7)에 적용이 가능하다.14,15
(7)
σa=10ANfB
Table 10

A and B values of the fatigue life equation for SCM440

Table 10
SCM440 A B
Normalizing 2.917 -0.066
Quenching-Tempering 3.078 -0.078
Carburization 3.112 -0.050
3.3 유한요소해석
본 연구에서는 커플러에 대한 유한요소 모델에 정적 구조해석을 수행하기 위해서 핀과 링, 하우징과 콜렛은 비선형 접촉을 적용하였으며, 링과 콜렛은 미끄러짐만 허용하는 선형 접촉 조건을 사용하였다. 또한 철근과 콜렛은 완전 접촉을 사용하여 인장 하중을 전달할 수 있도록 구성하였으며, 적용 모델에 대한 절점수는 669,847개, 요소 수는 642,597개로 나누었다. 해석 모델에 대해서 625 MPa 인장응력을 테이퍼 각도 12.5, 15.0, 17.5o에 적용한 결과값은 본 미세스 등가 응력(Von-Mises Equivalent Stress)로 Table 11과 같으며, 그 차이를 비교할 수 있었다. 하우징과 콜렛의 경우 테이퍼 각도가 증가할수록 하우징 내부 표면의 응력이 증가하는 경향성을 확인할 수 있었다. 철근과 콜렛이 접촉되는 나사산 부위에서 최대응력이 발생되는데 이는 변위 증가 시 응력이 집중되는 부위이기 때문이다. 유한요소해석 결과를 바탕으로 Fig. 11과 같이 테이퍼 각도 12.5o를 적용한 커플러 형상의 구조해석 결과를 얻을 수 있었다.
Table 11

Structural analysis results of housing and collet according to taper angle

Table 11
Taper angle [o] 12.5 15.0 17.5
Housing [Mpa] 114 355 496
Collet 1,179 1,555 2,248
Fig. 11

Structural analysis results of coupler

KSPE_2021_v38n10_763_f011.jpg
3.4 커플러 성능평가
D25의 SD500 철근과 요소부품들을 유압력으로 체결한 커플러에 대한 최적화된 형상을 Fig. 12와 같이 제작하였다. 하우징의 경우 전체 하중을 견딜 수 있는 부품이며, 여기서 국부적인 열처리가 가능한 고주파 열처리를 추가적으로 적용하여 표면 경화를 향상시켰다. 고주파 열처리를 통한 경도 증가 효과는 Fig. 13을 통해서 확인할 수 있었다.16 최종적으로 구성품에 열처리를 적용한 시제품 형상은 Fig. 14와 같다.
Fig. 12

Coupler shape

KSPE_2021_v38n10_763_f012.jpg
Fig. 13

Vickers hardness test results of coupler housing

KSPE_2021_v38n10_763_f013.jpg
Fig. 14

Coupler element parts and assembly

KSPE_2021_v38n10_763_f014.jpg
본 연구를 통해 개발된 커플러의 경우 KS D0249에 의거한 Table 12의 평가항목을 만족해야 한다.13
Table 12

Technical performance guideline of SD500 coupler

Table 12
Technical performance indicator SD500
Tensile strength [MPa] 620 or more
Static proof tensile strength [MPa] 620 or more
Static proof residual deformation [mm] 0.3 or less
Low cycle repetition [MPa] 620 or more
Low temperature tensile strength [MPa] 620 or more
High stress repetitive strength E30 0.85E1
High stress cyclic strength residual deformation [mm] 0.3 or less
High cycle fatigue residual deformation [mm] 0.2 or less

- E30: 30회 반복 재하에 의해 생긴 최대 변형점과 원점을 연결한 기울기

- E1: 첫 번째 재하 시 기울기

커플러 성능평가를 위해서 인장시험을 수행한 결과 인장강도는 707 MPa이다. 철근의 항복점 95%까지 하중을 증가시킨 후 항복점의 2%까지 감소시킨 후 측정한 커플러의 잔류 변형량은 0.21 mm였으며, 그 후 파괴될 때까지 하중을 가한 결과 697 MPa에서 철근이 파단되었다(Fig. 15(a)). 그리고 철근의 항복점 90%에 해당하는 상한점과 5%에 해당하는 하한점을 100회 반복 시험한 후 파단 시까지 하중을 적용한 결과 670 MPa에서 철근이 파단되었다(Fig. 15(b)). -10oC의 환경 조건에 대해서 수행한 저온 인장시험의 파단강도는 675 MPa로 확인되었다. 철근의 항복점 95%까지 하중을 가한 후 항복점 2%에 해당하는 하중에 대해서 30회 반복 시험을 수행한 후 측정한 최대 변형량은 0.28 mm이다(Fig. 15(c)). 100회 반복 시험의 경우 식(8)의 조건을 만족하여야 되는데, 본 개발 제품에 대해서 E30은 19.4, E1은 18.9로 측정되었는데, 이는 19.4≥ 16.1로 만족함을 확인하였다(Fig. 15(c)).
(8)
E300.85E1
Fig. 15

Stress-deformation curves obtained from SD500 coupler performance tests

KSPE_2021_v38n10_763_f015.jpg
마지막으로 철근의 항복강도 33%에서부터 15%의 범위에 대해서 3 Hz로 사인파 형태로 200만회 반복 피로시험을 수행한 결과 파손 부위는 발생되지 않았으며, 전체 구조물에서 0.12 mm의 변형량을 확인할 수 있었다.
본 연구에서는 커플러의 변경된 적용 소재에 대한 기초물성 테스트와 피로시험을 수행하였고, 요소부품을 유압핀으로 체결 시 테이퍼 각도가 설계변수인데, 구조해석을 통해서 최적의 각도를 결정하였다. 또한 구조해석 결과를 통해서 고응력이 발생되는 요소부품에 대해서 침탄 및 고주파 열처리를 적용하였다. 최종적으로 유압력으로 체결한 커플러에 대해서 성능 테스트를 수행하였으며 다음과 같은 결론을 얻었다.
기존 커플러 소재의 경우 S35C, S45C을 사용하는데 SCM440 소재로 변경할 경우 항복강도 및 인장강도가 노말라이징보다는 퀜칭 템퍼링한 소재가 더 좋은 결과로 확인되었다. 내진성 평가를 위해서 저주기 피로시험과 구조물의 일부에서 요구되는 고주기 피로시험을 수행함으로써 해당 소재의 특성을 비교할 수 있었다.
커플러의 구조해석을 수행한 결과 설계변수인 테이퍼 각도가 작을수록 최적의 성능을 내며 테이퍼 각도 12.5o로 하우징의 내경부에 정밀곡면을 가공함으로써 접촉 마찰력을 발생시켜 철근의 슬립을 방지할 수 있도록 하였다. 그리고 하우징과 콜렛의 접촉부에서 응력이 집중되는 경향성을 확인할 수 있었는데 하우징의 경우 부분적인 열처리가 가능한 고주파 열처리를 적용 후 비커스 경도 측정을 통해서 표면 경화 효과를 확인할 수 있었다. 인장력이나 압축력을 받을 경우 이탈되지 않도록 콜렛의 철근 접촉부에 대해서 돌기 형상으로 가공하였다.
최종적으로 유압핀에 유압력을 가하여 체결한 시제품에 대해서 철근 콘크리트용 봉강의 기계식 이음 검사 방법인 KS D0249에 대한 테스트를 진행한 결과 모든 시험 규격을 만족하여 직경 D25의 SD500 철근에 대한 유압력 체결 공법을 적용한 커플러의 신뢰성을 확보할 수 있었다.
이 논문은 부산대학교 기본연구지원사업(2년)에 의하여 연구되었음.
  • 1.
    Kim, H. K., “Comparative Evaluation of Ductility in Mechanical Sleeve Reinforcing Bar Splice Filling High-Strength Mortar,” Journal of the Architectural Institute of Korea Structure & Construction, Vol. 28, No. 7, pp. 41-48, 2012.
  • 2.
    Choi, H., Kim, G., Kim, J., Seo, D., and Kang, K., “A Study on Development of Tempcore Re-Bar Mechanical Connection by Making Screw on Node and Rib,” Journal of the Architectural Institute of Korea Structure & Construction, Vol. 19, No. 3, pp. 99-106, 2003.
  • 3.
    Oh, Y. H. and Moon, J. H., “Analytical and Experimental Studies on Splice Sleeves for SD500 Rebars,” Journal of the Korea Concrete Institute, Vol. 25, No. 2, pp. 165-173, 2013.
    10.4334/JKCI.2013.25.2.165
  • 4.
    Sim, J. S., Park, C. W., Park, S. J., Kang, T. S., Ma, C. N., et al., “An Experimental Study on the Flexural Behavior of Reinforced Concrete with Up-Set Coupler Bars,” Proc. of the Spring Conference on Korea Concrete Institute, pp. 449-452, 2007.
  • 5.
    Paul, S. K., Rana, P. K., Das, D., Chandra, S., and Kundu, S., “High and Low Cycle Fatigue Performance Comparison between Micro-Alloyed and TMT Rebar,” Construction and Building Materials, Vol. 54, pp. 170-179, 2014.
    10.1016/j.conbuildmat.2013.12.061
  • 6.
    Kim, M. S. and Lee, Y. H., “Structural Behavior of Spliced Post-Tensioned Girders with Precast Box Segments,” International Journal of Concrete Structures and Materials, Vol. 13, No. 1, pp. 1-11, 2019.
    10.1186/s40069-018-0331-y
  • 7.
    Zheng, G., Kuang, Z., Xiao, J., and Pan, Z., “Mechanical Performance for Defective and Repaired Grouted Sleeve Connections under Uniaxial and Cyclic Loadings,” Construction and Building Materials, Vol. 233, Paper No. 117233, 2020.
    10.1016/j.conbuildmat.2019.117233
  • 8.
    KS D 3504, “Steel Bars for Concrete Reinforcement, Korea Agency for Technology and Standards,” 2019.
  • 9.
    ASTM E8/E8M-16, “Standard Test Methods for Tension Testing of Metallic Materials,” 2016.
  • 10.
    ASTM E606/E606M, “Standard Test Methods for Strain-Controlled Fatigue Testing,” 2012.
  • 11.
    ASTM E466-07, “Standard Practice for Conducting Force Controlled Constant Amplitude Axial Fatigue Tests of Metallic Materials,” 2007.
  • 12.
    ASTM E793-91, “Standard Practice for Statistical Analysis of Linear or Linearized Stress-Life (S-N) and Strain-Life (e-N) Fatigue Data,” 2006.
  • 13.
    KS D 0249, “Method of Inspection for Mechanical Splicing Joint of Bars for Concrete Reinforcement,” 2019.
  • 14.
    Dowling, N. E., “Mechanical Behavior of Materials,” Pearson, 4th Ed., 2013.
  • 15.
    Stephens, R. I., Fatemi, A., Stephens, R. R., and Fuchs, H. O., “Metal Fatigue in Engineering,” John Wiley & Sons, 2nd Ed., 2000.
  • 16.
    ASTM E92-17, “Standard Test Methods for Vickers Hardness and Knoop Hardness of Metallic Materials,” 2017.
  • 17.
    Kim, H. K., “Structural Performance of Steel Pipe Splice for SD500 High-Strength Reinforcing Bar under Cyclic Loading,” Architectural Research, Vol. 10, No. 1, pp. 13-23, 2008.
  • 18.
    Miyazawa, Y., Briffod, F., Shiraiwa, T., and Enoki, M., “Prediction of Cyclic Stress-Strain Property of Steels by Crystal Plasticity Simulations and Machine Learning,” Materials, Vol. 12, No. 22, Paper No. 3668, 2019.
    10.3390/ma12223668
  • 19.
    Nonaka, I., Setowaki, S., and Ichikawa, Y., “Effect of Load Frequency on High Cycle Fatigue Strength of Bullet Train Axle Steel,” International Journal of Fatigue, Vol. 60, pp. 43-47, 2014.
    10.1016/j.ijfatigue.2013.08.020
  • 20.
    Cao, X., Pyoun, Y., and Murakami, R., “Fatigue Properties of a S45C Steel Subjected to Ultrasonic Nanocrystal Surface Modification,” Applied Surface Science, Vol. 256, No. 21, pp. 6297-6303, 2010.
    10.1016/j.apsusc.2010.04.007
Sanghun Shin
KSPE_2021_v38n10_763_bf001.jpg
Senior Researcher of Smart Manufacturing Innovation Center, Busan Techno Park. His research interest is fatigue analysis.
Seonghun Park
KSPE_2021_v38n10_763_bf002.jpg
Professor in the School of Mechanical Engineering, Pusan National University. His research interests are numerical analysis, fatigue and biomechanics.

Download Citation

Download a citation file in RIS format that can be imported by all major citation management software, including EndNote, ProCite, RefWorks, and Reference Manager.

Format:

Include:

Development of Coupler Applying Hydraulic Force Fastening Method
J. Korean Soc. Precis. Eng.. 2021;38(10):763-773.   Published online October 1, 2021
Download Citation

Download a citation file in RIS format that can be imported by all major citation management software, including EndNote, ProCite, RefWorks, and Reference Manager.

Format:
Include:
Development of Coupler Applying Hydraulic Force Fastening Method
J. Korean Soc. Precis. Eng.. 2021;38(10):763-773.   Published online October 1, 2021
Close

Figure

  • 0
  • 1
  • 2
  • 3
  • 4
  • 5
  • 6
  • 7
  • 8
  • 9
  • 10
  • 11
  • 12
  • 13
  • 14
Development of Coupler Applying Hydraulic Force Fastening Method
Image Image Image Image Image Image Image Image Image Image Image Image Image Image Image
Fig. 1 Coupler configuration diagram
Fig. 2 Dimension of round bar tensile specimen
Fig. 3 Dimension of low cycle fatigue test specimen
Fig. 4 Dimension of high cycle fatigue test specimen
Fig. 5 Finite element analysis model of coupler
Fig. 6 Applicability judgement according to taper angles
Fig. 7 Stable hysteresis loops for determining cyclic stress-strain curve
Fig. 8 LCF strain-life curves plotted by superposition of elastic and plastic parts using the Mansion-Coffin-Basquin equation
Fig. 9 Experimental and predicted LCF lifetime comparison
Fig. 10 Stress-Number of Cycles (S-N) curves of SCM440 according to heat treatment
Fig. 11 Structural analysis results of coupler
Fig. 12 Coupler shape
Fig. 13 Vickers hardness test results of coupler housing
Fig. 14 Coupler element parts and assembly
Fig. 15 Stress-deformation curves obtained from SD500 coupler performance tests
Development of Coupler Applying Hydraulic Force Fastening Method

Mechanical property of materials

SD500 S35C S45C
Yield strength [MPa] 575 392 386
Tensile strength [MPa] 689 568 655
Elongation [%] 20 22 19

Chemical composition of S35C

C Si Mn P S Cr
0.36 0.17 0.62 0.021 0.022 0.14

Chemical composition of S45C

C Si Mn P S Cr
0.44 0.21 0.63 0.027 0.029 0.16

Chemical composition of SCM440

C Si Mn P S Cr Mo
0.41 0.23 0.65 0.007 0.002 1.02 0.18

Mechanical properties according to heat treatment

N QT C H.F
Yield strength [MPa] 452 700 1,244 -
Tensile strength [MPa] 742 903 1,535 1,418
Elongation [%] 29 12 1 0.8

(N: Normalizing, QT: Quenching-Tempering, C: Carburization, H.F: High frequency heat treatment)

Fatigue constants fitted with the Mansion-Coffin-Basquin equation

SCM440N SCM440QT
σ′f [MPa] 920 999
b -0.079 -0.058
εf 0.351 0.209
c -0.643 -0.600
E [GPa] 200 210

(N: Normalizing, QT: Quenching-Tempering)

Total strains of two types of materials

Total strain
SCM440 N εa = 0.005(2Nf)-0.079 + 0.351(2Nf)-0.643
SCM440 QT εa = 0.005(2Nf)-0.058 + 0.209(2Nf)-0.600

(N: Normalizing, QT: Quenching-Tempering)

Hardness of SCM440 according to heat treatment

SCM440 N QT
HRB 85 243
Hv 103 311

(N: Normalizing, QT: Quenching-Tempering)

Stress amplitude for high cycle fatigue test

(Unit: MPa)

Level SCM440N SCM440QT SCM440C
1 380 480 720
2 360 470 700
3 340 460 680
4 320 450 660
5 - 440 650

(N: Normalizing, QT: Quenching-Tempering, C: Carburization)

A and B values of the fatigue life equation for SCM440

SCM440 A B
Normalizing 2.917 -0.066
Quenching-Tempering 3.078 -0.078
Carburization 3.112 -0.050

Structural analysis results of housing and collet according to taper angle

Taper angle [o] 12.5 15.0 17.5
Housing [Mpa] 114 355 496
Collet 1,179 1,555 2,248

Technical performance guideline of SD500 coupler

Technical performance indicator SD500
Tensile strength [MPa] 620 or more
Static proof tensile strength [MPa] 620 or more
Static proof residual deformation [mm] 0.3 or less
Low cycle repetition [MPa] 620 or more
Low temperature tensile strength [MPa] 620 or more
High stress repetitive strength E30 0.85E1
High stress cyclic strength residual deformation [mm] 0.3 or less
High cycle fatigue residual deformation [mm] 0.2 or less

- E30: 30회 반복 재하에 의해 생긴 최대 변형점과 원점을 연결한 기울기

- E1: 첫 번째 재하 시 기울기

Table 1 Mechanical property of materials
Table 2 Chemical composition of S35C
Table 3 Chemical composition of S45C
Table 4 Chemical composition of SCM440
Table 5 Mechanical properties according to heat treatment

(N: Normalizing, QT: Quenching-Tempering, C: Carburization, H.F: High frequency heat treatment)

Table 6 Fatigue constants fitted with the Mansion-Coffin-Basquin equation

(N: Normalizing, QT: Quenching-Tempering)

Table 7 Total strains of two types of materials

(N: Normalizing, QT: Quenching-Tempering)

Table 8 Hardness of SCM440 according to heat treatment

(N: Normalizing, QT: Quenching-Tempering)

Table 9 Stress amplitude for high cycle fatigue test (Unit: MPa)

(N: Normalizing, QT: Quenching-Tempering, C: Carburization)

Table 10 A and B values of the fatigue life equation for SCM440
Table 11 Structural analysis results of housing and collet according to taper angle
Table 12 Technical performance guideline of SD500 coupler

- E30: 30회 반복 재하에 의해 생긴 최대 변형점과 원점을 연결한 기울기

- E1: 첫 번째 재하 시 기울기