Skip to main navigation Skip to main content
  • E-Submission

JKSPE : Journal of the Korean Society for Precision Engineering

OPEN ACCESS
ABOUT
BROWSE ARTICLES
EDITORIAL POLICIES
FOR CONTRIBUTORS
SPECIAL

초정밀 온도제어 및 측정기술 동향

정욱철1,2,#orcid

Progresses in Ultra-Precise Temperature Control and Thermometry Techniques

Journal of the Korean Society for Precision Engineering 2021;38(12):905-915.
Published online: December 1, 2021

1 부경대학교 기계공학과

2 부경대학교 스마트로봇융합응용공학과

1 Department of Mechanical Engineering, Pukyong National University

2 Department of Smart Robot Convergence and Application Engineering, Pukyong National University

#E-mail: wukchuljoung@pknu.ac.kr, TEL: +82-51-629-6132
• Received: June 17, 2021   • Revised: July 22, 2021   • Accepted: July 26, 2021

Copyright © The Korean Society for Precision Engineering

This is an Open-Access article distributed under the terms of the Creative Commons Attribution Non-Commercial License (http://creativecommons.org/licenses/by-nc/3.0) which permits unrestricted non-commercial use, distribution, and reproduction in any medium, provided the original work is properly cited.

  • 17 Views
  • 0 Download
  • 1 Crossref
  • 2 Scopus
prev next
  • In this work, recent advances in temperature control techniques and the resulting contemporary progress in precision thermometry are addressed together with a broad review of traditional temperature control methods. Particular emphases are placed on clarification of the nature of temperature control and its classification, and the relevant technical issues are addressed based on this clarification and classification. Being a thermodynamic quantity having the same dimension as energy, temperature of an object is traditionally controlled by means of the changing rate of energy (Heat) transfer; however, this approach has led to a slow, less stable, and uneven temperature field due to inherent limits caused by finite properties of materials. To overcome this problem, thermodynamic characteristics of two-phase heat transfer devices, such as heat pipes and loop heat pipes, have been extensively employed where high-speed nature of fluid flow was exploited to realize a uniform temperature field, and unique thermodynamic linkage between saturation temperature and pressure was successfully applied to attain a fast, stable, and predictable temperature control of a finite-sized isothermal space. Representative examples and applications are provided in the context of unique features of the introduced contemporary temperature control techniques, which caused significant scientific strides in the related fields.

cp

Specific Heat

F

Melted Fraction

k

Thermal Conductivity

μ

Dynamic Viscosity

Ni

Number of Moles of a Specific Species

p

Pressure

p control gas

Control Gas Pressure

p C.C.

Compensation Chamber Pressure

ρ

Density

S

Entropy

σT

Temperature Stability

σp

Pressure Stability

T

Thermodynamic Temperature

t 90

ITS-90 Temperature

t I.R.reading

Measured Isothermal Region Temperature

t I.R.predicted

Predicted Isothermal Region Temperature

t

Time

U

Internal Energy

V

Volume

νi

Velocity in i Coordinate

Q˙*

Heat Generation Rate per Unit Mass
온도는 광범위한 산업현장 및 첨단 연구분야에서 정밀한 제어 및 정확한 측정이 요구되는 기본 물리량이다. 이러한 온도의 제어는 온도 실현 및 교정을 위한 전통적 온도제어부터 최근 고부가가치 산업으로 인식되고 있는 첨단 소재 생산, 차세대 이동수단 및 원거리 탐지 체계의 핵심소자 운용, 우주 광학계 열제어, 재료 물성 기초연구 등의 분야에 이르기까지 현대 산업 및 과학탐구 전반에 걸쳐 그 중요성이 지속적으로 증가하고 있으며, 제어된 온도의 유효성을 바탕으로 한 정밀 온도 측정 및 실현에 대한 수요 역시 이에 궤를 맞추어 늘어나고 있다. 온도제어는 크게 시간에 대한 변화제어 또는 공간에 대한 변화제어의 두 분류에 대해 서로 다른 접근방식을 취해야 하며, 일반적으로 물질의 물성 및 에너지(열)제어에 의존하는 전통적 방법에 의한 온도제어를 수행할 시 주변 환경과의 열평형에서 멀어질수록 두 분류 중 하나 혹은 모두를 원하는 수준으로 달성하기 어려운 속성을 가진다.1 이와 같은 특성은 고온(혹은 극저온) 환경에서 두드러지게 발현되며, 이에 따라 고온에서 일정 수준 이상의 온도 균일도와 안정도를 가지는 온도제어는 일반적으로 알려진 전통적인 온도제어기술로는 달성이 어려운 실정이다.
본 논문에서는 이와 같은 온도제어의 특성에 대한 이해 증진 및 전통적 온도제어기술의 특성과 한계를 제시하고, 이를 극복하기 위해 최근 제시된 초정밀 온도제어기술에 대한 동향을 소개하고자 한다. 특히, 온도제어의 정밀도에 대한 요구가 높아질수록 이를 기반으로 한 정밀 측정에 대한 수요 역시 증가하고 있음에 따라 본 논문에서는 상기 정밀 온도제어기술의 유효성을 바탕으로 달성된 정밀 측정 분야의 중요한 결과에 대한 소개 역시 제시하고자 한다. 본 논문은 2장에서 온도제어의 일반적 속성 및 전통적 온도제어기술의 한계를 다루고, 3장에서 이러한 한계를 극복하기 위해 제안된 새로운 초정밀 온도제어기술의 연구 동향 및 적용 사례를 제시한다. 마지막으로 4장에서는 정밀공학의 관점에서 정밀 온도제어 및 측정기술이 가지는 의미를 요약하여 제시한다.
2.1 온도제어의 물리적 특성
온도는 열역학적으로 물체가 가지는 내부에너지의 엔트로피에 대한 편미분으로 정의되며(식(2)), 엔트로피의 통계역학적 차원이 없으므로 에너지와 동일한 차원을 갖는 물리량이다.3 이에 따라 온도는 물질이 가지는 미시적 에너지의 정량적 지표로서 의미를 가지며, 이러한 정의에 따라 제어하고자 하는 대상의 온도제어는 일반적으로 물체의 에너지양을 가열, 냉각 또는 확산 등을 통해 제어하는 방식으로 이루어진다.
(1)
U/SV,NiT
이러한 온도제어는 크게 시간에 대한 온도 변화율(dT/dt)을 제어하는 시간 온도제어(Temporal Temperature Control)과 공간상 온도분포 또는 온도구배(dT/dxi)를 제어하는 공간 온도제어(Spatial Temperature Control)의 두 분류로 나눌 수 있으며, 각각 특정한 시간 내에 대표 온도의 변화를 야기하거나, 공간상 온도 분포를 특정 수준 이하 또는 이상으로 유도하는 목적을 가지고 수행된다.
전통적 관점에서 온도제어는 온도제어의 목표물과 열접촉을 하는 물체 또는 매질의 에너지(열)전달 또는 분포를 조절하여 목표물의 온도제어를 달성하며, 이러한 기능 구현에 있어 온도 제어 대상 물체(매질)의 물성은 온도제어 특성에 가장 큰 영향을 미치는 인자로 작용한다. 예를 들면 동일한 열 전달율에 대해서도 시간 온도제어에 있어 대상 물체의 비열(cp)이나 밀도(ρ)에 따라 온도 변화율에 차이가 발생하며 물체의 열전도도(k)나 매질의 열전달 계수(h=hk,cp,ρ,xi,vi,μ)에 따라 다른 정상상태 온도 분포 거동을 보일 수 있다. 이러한 특성은 아래의 비압축성, 비점성소산 매질에 대한 단순화한 에너지 보존식을 통해 명확히 드러난다.
(2)
ρcpT/t+ρcpviT/xi=k T/xixi+ρQ˙*
이와 같은 전통적 온도제어기술의 물성 의존 특성은 고속·정밀 온도제어 구현에 있어 가장 큰 제약요소로 작용하며, 유한한 값을 가지는 물성에 의해 불안정한 온도 거동 또는 느린 온도변화가 야기되거나, 불균일 온도장이 실현되어 요구되는 수준의 온도 안정도(또는 속도) 및 균일도 달성을 어렵게 한다. 이에 따라 전통적인 온도제어기술은 위의 두 분류에 대해 상대적 중요도에 따라 제어 대상의 물성을 고려한 최적 기능 구현이 가능한 방향으로 발전해왔으며, 온도제어의 두 특성 지표인 시간 변화율 및 공간 구배를 모두 우수한 수준으로 만족시키는 열량제어에 기반한 전통적 방식의 온도제어기술은 현실적으로 구현이 어려운 실정이다.
2.2 기존 온도제어기술의 속성 및 한계
본 절에서는 기존의 전통적 온도제어기술의 대표적 예를 속성별로 분류하고 각각의 특성 및 한계를 제시한다. 본 절에서 다루는 전통적 온도제어기술의 예는 정밀 온도측정의 범주에 속하는 예로 한정하였다. 먼저, 열량제어 방식의 가장 대표적 온도제어기술로 전기로(Furnace)를 이용한 온도제어 방식이 있다. 전기로는 작업 공간(Working Space)의 온도를 목표(설정) 온도로 높여 유지하는 것을 주요한 목표로 가지는 기기이며, 작업 공간 내 특정 위치 온도를 실시간 측정하고, 작업 공간 주변에 설치된 히터의 발열율을 PID 제어 등의 제어방법을 적용하여 조절함으로써 시간 온도제어를 수행하는 기기이다.
일반적인 전기로의 시간 온도제어 특성은 수요에 부응하는 편이나, 온도제어기의 최적 설정 이상의 빠른 온도제어 수행 시 온도 Overshoot이나 Undershoot 등이 발생할 수 있어 일정 수준 이상의 속도를 가지는 급격한 제어는 수행하기 어렵다. 또한, 일정한 크기의 작업 공간을 가지는 전기로의 경우 온도 상승에 따라 주변으로의 열손실이 증가하여 작업 공간 내 온도구배 역시 증가하는 단점을 가진다. 이러한 한계를 극복하기 위해 열전도도가 높은 금속 재질(Cu, Al, Ni 합금 등)의 등온블록(Equalizing Block)을 작업 공간과 히터 사이에 설치할 수 있으나, 해당 물질들의 유한한 열전도도로 인해 열손실이 큰 경우 일정 크기 이상의 온도구배는 필연적으로 발생하게 된다. 이에 따라 중온 이상의 온도에서 온도제어를 하는 전기로의 경우 작업 공간 중앙에서 주변으로의 열흐름(손실)을 줄이기 위해 다중 가열요소를 적용한 전기로(Multi-Zone Furnace)를 사용한다.4 Fig. 1은 이러한 다중 가열요소 전기로의 개략도를 보여준다.
Fig. 1

Schematic of a three-zone furnace

KSPE_2021_v38n12_905_f001.jpg
Fig. 1에서 보이듯이, 다중 가열요소 전기로는 상온에 노출된 전기로의 작업 공간 상부와 하부에 보조 히터를 설치하고, 보조히터의 발열율을 제어함으로써 작업 공간 내 온도구배를 개선한 기기이다. 일반적으로 주 히터와 보조 히터간 조율이 적절히 된 상용 전기로의 경우, 약 400 oC에서 약 20 cm 길이의 작업공간 내 온도차는 최대 0.1 oC 이하로 유지할 수 있다. Fig. 2는 약 230 oC에서 측정된 상용 3중 가열요소 전기로의 작업 공간 내 온도 변화를 보여준다.5 다중 가열요소 전기로는 일반적으로 100 oC 이상 1,000 oC 이하의 온도까지 사용이 가능한 것으로 알려져 있으나, 600 oC 이상의 고온에서는 최대 약 30 oC에 달하는 온도차가 존재할 수 있음이 알려져 고온 균일 온도장 실현이 요구되는 분야의 적용에는 제약을 받는다.2
Fig. 2

Comparison of the temperature uniformities between the 3-zone furnace and the pressure-controlled loop heat pipe5 (Accessed from Ref. 5 with permission)

KSPE_2021_v38n12_905_f002.jpg
다음으로 항온조(Bath)를 이용한 공간 온도제어 방식이 있다. 항온조는 액체상 물질을 매질로 하여 작업 공간 내 연속적 혼합(Mixing) 유동을 야기하여 높은 수준의 온도 균일도를 달성하는 기기이다. Fig. 3은 일반적인 항온조의 구조를 보여준다.
Fig. 3

Schematic of a stirred bath

KSPE_2021_v38n12_905_f003.jpg
항온조는 유동하는 액체상 매질이 가지는 높은 열전달 계수로 인해 작업 공간 내 우수한 온도 균일도를 가지나, 액체상 매질의 큰 체적 및 비열, 밀도로 인해 시간 온도제어에 매우 긴 시간이 소요되는 단점을 가진다. 항온조는 사용 매질을 달리할 경우 약 -80 oC에서 약 550 oC의 온도 범위에서 사용이 가능하며, 상온 항온조의 경우 수 Millikelvin 수준의 우수한 온도 균일도 및 안정도를 갖는다. 다만, 전술한 바와 같이 시간 온도제어 시 비현실적으로 긴 시간이 소요된다는 점에서 빠른 온도제어가 요구되는 분야에의 적용에 제약을 받으며, 매질이 액체상을 유지하는 온도대에만 사용이 가능하다는 한계 역시 가진다.
마지막으로 항온조의 단점인 액체상 매질로부터 오는 한계를 보완할 수 있는 항온항습조(Chamber)를 이용한 온도제어 방식이 있다. 항온항습조는 일반적으로 습공기(Humid Air)를 매질로 사용하며, 연속적 유동을 야기하여 공간 온도제어에 유리한 높은 열전달 계수를 달성함과 동시에 낮은 비열 및 밀도를 가지는 매질의 특성을 이용하여 비교적 빠른 시간 온도제어를 수행하는 기기이다. 항온항습조의 경우 보통 상온영역대의 제한된 온도 영역에서 사용되며, 온도와 더불어 작업 공간의 습도를 제어하는 목적으로도 널리 사용된다. 다만, 항온항습조의 경우 낮은 비열 및 밀도를 가지는 매질인 공기의 유동에 의존하므로 작업 공간 내 온도 균일도 및 안정도는 상기 두 온도제어 방식에 비해 일반적으로 열등한 특성을 갖는다. 아래 Table 1은 이와 같은 대표적인 전통적 열량제어 방식의 온도제어기기들의 특성을 온도제어범위, 온도제어 속도, 온도 균일도, 온도 안정도의 측면에서 상대 비교한 결과를 보여준다.
Table 1

Comparison of the traditional temperature control apparatuses

Table 1
Apparatus Furnace Bath Chamber
Parameter
Range Wide Moderately
limited
Limited
Speed Moderate Poor Moderate
Uniformity Moderate Excellent Poor
Stability Moderate Excellent Poor
3.1 고속 열전달 기반 등온 영역 실현기술
전술한 바와 같이 전통적인 열량제어 기반 온도제어기술 및 기기는 온도제어의 속도 및 실현된 온도장의 균일도 측면에서 각각 한계와 제약 조건을 가지고 있으며, 이러한 제약은 주로 온도제어 대상 물체(또는 매질)의 유한한 물성에 기인한다. 본절에서는 실현된 온도장의 균일도를 향상시키는 기술의 원리 및 동향을 소개한다. 앞서 기술한 바와 같이 전기로를 통해 실현된 고온 온도장의 온도구배를 야기하는 요인은 작업 공간 주변 등온 블록이 가지는 유한한 열전도도에 기인한다. 실제, 구리나 알루미늄의 열전도도는 각각 약 400Wm-1K-1 및 200Wm-1K-1 정도이며, 고온 온도제어에 사용되는 Ni 합금 계열의 열전도도는 약 15 Wm-1K-1에 그친다는 점에서 작업 공간 내 온도구배의 발생은 필연적이다. 이러한 물질의 유한한 물성에 기인하는 한계를 극복하기 위해 우수한 고속 열전달 성능을 갖는 2상 열전달 장치(Two-Phase Heat Transfer Device)인 히트 파이프(Heat Pipe)를 전기로의 등온 블록 대신 사용하는 기술이 1976년 Bassini6,7 등에 의해 제안되었다.
히트 파이프는 밀폐된 용기 내에 일정량의 작동유체를 주입하여 내부의 작동유체가 열역학적 포화상태(Thermodynamic Saturated State)로 유지되도록 고안된 장치이다. 이러한 히트파이프는 온도차가 존재하는 환경에 노출될 경우 고온부에서의 작동유체의 증발 및 저온부에서의 응축이 일어나며, 양단에서 자연적으로 발생하는 포화증기압차에 의한 증기상 작동유체 유동이 발생하여 대량의 열을 고속 전달하는 특성을 가진다. 아울러 히트 파이프는 밀폐용기의 내면에 미세한 기공을 가지는 다공질 층(Wick)이 도포되어 있어 저온부에서 응축된 액체상 작동유체가 자연적으로 발생하는 모세관 압력차에 의해 고온부로 연속 이송되는 특성을 가져 대량의 열을 매우 빠른 속도로 외부의 에너지 소모없이 전달할 수 있는 특성을 가진다. 이러한 히트 파이프는 일반적으로 수 천 Wm-1K-1 이상의 유효 열전도도(Effective Thermal Conductivity) 가지는 것으로 알려져 초열전도체(Super Heat Conductor)로 명명되기도 한다.8,9 Fig. 4는 일반적인 히트 파이프의 운전을 개략적으로 보여준다.
Fig. 4

Schematic of a conventional heat pipe

KSPE_2021_v38n12_905_f004.jpg
Bassini7 등은 이러한 히트 파이프를 전기로의 등온블록을 대체할 수 있도록 환형의 외형을 갖도록 구성하여 고온 전기로의 작업 공간 온도 균일도를 향상시키고자 하였으며, 실제 약 1,000 oC에서 측정된 히트 파이프 등온블록(Heat Pipe Isothermal Furnace Liner) 내부 작업 공간의 수직거리 25 cm에 대한 최대 온도차는 약 10 mK (0.01 oC) 이내였으며, 이러한 온도 균일도는 기존 다중 가열요소 전기로로는 달성이 불가능한 수준의 획기적 결과였다. 이러한 균일 온도장 실현 특성으로 인해 정밀 온도 실현 및 측정이 요구되는 온도표준 및 기준기급 온도계 교정과 관련된 분야에서 히트 파이프 기반 등온 전기로는 고온 영역에서 대체 불가능한 기술로 자리매김하고 있다.10 Figs. 5는 이러한 히트 파이프 기반 등온 전기로의 개략도를 보여주며, 6은 히트 파이프 등온블록 내부 작업 공간의 수직거리 변화에 따른 온도 균일도 변화를 보여준다.11
Fig. 5

Schematic of a heat pipe-based furnace

KSPE_2021_v38n12_905_f005.jpg
Fig. 6

Immersion profile in the heat pipe isothermal furnace liner (Working fluid: mercury)11 (Accessed from Ref. 11 with permission)

KSPE_2021_v38n12_905_f006.jpg
이와 같은 히트 파이프 기반 등온 전기로는 작업 공간 내 우수한 온도 균일도를 갖는 등온 영역이 형성된다는 장점을 가지나, 히트 파이프 자체가 가지는 열전달 한계로 인해 확장된 운정 영역에서 온도구배 감소 및 운전 제약을 받을 수 있다는 한계를 가진다. 또한, 기존 다중 가열요소 전기로나 히트 파이프 기반 등온 전기로 모두 가열요소가 작업 공간을 둘러싸는 구조를 가지고 있어 불필요한 자기장 형성에 의한 작업 공간 내 정밀 온도 측정 제약이 발생한다는 단점 역시 가진다. Joung12 등은 이러한 한계를 극복하기 위해 기존의 히트 파이프와는 다른 구조를 가지는 피동형 고속 2상 열전달 기기인 루프 히트 파이프(Loop Heat Pipe, 이하 LHP)를 적용하여 가열부와 이격된 별도의 고속 증기유동구간에서 등온 영역을 구현하고자 하였다.
이와 같이 제안된 LHP 기반 등온 영역 실현 장치는 내경 52 mm, 수직 길이 455 mm의 등온 영역을 가열부와 이격된 고속 증기유동 영역에 형성하였으며, 증류수를 작동유체로 하여 측정된 등온 영역의 최대 온도차 및 유효 열전도도는 1,700W의 열수송율에서 약 0.5 oC와 311,000 Wm-1K-1에 달하는 값을 보였다. 특히, 구리의 800배에 해당하는 높은 유효 열전도도는 기준 온도 실현을 위한 고정밀 온도제어 장치로서 해당 기술의 가능성을 보여주었다. Figs. 78은 LHP 기반 등온 영역 실현 장치의 구성도와 등온 영역에서 측정된 최대 온도차 및 이를 바탕으로 계산한 유효 열전전도도 평가 결과를 보여준다.
Fig. 7

External view of the loop heat pipe-based isothermal region generator12 (Accessed from Ref. 12 with permission)

KSPE_2021_v38n12_905_f007.jpg
Fig. 8

Steady state variations of the maximum temperature difference and the effective thermal conductivity of the isothermal region12 (Accessed from Ref. 12 with permission)

KSPE_2021_v38n12_905_f008.jpg
위의 히트 파이프 또는 LHP 기반의 등온 영역 실현 장치는 전통적인 전기로가 달성할 수 있는 수준 이상의 등온 영역 온도 균일도를 달성할 수 있다는 점에서 고무적인 특성을 가지나, 두 기술 모두 형성된 온도장의 온도제어는 열량제어 방식의 시간 온도제어를 수행하다는 점에서 온도제어 속도가 느리며 안정도 역시 사용된 히터의 제어 안정도를 넘어서지 못하는 한계를 가졌다. 이에 기존의 열량제어식 시간 온도제어의 한계를 극복할 수 있는 새로운 온도제어기술에 대한 수요가 끊임없이 제기되었다.
3.2 열역학적 특성 기반 초정밀 온도제어기술
앞 절에서 언급한 바와 같이 공간 온도제어에 있어 우수한 특성을 보였던 히트 파이프 기반 등온 영역 실현기술은 시간 온도제어에 있어 기존의 열량제어 방식을 답습함으로써 온도제어가 느리고, 부정확하며, 제어온도의 예측이 불가능하다는 한계를 지녔다. 이러한 시간 온도제어의 한계를 극복하기 위해 피동형 2상 열전달 장치의 고유한 열역학적 특성을 이용한 기술이 제안되었다. 히트 파이프의 내부는 전술한 바와 같이 작동유체의 열역학적 포화상태가 유지되는 환경이며, 이에 따라 작동유체의 온도는 히트 파이프 내부의 압력에 의해 고유하게 결정된다. Bassini6,7 등은 이러한 특성을 이용하여 히트 파이프 기반 등온블록을 외부의 압력제어기와 연결된 개방형으로 설치하고, 히트 파이프 내부의 압력을 불활성 제어기체의 압력제어를 통해 제어하여 열량제어 없이 압력제어로 히트 파이프 기반 등온 블록의 온도를 제어하는 개념이 제안되었다. Fig. 9는 이러한 개념을 구현한 기체 압력제어식 히트 파이프(Gas-Controlled Heat Pipe)의 개념도를 보여준다.
Fig. 9

Schematic of a gas-pressure controlled heat pipe

KSPE_2021_v38n12_905_f009.jpg
일반적인 유체의 포화온도 및 포화압력간 관계는 온도 증가에 따라 압력이 더욱 빠르게 증가하는 비선형적 증가 특성을 가지므로, 온도와 압력에 연결관계를 가지는 열역학적 포화상태를 유지할 경우 압력제어의 상대정밀도 대비 월등이 우수한 상대정밀도를 가지는 온도제어가 가능하다.13,14 Fig. 10은 이러한 열역학적 원리를 적용한 기체 압력제어식 히트 파이프의 압력제어 시 관측한 작업 공간 내 온도 변화를 보여준다.13
Fig. 10

Temperature stability in the gas-controlled heat pipe at different temperatures13 (Accessed from Ref. 13 with permission)

KSPE_2021_v38n12_905_f010.jpg
Fig. 10에서 확인할 수 있듯이, 히트 파이프와 연결된 압력제어기를 이용하여 제어기체의 압력을 제어할 경우 시험한 온도에 대해 1 mK 이내의 우수한 온도 안정도를 가지는 것을 확인할 수 있다. 이는 PID 기반 전통적 열량제어식 시간온도제어로는 달성이 불가능한 수준의 안정도로, 기체 압력제어식 히트 파이프의 초정밀 온도제어기로서의 유효성을 명확히 보여준다. 이와 같은 특성으로 인해 기체 압력제어식 히트 파이프 기반 등온블록을 사용할 경우 우수한 온도 균일도 및 안정도를 갖는 온도장의 실현이 기능해졌으며, 국제온도표준의 기준 온도 실현 또는 기준기급 정밀 온도계의 교정에 있어 기존에는 달성 불가능한 수준으로 여겨졌던 불확도 수준에서 온도의 실현 및 교정이 가능해졌다.5,10,11,22-24
상기와 같이 기체 압력제어식 히트 파이프를 적용할 경우 정밀한 제어기체 압력제어를 통해 우수한 온도 균일도와 안정도를 갖는 작업 공간의 실현은 가능해지나, 일정 크기 이상의 제어기체 압력 증가 또는 감소를 통한 고속 온도제어에는 제약이 따른다. 전술한 바와 같이 히트 파이프는 내부 작동유체의 열역학적 상태가 포화상태로 유지되어야 정상적인 운전이 담보되는 기기이므로, 만약 제어기체와 같은 이종의 유체가 히트 파이프 내부로 유입될 시 히트 파이프 내부의 열역학적 포화상태가 상실됨으로써 정상적 운전이 이루어지지 않게 된다. 이에 따라 히트 파이프 내부의 열역학적 포화상태를 유지하며, 제어기체 압력제어를 수행하기 위해 증기상 작동유체와 제어기체간 상 경계면이 히트 파이프 외곽 냉각부에만 머물도록 히터의 열량을 제어하여야 한다는 제약이 존재한다.15,16 이에 따라 실제 특정온도에서의 안정도는 제어기체 압력의 미세조정을 통해 정밀하게 유지할 수 있으나, 안정도 범위 이상의 온도제어는 작동유체와 제어기체간 상 경계면 위치 유지를 위한 열량제어가 수반되어야 하므로 매우 느리다는 단점을 가진다.
이러한 한계를 극복하기 위해 Merlone14,17,18 등은 서로 다른 작동유체를 사용하는 복수의 기체 압력제어식 히트 파이프를 동일한 압력제어기에 연결하여 같은 압력에 대해 복수의 고안정도 균일 온도장을 실현하는 온도증폭기(Temperature Amplifier)개념을 제안하였다. Figs. 11은 증류수와 Na를 작동유체로 하는 온도증폭기 구성의 개략도를 보여주며, 12는 Hg과 Na를 작동유체로 사용한 온도증폭기의 두 실현된 온도간 관계를 보여준다.
Fig. 11

Scheme of the temperature amplifier with water and sodium heat pipes. 1: cooling jacket, 2: heater, 3: coolant (water), 4: thermometer wells, 5: valve13 (Accessed from Ref. 13 with permission)

KSPE_2021_v38n12_905_f011.jpg
Fig. 12

Temperature changes on the mercury and sodium heat pipes linked in a temperature amplifier16 (Accessed from Ref. 16 with permission)

KSPE_2021_v38n12_905_f012.jpg
다만, 이와 같은 온도증폭기는 물리적으로 서로 다른 등온공간이 실현됨에 따라, 이동이 용이하지 않은 대상의 온도제어에는 적용이 어렵다는 점 및 시스템의 복잡성으로 인해 특수한 응용 외에는 적용이 어렵다는 한계를 가진다.13
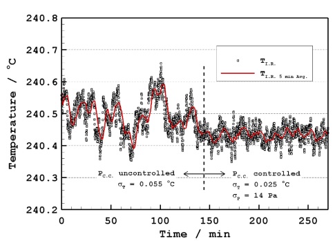
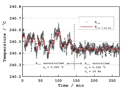
이러한 현실적 한계를 극복하기 위해 3.1 절에서 기술한 LHP 기반 등온 영역 실현 장치를 이용한 새로운 온도제어기술이 최근 제안되었다. LHP는 기존의 히트 파이프와는 달리 작동유체가 증발하며 포화상태를 유지하는 증발기와 고유의 열·수력학적 연결관계(Thermo-Hydraulic Linkage)를 가지는 2상 작동유체 저장소인 보상실(Compensation Chamber)이라는 별도의 요소를 가진다. 이러한 보상실은 내부 압력에 따라 증발기의 포화압력을 조절하는 기능을 가지며, 운전 특성상 이종 유체 유입에 따른 열역학적 포화상태 상실이 보상실 고유 기능 수행에 영향을 주지 않는다. 이에 따라 보상실에 다량의 제어기체를 주입하거나 제거하는 방식의 압력제어를 수행하더라도 증발기에서 발생되는 증기상 작동유체는 열역학적 포화상태를 유지하는 특성을 가진다. 이러한 LHP의 열역학적 특성을 이용하여 Joung19 등은 보상실 내 제어기체 압력을 능동 제어함으로써 증발기에서 배출되는 증기의 포화온도를 제어하는 기술(압력제어식 온도제어기술, Hydraulic Temperature Control Technique)을 제안하였다. Fig. 12는 LHP 기반 압력제어식 온도제어 장치의 개략도를 보여준다.
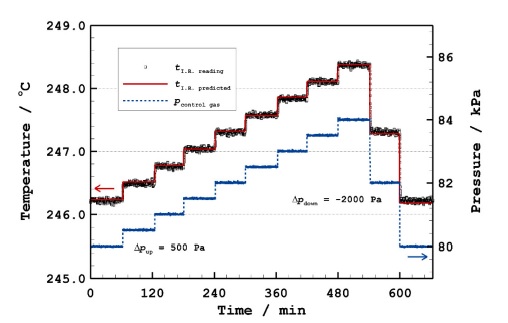
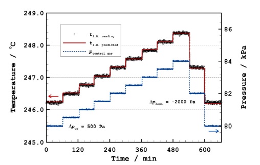
이와 같이 제안된 LHP 기반 시간 온도제어기술은 보상실 내 제어기체 압력 변화에 따라 증발기에서 발생한 증기의 포화압력 및 포화온도가 제어되는 원리를 이용하며, 압력 변화에 따른 온도 변화를 열역학적 관계식(Clapeyron-Clausius 근사식)을 통해 예측할 수 있다는 특성 또한 가진다. Figs. 1314는 이와 같은 루프 히트 파이프 기반의 압력제어식 온도제어 시 안정도 변화 및 제어기체의 압력 변화에 따른 등온 영역 온도 및 열역학적 관계식에 의해 예측된 온도의 변화 경향을 보여준다.
Fig. 13

Scheme of the pressure-controlled loop heat pipe19 (Accessed from Ref. 19 with permission)

KSPE_2021_v38n12_905_f013.jpg
Fig. 14

Stability change in the isothermal region temperature when the compensation chamber pressure was controlled19 (Accessed from Ref. 19 with permission)

KSPE_2021_v38n12_905_f014.jpg
Fig. 13에서 확인할 수 있듯이, 루프 히트 파이프 기반 압력제어식 온도제어기술은 압력제어에 따라 확연히 개선된 온도 안정도를 보였으며, Dowtherm A를 작동유체로 하는 압력제어식 LHP의 경우 약 25 mK의 온도 안정도를 보였다. 이에 더해 Fig. 14에 도시된 바와 같이 LHP 기반 압력제어식 온도제어기술은 기존의 기체 압력제어식 히트 파이프로는 달성이 어려운 일정 크기 이상의 온도 변화까지 고속·정밀 제어할 수 있는 특성을 보였으며, 압력 변화에 의해 변화된 온도는 Clapeyron-Clausius 근사식에 의해 예측된 온도와 정확히 일치하는 특성을 보였다. Joung20,21 등은 이에 더해 제안된 압력제어식 온도제어기술의 확장성 및 실제 적용성을 높이기 위해 제어기체의 압력제어 변화율이 온도제어의 안정도에 미치는 영향 및 응축기의 온도가 안정적인 온도제어 범위에 미치는 영향을 평가하여 해당 기술의 실질적 적용을 위한 유효성을 향상시켰다.
위와 같이 온도제어의 두 측면인 공간 온도제어와 시간 온도제어의 상충되는 특성을 모두 만족시키기 위한 온도제어기술의 진보는 최근에 이르러서 유체의 열역학적 특성을 응용함으로써 기술적 돌파구를 마련할 수 있었으며, 이러한 온도제어기술을 적용한 정밀 측정분야의 응용예는 3.3절에서 다루도록 한다. Table 2는 이와 같이 유체의 열역학적 특성을 응용한 두 압력제어식 온도제어기술(기체 압력제어식 히트 파이프 및 압력제어식 루프 히트 파이프)의 특성을 온도제어 측면에서 상대 비교한 결과를 보여준다.
Table 2

Comparison of the gas-controlled heat pipe and the pressure-controlled loop heat pipe in the context of the temperature control

Table 2
Apparatus Gas-controlled
heat pipe
Pressure-controlled
loop heat pipe
Parameter
Range Limited Wide
Speed Slow Fast (Instantaneous)
Stability Excellent Moderate
Uniformity Excellent Moderate
3.3 초정밀 온도제어기술 응용 정밀측정
앞 절에서 소개된 피동형 2상 열전달 기기의 열역학적 특성을 응용한 공간 및 시간 온도제어기술은 기존의 열량제어 방식 온도제어로는 달성하기 어려운 수준의 불확도 개선을 이루거나 혹은 물리적으로 측정이 불가능한 것으로 알려진 물리량 측정에 적용되어 의미 있는 과학적 진보를 이루는데 중요한 기여를 하였다.
먼저 600 oC 이상의 온도 영역을 정의하는 국제온도눈금 1990(International Temperature Scale of 1990, 이하 ITS-90)의 고정점(Fixed Point)인 알루미늄과 은의 응고온도는 기존의 다중 가열요소 전기로를 이용한 실현 시 작업 공간 내 온도 균일도 저하로 인해 응고 평탄부의 축소 및 응고 진행에 따른 열적 외란(Thermal Disturbance) 영향 증대 등의 요인에 의해 고정점 실현 불확도 증가 또는 기준기급 온도계인 표준백금저항온도계(Standard Platinum Resistance Thermometer, 이하 SPRT)의 교정 불확도 증가 등을 초래한다.2,5 이러한 문제는 향상된 공간 온도 제어 특성을 갖는 히트 파이프 기반 등온 전기로를 사용할 시 크게 개선될 수 있으며, 이에 따라 600 oC 이상의 고온 고정점 실현 및 이를 이용한 SPRT 교정은 대부분 히트 파이프 기반 등온 전기로를 이용하여 수행된다.5,10 또한, Marcarino11,22-24 등은 기체 압력제어식 히트 파이프의 향상된 온도 안정도 환경에서 정밀 온도계 비교 교정을 수행할 수 있는 기술을 제안하여, 고온 온도계의 교정불확도를 크게 낮추는데 기여하였다.
상기의 전통적인 온도계 교정 응용 분야에 더해 히트 파이프 기반 등온 전기로는 고온 열전대의 가장 큰 불확도 요소인 불균질성(Inhomogeneity) 평가에 사용되어 큰 불확도 저감을 이루었으며,25,26 기체 압력제어식 히트 파이프 기반 온도제어기술은 그 고유의 우수한 온도 안정도 특성을 이용하여 현 국제온도표준인 ITS-90의 비고유성(Non-Uniqueness)을 평가하는데 유효하게 이용되었다.27-30 또한, Machin31 등은 히트 파이프 기반 등온블록의 우수한 온도 균일도를 이용하여 절대복사온도계를 이용하여 -40 oC에서 1,000 oC의 범위에서 ITS-90 온도와 열역학적 온도의 차이(TT90)를 측정하여 그 결과를 보고하였다. 상기의 예들은 새롭게 제안된 정밀 온도제어기술을 이용하여 기존의 정밀온도 측정 수요를 충족시킨 것으로, 새롭게 제안된 온도제어기술이 기존 정밀 측정분야의 기술적 진보에 기여한 바를 명확히보여준다. 다음의 예는 기존에는 측정이 불가능하다고 알려진 이상적 기준 온도를 새롭게 제안된 정밀·고속 온도제어기술을 이용하여 측정 및 결정에 성공한 것으로 온도제어기술이 새로운 연구분야를 창출한 예를 보여준다.
현 국제온도표준인 ITS-90는 선택된 순수 물질의 상 변화 온도를 기준 온도로 사용하여 온도 범위를 정의한다. 다만, 현실적으로 순수한 물질은 존재하지 않으며, 불순물의 존재에 따라 상변화온도는 응고 온도(Freezing Temperature), 용융 온도(Melting Temperature), 액상선 온도(Liquidus Temperature), 고상선 온도(Solidus Temperature) 등으로 나뉘게 되며, 이에 따라 온도 표준의 기준 온도 정의에 모호성이 발생하게 된다.5 Joung4,32-34 등은 이러한 문제를 해결하기 위해 앞서 소개한 LHP 기반 압력제어식 온도제어기술의 고속·정밀 온도제어 특성을 이용하여 불순물이 함유된 기준물질의 액상선 온도를 결정하는데 성공하였다. 특히, LHP 기반 압력제어식 온도제어기술을 이용하여 직각파 형태의 온도펄스를 발생시켜 물질의 용융속도를 초정밀 제어하는 펄스 기반 용융법을 바탕으로 불순물이 함유된 주석 시료의 액상선 온도를 최초로 측정 및 결정하였고,32,33 이를 바탕으로 주석의 삼중점 온도 및 불순물 효과가 보정된 이상적 순수 주석의 상변화 온도 역시 최초로 결정하였다.34,35 Figs. 1516은 LHP 기반압력제어식 온도제어를 이용하여 발생시킨 온도 펄스 및 이를 바탕으로 정밀 제어한 주석의 용융 온도 변화를 보여준다.
Fig. 15

Typical example of the hydraulic operating temperature control of the pressure-controlled loop heat pipe19 (Accessed from Ref. 19 with permission)

KSPE_2021_v38n12_905_f015.jpg
Fig. 16

Responses of the isothermal region temperature to the square wave-type pressure changes of the control gas33 (Accessed from Ref. 33 with permission)

KSPE_2021_v38n12_905_f016.jpg
상기의 정밀 온도측정 및 실현 예에 더해, 기체 압력제어식 히트 파이프는 유체의 고유 물성인 상변화 온도 및 압력간 관계를 정밀하게 측정하는데에 중점적으로 사용되었으며, Merlone16,35-37 등은 온도증폭기 기술을 적용하여 Hg와 Na의 포화온도 및 압력 관계를 정확히 측정하는데 성공하여 이 결과를 보고한 바 있다. Fig. 17은 이와 같이 측정된 Hg와 Na의 포화증기압곡선(Coexistence Curve)의 기울기(dT/dp) 변화를 보여준다. Marcarino35 등은 이와 같이 얻어진 유체의 열역학적 물성을 바탕으로 측정이 어려운 고온 ITS-90 온도를 증폭시켜 실현하는 기술을 제안한 바 있다.
Fig. 17

Melting temperature variations of the tested tin samples in terms of the absolute temperature difference from the outside-nucleated freezing temperature of tin33 (Accessed from Ref. 33 with permission)

KSPE_2021_v38n12_905_f017.jpg
Fig. 18

Slopes of the measured Hg and Na coexistence curves16 (Accessed from Ref. 16 with permission)

KSPE_2021_v38n12_905_f018.jpg
이와 같이 피동형 2상 열전달 기기의 열역학적 특성을 응용한 공간 및 시간 온도제어기술은 기존의 정밀 측정 수요를 충족함과 동시에 새로운 정밀 측정분야의 지평을 열거나, 물질의 고유 물성 평가와 같은 기초 연구 분야에서 기존 기술이 제공하지 못한 기술적 토대를 제공함으로써 정밀 측정과 관련된 분야 발전에 크게 기여하였다. 물론, 이와 같이 제안된 새로운 온도제어 기술은 여전히 구성의 복잡성과 운용의 어려움 측면에서 기술적 성숙도와 자립도가 낮으며, 이에 따라 지속적인 연구개발을 통해 더 넓은 산업 및 기초 연구분야에 적용되도록 개선을 이루어야 한다.
온도는 거의 모든 산업분야 및 기초 연구분야에서 정밀한 제어와 정확한 측정이 요구되는 기본 물리량이다. 기존의 온도제어 기술은 온도의 열역학적 특성에 입각한 열량제어 방식을 사용하였으나, 온도제어 대상 물체 혹은 매질이 가지는 유한한 물성으로 인해 빠르고, 정밀한 온도제어 구현에 물리적 한계를 지녔다. 이에 이러한 물질 물성의 한계를 극복하기 위해 피동형 2상 열전달 기기의 고속 열전달 특성 및 고유한 열역학적 운전 특성을 응용한 초정밀 고속 온도제어기술이 제안되었으며, 이러한 기술들은 기존의 정밀 측정 수요를 충족시켰을뿐더러 기존의 기술로는 실현 불가능한 것으로 여겨졌던 물리량의 측정 및 결정을 가능케 하였다. 정밀 공학은 물리량의 정밀 제어 및 측정(구현)을 통해 산업적, 과학적 가치 증대 혹은 창출을 이루는 분야임을 고려할 때, 위와 같이 소개한 온도제어기술의 혁신 및 진보와 이에 수반한 정밀 온도 측정 분야의 발전은 정밀공학이 추구하는 가치의 현시의 좋은 예라고 볼 수 있다. 이에 정밀공학의 목표와 이에 부합하는 결과로서 위와 같이 초정밀 온도제어 및 측정기술 동향을 제시하며 본 논문을 마친다.
이 논문은 2021년도 정부(교육부)의 재원으로 한국연구재단의 지원을 받아 수행된 기초연구사업임(No. NRF-2020R1I1A3072736).
  • 1.
    Kutz, M., “Temperature Control,” John Wiley & Sons, 1st Ed., pp.71-107, 1968.
  • 2.
    Head, D., Gray, J., and de Podesta, M., “Current Work on Furnaces and Data Analysis to Improve the Uniformity and Noise Levels for Metal Fixed Points,” International Journal of Thermophysics, Vol. 30, No. 1, pp. 296-305, 2009.
    10.1007/s10765-008-0509-7
  • 3.
    Callen, H. B., “Thermodynamics and an Introduction to Thermostatistics,” American Journal of Physics, Vol. 66, No. 2, pp. 43-49, 1998.
    10.1119/1.19071
  • 4.
    Pearce, J., Steur, P. P. M., Joung, W., Sparasci, F., Strouse, G., et al., “Guide to the Realization of the ITS-90-Metal Fixed Points for Contact Thermometry,” www.bipm.org/en/committees/cc/cct/guide-its90.html (Accessed 15 NOVEMBER 2021)
  • 5.
    Joung, W., Gam, K. S., and Kim, Y.-G., “Realization of Tin Freezing Point Using a Loop Heat Pipe-Based Hydraulic Temperature Control Technique,” Metrologia, Vol. 52, No. 5, pp. 694-707, 2015.
    10.1088/0026-1394/52/5/694
  • 6.
    Bassani, C. and Busse, C., “A Pressure Controlled Precision Thermostat,” Heat Pipes, No. pp. 537-544, 1976.
  • 7.
    Bassani, C., Geiger, F., and Sciamanna, G., “Progress on Gas Controlled Heat Pipe Precision Furnaces for Temperatures Up to 1100 °C,” Proc. of the 4th International Heat Pipe Conference, pp. 37-46, 1982.
    10.1016/B978-0-08-027284-9.50009-7
  • 8.
    Reay, D., Kew, P., McGlen, R., “Heat Pipes,” Butterworth-Heinemann, 6th Ed., pp.15-64, 2014.
    10.1016/B978-0-08-098266-3.00002-9
  • 9.
    Lee, H., “Thermal Design: Heat Sinks, Thermoelectrics, Heat Pipes, Compact Heat Exchangers, and Solar Cells,” John Wiley & Sons, pp. 180-239, 2010.
    10.1002/9780470949979.ch4
  • 10.
    Busse, C., “A New Generation of Precision Furnaces,” Temperature, Its Measurement and Control in Science and Industry, Vol. 5, pp. 1265-1273, 1982.
  • 11.
    Marcarino, P. and Merlone, A., “Towards New Temperature Standards for Contact Thermometry above 660 °C,” Metrologia, Vol. 39, No. 4, pp. 395, 2002.
    10.1088/0026-1394/39/4/9
  • 12.
    Joung, W., Kim, Y.-G., Yang, I., and Gam, K. S., “Operating Characteristics of a Loop Heat Pipe-Based Isothermal Region Generator,” International Journal of Heat and Mass Transfer, Vol. 65, pp. 460-470, 2013.
    10.1016/j.ijheatmasstransfer.2013.05.074
  • 13.
    Merlone, A., Coppa, G., Bassani, C., Bonnier, G., Bertiglia, F., et al., “Gas-Controlled Heat Pipes in Metrology: More than 30 Years of Technical and Scientific Progresses,” Measurement, Vol. 164, Paper No. 108103, 2020.
    10.1016/j.measurement.2020.108103
  • 14.
    Merlone, A., Giunta, S., and Tiziani, A., “A New Mercury Gas-Controlled Heat Pipe for Temperature Amplifier and as Calibration Facility,” International Journal of Thermophysics, Vol. 29, No. 5, pp. 1876-1886, 2008.
    10.1007/s10765-008-0425-x
  • 15.
    Gotoh, M. and Hill, K., “Temperature Stability and Reproducibility of Pressure-Controlled Sodium-Filled Heat Pipe Furnaces,” Temperature, Its Measurement and Control in Science and Industry, Vol. 6, No. Part 2, pp. 955-959, 1992.
  • 16.
    Merlone, A., Dematteis, R., and Marcarino, P., “Gas-Controlled Heat Pipes for Accurate Liquid-Vapor Transition Measurements,” International Journal of Thermophysics, Vol. 24, No. 3, pp. 695-712, 2003.
  • 17.
    Marcarino, P. and Merlone, A., “Thermodynamic Temperature Amplification by Means of Two Coupled Gas-Controlled Heat-Pipes,” Temperature, Its Measurement and Control in Science and Industry, Vol. 7, pp. 951-956, 2003.
    10.1063/1.1627251
  • 18.
    Sadli, M., Renaot, E., Elgourdou, M., Bonnier, G., “Approximation of the ITS-90 between 600 °C and 830 °C Using the Potassium Vapour P-T Relation,” Proc. of TEMPMEKO’ 96, pp. 49-54, 1996.
  • 19.
    Joung, W., Gam, K. S., Kim, Y.-G., and Yang, I., “Hydraulic Operating Temperature Control of a Loop Heat Pipe,” International Journal of Heat and Mass Transfer, Vol. 86, pp. 796-808, 2015.
    10.1016/j.ijheatmasstransfer.2015.03.056
  • 20.
    Joung, W., Kim, Y.-G., and Lee, J., “Transient Characteristics of a Loop Heat Pipe-Based Hydraulic Temperature Control Technique,” International Journal of Heat and Mass Transfer, Vol. 103, pp. 125-132, 2016.
    10.1016/j.ijheatmasstransfer.2016.07.068
  • 21.
    Joung, W. and Lee, J., “Effect of Sink Temperature on the Stability of the Pressure-Controlled Loop Heat Pipe,” Journal of Heat Transfer, Vol. 141, No. 9, Paper No. 091805, 2019.
    10.1115/1.4043956
  • 22.
    Marcarino, P., Merlone, A., Coggiola, G., and Tiziani, A., “Gas Controlled Heat Pipe for Thermometer Calibration between 450 °C and 950 °C,” Proc. of the 7th International Symposium on Temperature and Thermal Measurements in Industry, pp. 298-303, 1999.
  • 23.
    Marcarino, P., Merlone, A., and Dematteis, R., “Low Cost Apparatus for Accurate Comparisons of Platinum Resistance Thermometers,” Proc. of the 8th International Symposium on Temperature and Thermal Measurements in Industry, pp. 641-646, 2002.
  • 24.
    Marcarino, P. and Merlone, A., “Gas-Controlled Heat-Pipes for Accurate Temperature Measurements,” Applied Thermal Engineering, Vol. 23, No. 9, pp. 1145-1152, 2003.
    10.1016/S1359-4311(03)00045-0
  • 25.
    Webster, E., Mason, R., Greenen, A., and Pearce, J., “A System for High-Temperature Homogeneity Scanning of Noble-Metal Thermocouples,” International Journal of Thermophysics, Vol. 36, No. 10, pp. 2922-2939, 2015.
    10.1007/s10765-015-1939-7
  • 26.
    Kim, Y.-G., Lee, Y. H., and Joung, W., “Temperature Dependence of the Thermoelectric Inhomogeneity for Type B Thermocouples from 180 °C to 960 °C,” Measurement Science and Technology, Vol. 28, No. 5, Paper No. 055006, 2017.
    10.1088/1361-6501/aa6366
  • 27.
    Hill, K. and Woods, D., “A Preliminary Assessment of the Non-Uniqueness of the Its-90 in the Range 500 °C to 660 °C as Measured with a Cesium-Filled, Pressure-Controlled, Heat-Pipe Furnace,” Temperature, Its Measurement and Control in Science and Industry, Vol. 6, pp. 215-219, 1992.
  • 28.
    Marcarino, P., “Preliminary Results on Its-90 Non-Uniqueness between Freezing Points of Al and Ag,” Proc. of the Tempmeko’ 96, pp. 25-32, 1997.
  • 29.
    Tamba, J., Kishimoto, I., and Arai, M., “Pressure-Controlled Water Heat Pipe for Investigation of the Non-Uniqueness of the Its-90 in the Range from 65 °C to 157 °C,” Proc. of the AIP Conference on American Institute of Physics, pp. 963-968, 2003.
    10.1063/1.1627253
  • 30.
    Coppa, G. and Merlone, A., “A Study on Its-90 Type 3 Non-Uniqueness between Freezing Points of Al and Ag,” Measurement, Vol. 89, pp. 109-113, 2016.
    10.1016/j.measurement.2016.04.014
  • 31.
    Machin, G. and Chu, B., “High-Quality Blackbody Sources for Infrared Thermometry and Thermography between -40 and 1000 °C,” The Imaging Science Journal, Vol. 48, No. 1, pp. 15-22, 2000.
    10.1080/13682199.2000.11784341
  • 32.
    Joung, W., Park, J., and Pearce, J. V., “Determination of the Liquidus Temperature of Tin Using the Heat Pulse-Based Melting and Comparison with Traditional Methods,” Metrologia, Vol. 55, No. 3, pp. 334-349, 2018.
    10.1088/1681-7575/aa9c8a
  • 33.
    Joung, W., Pearce, J. V., and Park, J., “Comparison between the Liquidus Temperature and Triple-Point Temperature of Tin Realized by Heat Pulse-Based Melting,” Metrologia, Vol. 55, No. 3, pp. L17-L24, 2018.
    10.1088/1681-7575/aac113
  • 34.
    Joung, W., Pearce, J. V., and Park, J., “Comparison between the Liquidus Temperatures of Tin Samples Having Different Impurity Compositions and Correction of the Impurity Effect,” Metrologia, Vol. 56, No. 4, Paper No. 045005, 2019.
    10.1088/1681-7575/ab27e1
  • 35.
    Marcarino, P. and Bassani, C., “Approximation of the ITS-90 between 660 °C and 962 °C Using the Sodium Vapour Pt Relation,” Temperature, Its Measurement and Control in Science and Industry, Vol. 6, pp. 209-214, 1992.
  • 36.
    Merlone, A., Dematteis, R., and Marcarino, P., “Gas-Controlled Heat Pipes for Accurate Liquid-Vapor Transition Measurements,” International Journal of Thermophysics, Vol. 24, No. 3, pp. 695-712, 2003.
  • 37.
    Merlone, A. and Musacchio, C., “The Mercury Vapour Pressure vs. Temperature Relation between (500 and 665) K,” The Journal of Chemical Thermodynamics, Vol. 42, No. 1, pp. 38-47, 2010.
    10.1016/j.jct.2009.07.012
Wukchul Joung
KSPE_2021_v38n12_905_bf001.jpg
Assistant Professor in the Department of Mechanical Engineering, Pukyong National University. His research interest is on precision thermal control and thermometry techniques.

Download Citation

Download a citation file in RIS format that can be imported by all major citation management software, including EndNote, ProCite, RefWorks, and Reference Manager.

Format:

Include:

Progresses in Ultra-Precise Temperature Control and Thermometry Techniques
J. Korean Soc. Precis. Eng.. 2021;38(12):905-915.   Published online December 1, 2021
Download Citation

Download a citation file in RIS format that can be imported by all major citation management software, including EndNote, ProCite, RefWorks, and Reference Manager.

Format:
Include:
Progresses in Ultra-Precise Temperature Control and Thermometry Techniques
J. Korean Soc. Precis. Eng.. 2021;38(12):905-915.   Published online December 1, 2021
Close

Figure

  • 0
  • 1
  • 2
  • 3
  • 4
  • 5
  • 6
  • 7
  • 8
  • 9
  • 10
  • 11
  • 12
  • 13
  • 14
  • 15
  • 16
  • 17
Progresses in Ultra-Precise Temperature Control and Thermometry Techniques
Image Image Image Image Image Image Image Image Image Image Image Image Image Image Image Image Image Image
Fig. 1 Schematic of a three-zone furnace
Fig. 2 Comparison of the temperature uniformities between the 3-zone furnace and the pressure-controlled loop heat pipe5 (Accessed from Ref. 5 with permission)
Fig. 3 Schematic of a stirred bath
Fig. 4 Schematic of a conventional heat pipe
Fig. 5 Schematic of a heat pipe-based furnace
Fig. 6 Immersion profile in the heat pipe isothermal furnace liner (Working fluid: mercury)11 (Accessed from Ref. 11 with permission)
Fig. 7 External view of the loop heat pipe-based isothermal region generator12 (Accessed from Ref. 12 with permission)
Fig. 8 Steady state variations of the maximum temperature difference and the effective thermal conductivity of the isothermal region12 (Accessed from Ref. 12 with permission)
Fig. 9 Schematic of a gas-pressure controlled heat pipe
Fig. 10 Temperature stability in the gas-controlled heat pipe at different temperatures13 (Accessed from Ref. 13 with permission)
Fig. 11 Scheme of the temperature amplifier with water and sodium heat pipes. 1: cooling jacket, 2: heater, 3: coolant (water), 4: thermometer wells, 5: valve13 (Accessed from Ref. 13 with permission)
Fig. 12 Temperature changes on the mercury and sodium heat pipes linked in a temperature amplifier16 (Accessed from Ref. 16 with permission)
Fig. 13 Scheme of the pressure-controlled loop heat pipe19 (Accessed from Ref. 19 with permission)
Fig. 14 Stability change in the isothermal region temperature when the compensation chamber pressure was controlled19 (Accessed from Ref. 19 with permission)
Fig. 15 Typical example of the hydraulic operating temperature control of the pressure-controlled loop heat pipe19 (Accessed from Ref. 19 with permission)
Fig. 16 Responses of the isothermal region temperature to the square wave-type pressure changes of the control gas33 (Accessed from Ref. 33 with permission)
Fig. 17 Melting temperature variations of the tested tin samples in terms of the absolute temperature difference from the outside-nucleated freezing temperature of tin33 (Accessed from Ref. 33 with permission)
Fig. 18 Slopes of the measured Hg and Na coexistence curves16 (Accessed from Ref. 16 with permission)
Progresses in Ultra-Precise Temperature Control and Thermometry Techniques

Comparison of the traditional temperature control apparatuses

Apparatus Furnace Bath Chamber
Parameter
Range Wide Moderately
limited
Limited
Speed Moderate Poor Moderate
Uniformity Moderate Excellent Poor
Stability Moderate Excellent Poor

Comparison of the gas-controlled heat pipe and the pressure-controlled loop heat pipe in the context of the temperature control

Apparatus Gas-controlled
heat pipe
Pressure-controlled
loop heat pipe
Parameter
Range Limited Wide
Speed Slow Fast (Instantaneous)
Stability Excellent Moderate
Uniformity Excellent Moderate
Table 1 Comparison of the traditional temperature control apparatuses
Table 2 Comparison of the gas-controlled heat pipe and the pressure-controlled loop heat pipe in the context of the temperature control