Skip to main navigation Skip to main content
  • E-Submission

JKSPE : Journal of the Korean Society for Precision Engineering

OPEN ACCESS
ABOUT
BROWSE ARTICLES
EDITORIAL POLICIES
FOR CONTRIBUTORS
REGULAR

UV광 조사 열화 가속 실험을 통한 Polypropylene 블레이드의 사용환경 신뢰성 분석

Mechanical Reliability of Polypropylene Blade of Wind Power Generator under Environmental Operating Condition by Accelerated UV-Light Deterioration Test

Journal of the Korean Society for Precision Engineering 2022;39(6):411-416.
Published online: June 1, 2022

1 부산대학교 기계기술연구원

2 부산대학교 MEMS 센터

3 부산대학교 기계공학부

4 에스코 알티에스 연구소㈜

1 Institute of Mechanical Technology, Pusan National University

2 MEMS Technology Center, Pusan National University

3 School of Mechanical Engineering, Pusan National University

4 ESCO RTS Co., Ltd.

#E-mail: sanghu@pusan.ac.kr, TEL: +82-51-510-1011
• Received: December 8, 2021   • Revised: March 27, 2022   • Accepted: April 27, 2022

Copyright © The Korean Society for Precision Engineering

This is an Open-Access article distributed under the terms of the Creative Commons Attribution Non-Commercial License (http://creativecommons.org/licenses/by-nc/3.0) which permits unrestricted non-commercial use, distribution, and reproduction in any medium, provided the original work is properly cited.

  • 12 Views
  • 0 Download
prev next
  • A small wind power generator with Archimedes blades made of polypropylene has been developed for the effective generation of eco-friendly electronic energy. Despite the excellent structural characteristics of the higher performance of an Archimedes blade, its shape is complicated to manufacture, and presents difficulty in guaranteeing mechanical reliability in the outdoor operating environment. Especially, the UV-Light deterioration in a long-term of several years affects the mechanical properties of the polypropylene blade. To evaluate the change of strength depending on the amount of UV-Light irradiation in the outdoor environment, an accelerated UV-Light deterioration test is proposed and conducted using three types of blade materials, such as polypropylene with UV-Resistance material (C20 H25 N3O) coated and mixed ones. Through the experimental tests, the UV resistant material coating on the blade showed the best properties for long-term exposure to UV light. Based on the test results of property changes, the Archimedes blade was analyzed using a finite element method to predict the reliability of the blade’s underused conditions. As a result of the analysis, the UV degradation resistance of Archimedes blades with UV coating improved by 2.4 times compared to the case without UV coating.
최근 지구 온난화로 인한 환경문제가 대두되면서 대규모 화력발전 대신에 친환경 에너지 발전에 대한 요구가 급증하고 있다. 그 중에서 풍력발전의 경우 다른 친환경 발전에 비하여 상대적으로 좁은 면적에 설치가 가능하고 전력 생산성이 높은 장점을 가지고 있다. 특히 소형 풍력발전기는 저속에서 발전이 가능하고, 작동 소음이 45 dBA 이하 수준으로 낮기 때문에 대형 풍력 발전기와 달리 주거지 인근에 설치가 가능한 장점이 있다[1-4].
특히 소형 아르키메데스 풍력발전기(Archimedes Wind Turbine)는 아르키메데스 수차 날개 구조를 이용하여 기존의 수직 및 수평형 소형 풍력발전기의 장점을 모두 가지고 있다[5,6]. Kim 등은 전산 유체역학에 기반하여 아르키메데스 풍력발전기의 발전 성능과 블레이드의 유동 패턴을 분석하였으며, 이를 실험적으로 가시화하였다[6,7]. Arman 등은 블레이드 설계형상 변수에 따른 풍력발전기의 성능을 비교하였고[8], Yang 등은 금속 박판 성형 공정을 기반으로 아르키메데스 풍력발전기 가변 곡률 블레이드의 제작 공정을 제안하였다[9]. Gil 등은 운전 하중 조건 및 극한 풍속 조건에서의 구조 안정성에 대한 평가를 진행하였다[10]. 기존 아르키메데스 소형 풍력발전기 관련 연구는 주로 형상 최적화, 성능평가, 제작 공정 등에 초점을 맞추어 진행되었다. 그러나 장기간 실사용 조건에서 풍력 블레이드의 내구성 및 신뢰성과 관련된 연구는 부족하다.
실제로 소형 풍력발전기는 20여년 수준의 내구수명을 가지고 있어 사용환경에 장기간 노출로 나타나는 내구성 및 신뢰성과 관련된 연구가 필요하다. 특히 소형 풍력발전기의 블레이드는 경량화 및 대량생산을 위하여 고분자 소재를 사용하기에 장기간 사용환경에서 자외선(Ultraviolet Light, UV)광 노출로 블레이드 재료물성이 변하게 된다. 고분자 소재에 UV광이 장시간 조사될 경우 표면균열, 표피박리 등이 발생하고, 항복강도 등 재료물성도 열화현상(Degradation)에 의해 달라진다. 이러한 현상은 UV광이 고분자 물질에서 Beta Scission 반응을 통해 고분자 사슬고리를 끊기 때문이다[11]. 폴리프로필렌(Polypropylene, PP) 소재의 경우 UV광 노출기간에 따라 초기 1-22년간 빠르게 표피층이 열화현상이 진행되어 약 0.5 mm 깊이의 경화층(Hardened Layer)이 형성된다. 이후 2-3년 동안 경화층 생성 속도는 둔화되면서 약 1 mm 수준까지 경화층 두께가 증가된다[11-13]. 따라서 고분자 소재를 이용한 소형 풍력발전기는 UV광에 의한 열화현상을 고려하여 장기간 사용환경에 대한 강성설계를 해야 한다[14].
본 연구에서는 유리섬유로 강화된 PP 소재로 제작된 소형 아르키메데스 풍력발전기에 있어 UV광 열화에 의해 변질되는 재료물성을 분석하고 소형 풍력발전기의 장기간 사용환경 신뢰성을 검토하고자 한다. 또한, UV광에 의한 PP 소재 열화현상을 방지하기 위하여 UV광 차단제를 혼합하거나 표면에 코팅하는 경우에 대해서 열화 특성을 비교하고 이에 따른 물성평가를 진행하였다.
2.1 시편
본 연구에서는 PP에 40 wt%의 유리섬유를 첨가하여 강화한 PP1340 소재와 UV광 차단물질인 벤젠(Benzene) 계열 UV-329(C20H25N3O)를 사용하였다. UV광 차단제 적용 유무와 형태에 따라 세 가지 형태의 시편을 준비하였다. UV광 차단제를 포함하지 않은 PP1340 소재 시편(Case-1), UV광 차단제를 20 μm 두께로 코팅한 시편(Case-2), 2 wt%의 UV광 차단제를 혼합하여 만든 시편(Case-3)을 제작하였다. 모든 시편의 형상은 Fig. 1과 같이 ASTM-D68 규격에 따르며, 사출 공정의 조건은 소재 주입온도 230, 몰드온도 30oC, 주입압력 6 MPa, 주입시간 2 sec이다.
Fig. 1

Dimensions and geometry of three types of tensile specimen (ASTM D638) (Unit: mm)

KSPE_2022_v39n6_411_f001.jpg
2.2 기초 물성 및 UV광 노출 가속시험
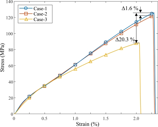
PP1340 소재의 기본 물성을 확인하기 위하여 PNU 하이브리드 엔지니어링 센터의 인장시험기(RB-301 UNITECH-M, R&B Co., Ltd., Korea)를 이용하여 50 mm/min의 인장속도로 시험을 수행하였다. 시편 유형별로 각각 3회씩 실험하였으며, 소재의 탄성계수(E), 인장강도(σY)의 평균치와 표준편차를 Table 1에 정리하였다. Case-1의 인장강도는 125 MPa, 탄성계수 11.6 GPa이며, Case-2의 경우 인장강도는 평균 123MPa, 탄성계수 12.3 GPa로 Case-1과 동일 수준이다. 이는 UV광 차단제 코팅으로 인한 물성 변화는 없다는 것을 의미한다. Case-3의 인장강도는 평균 98 MPa, 탄성계수 8.9 GPa로 원 PP1340 소재에 비하여 인장강도가 79.7, 탄성계수 76.7% 수준으로 작다(Fig. 2 참조). 이는 UV광차단제(UV-329)가 혼합된 레진이 경화(Curing)될 때 가교반응(Cross-Linking)을 방해하여 고분자 사슬 길이가 감소되기 때문이다[15,16].
Table 1

Tensile test results according to a period of UV exposure

Table 1
Exposure
time
[Year, Yr.]
Initial After 5 Yr. After 10 Yr.
Mean
[MPa]
Std
[%]
Mean Std Mean Std
Case-1 σY 125 3.44 113 2.8 105 3.6
E 11.6 10.3 10.2 12.7 9.5 11.6
Case-2 σY 123 4.0 119 1.8 114 2.9
E 11.2 13.4 10.5 11.4 10.0 12.0
Case-3 σY 98 3.1 94 4.6 93.7 3.6
E 8.9 12.6 9.0 11.7 9.2 12.4
Fig. 2

Comparison of engineering stress and engineering strain curves of three types of specimens

KSPE_2022_v39n6_411_f002.jpg
장기간 사용환경에서 UV광 노출에 따른 변화를 살펴보기 위해 가속시험을 수행하였다. 동일한 UV광 조사량(조사조도(W/m2) × 등가 조사시간(Year))에서 물성 변화량이 동일하다는 가정(Reciprocity Rule) 하에서 풍력발전기 블레이드의 사용환경 노출 시간에 따른 물성의 변화를 분석할 수 있다[17-19]. 기상청 제공 태양기상자원지도에 따르면 우리나라의 연간 태양광 평균 조사량은 4,735 MJ/m2, 일조시간은 2,110시간, 자연광 중 UV광영역의 복사조도는 31.3 W/m2이다[19]. 이를 바탕으로 5,000 W/m2의 복사조도를 가지는 수은램프 UV 노광기(RX-H2500, Raynics Co., Ltd., Korea)를 이용하여 8시간 노광 후 시편을 뒤집어 다시 8시간을 노광을 하는 형태로 등가 조사시간(Equivalent Exposure Period) 동안 실험을 실시하였다.
가속시험을 위한 등가 조사시간(Tequi, Hour)은 식(1)과 같이 평가하고자 하는 수명(Ttarget, Hour)을 광열화 가속수명시험의 가속계수(Acceleration Factor, Acc. Factor)로 나누어 구할 수 있다. 가속계수는 식(2)에 나타낸 것처럼 제품의 사용주기를 고려한 빈도 가속인자(Frequency Acceleration Factor, Afreq)와 장치의 복사조도를 고려한 장치 가속인자(Device Acceleration Factor, Adevi)의 곱한 값이다[20].
(1)
Tequi=Ttarget/Acc.factor
(2)
Acc.factor=Afreq×Adevi
Afreq식(3)과 같이 특정 기간(1년) 중 UV광에 노출되는 시간(Texpose)이 차지하는 비로서 나타낼 수 있다. 나선형 블레이드의 경우 실외에 1년 동안 설치될 경우 Texpose은 일조시간 × 365일과 같다. 이에 따라 1년(8,760시간) 동안 일조시간을 고려할 때, Afreq는 4.15가 된다. Adevi식(4)와 같이 가속시험 장치의 복사조도(Idevi)를 외부의 UV광 영역의 복사조도(Isun)로 나누어 구할 수 있다. 위에서 언급한 Isun(31.3 W/m2)과 Idevi(5,000 W/m2)를 고려할 때 Adevi는 159.74로 계산된다. 최종적으로 본 실험에서 실시한 UV 노광시험의 Acc. Factor는 식(2)에 의해 662.92로 계산할 수 있다. 따라서 등가 조사시간은 사용기간 5년에 대하여 66시간, 10년 사용기간 대하여 132시간으로 계산되어 UV 노광기로 각각 구해진 등가 조사시간만큼 UV광을 조사하였다.
(3)
Afreq=1 Yr 8,760 hour / Texpose
(4)
Adevi=Idevi / Isun
Table 1에 나타낸 UV광에 열화된 시편의 인장시험 결과에서 항복강도가 Case-1 시편은 5, 10년 열화에 따라 9.6, 16% 감소하였으며, Case-2 시편의 항복강도 감소량은 4, 8% 로 Case-1의 절반 수준이다. Case-3 시편의 경우 5, 10년 열화에 따라 항복강도의 감소량이 동일하게 4%로 5년 이후에는 열화가 거의 진행되지 않음을 알 수 있다. 탄성계수는 Case-1 시편은 5, 10년 UV 노출조건에 따라 각각 12.1, 18.1%씩 감소하였으며, Case-2 시편의 경우 각각 6.3, 10.7% 수준으로 UV광 차단제가 없는 Case-1 시편의 감소량보다 약 절반 수준이다. 또한 Case-3 시편의 경우 UV광 조사시간에 무관하게 탄성계수가 동일 수준으로 유지된다. Fig. 3에 나타낸 것처럼 UV광 열화에 의해 Case-1 시편의 경우 UV광 노출시간이 증가할수록 표면이 갈라져 박리가 일어나고 섬유가 노출되는 등 열화의 특징을 보인다. 그러나 UV광 차단제가 들어간 Cases-2와 3 시편의 경우 표피부에 열화현상이 거의 나타나지 않는다.
Fig. 3

UV exposed specimen according to exposure time and UV resistance type

KSPE_2022_v39n6_411_f003.jpg
시편의 무게는 노광하지 않은 것을 기준으로 Case-1에서 11.59 g, Case-2에서 11.87 g, Case-3에서 11.53 g이다. Cases-1과 2의 무게 차이인 0.3 g (Case-2 시편의 2.5 wt%)은 UV광 차단제 코팅층의 무게라고 할 수 있다. 이는 Case-3의 UV광 차단제 혼합량인 2 wt%보다 높은 값이다. UV광 열화가 진행됨에 따라 Cases-1, 2 시편의 평균 무게 감소가 있으나 감소량이 표준편차 이내로 유의미한 차이가 있다고 할 수 없다(Table 2 참조).
Table 2

Variation of weight after UV exposure

Table 2
Exposure
time
[Year, Yr.]
Initial After 5 Yr. After 10 Yr.
Mean
[g]
Std
[%]
Mean Std Mean Std
Case-1 11.53 4.3 11.52 4.3 11.43 8.8
Case-2 11.87 4.0 11.73 8.4 11.73 4.2
Case-3 11.53 8.7 11.53 4.3 11.53 0
3.1 해석 모델 및 경계 조건
실제 나선형 블레이드의 형상을 고려하여 작동 조건에서 구조적 안정성을 평가하였다. 특히 UV광 차단제 적용 유형과 UV광 노출량에 따라 재료물성이 변하므로 이를 고려하여 구조 특성을 평가하였다. 유한요소해석은 ANSYS(2020 R2)를 사용하였으며, Fig. 4와 같이 회전하중을 고려하여 해석 조건을 부여하였다. 나선형 블레이드는 총 길이(L: 463 mm), 직경(D: 700 mm), 축에 대해 120o 간격으로 3개의 블레이드가 연결되어 있다. 이때 곡면 외곽에 형성되어 있는 외주 곡선(Radius of Blade Outer Curve, RO, 390 mm)과 회전 중심축에 접촉하는 내주곡선(Radius of Blade Inner Curve, RI, 60 mm)이 수평/수직 방향으로 다르게 형성되어 블레이드는 연속적으로 곡률이 바뀌는 형상을 가진다[8].
Fig. 4

Geometries and boundary conditions of spiral blade

KSPE_2022_v39n6_411_f004.jpg
해석을 위한 요소(Element)는 3차원 2차 솔리드 요소(Quadratic Solid Element)를 사용하였으며, 요소 수는 138,214개이다. 회전 속도 변화에 따른 구조 특성을 평가하기 위하여 경계 조건으로 회전축 양단의 변위를 구속하였다. 해석 물성은 Table 1에 기술한 것과 같이 UV광 차단제 적용 유무 및 UV광 노출시간에 따른 물성을 적용하여 해석하였다.
3.2 회전 하중에 따른 변형 거동
블레이드의 회전에 따른 구조 특성을 관찰하기 위하여 기존 연구에서 제시한 나선형 블레이드 최대 작동 회전속도인 500 rpm에서 해석을 수행하였다[10]. UV광을 조사하지 않은 초기 Case-1 시편의 물성을 이용한 해석 결과에서 입구측(Inlet)의 회전축에서 71.5 MPa 수준의 최대 응력이 발생하였다(Fig. 5(a) 참조). 변형량의 경우 Fig. 5(b)에 나타낸 것과 같이 원심력에 의해 블레이드 끝단에서 회전 반경 반향으로 최대 29 μm의 변형이 발행하였다.
Fig. 5

FE analysis results of spiral blade; (a) Stress distribution of blade and maximum von Mises stress in dot-lined box (Outlet shaft), and (b) Deformation distribution at 100 rpm

KSPE_2022_v39n6_411_f005.jpg
UV광 차단제 적용 및 UV광 열화에 따라 변형량 분포가 Fig. 6과 같이 변화하였다. Case-1 시편의 물성을 적용한 경우 5, 10년의 UV광 열화가 진행됨에 따라서 최대 변형량이 32, 35 μm로 변화하였다. 이는 5년 광열화에 따라 블레이드 변형량이 3 μm 증가한 것이다. Case-2의 경우 열화 기간이 5, 10년이 됨에 따라 변형량의 증가가 2 μm로 Case-1의 66% 수준으로 감소하였으나 열화에 따라 장기간 사용 안정성이 변하는 것을 확인할 수 있다. 이와 달리 UV 차단제를 혼합한 Case-3의 경우 장기간 사용 조건에 상관없이 변형량이 37 μm 수준으로 일정하게 유지되었다.
Fig. 6

Deformation distribution according to UV exposure time and UV-resistance agent application type

KSPE_2022_v39n6_411_f006.jpg
3.3 블레이드 작동 조건
UV광 차단제 적용 방법 및 UV광 열화에 의한 탄성계수 및 항복강도가 변화한다. 따라서 소형 블레이드의 작동에 따른 건전성을 평가하기 위해서는 물성 변화를 모두 고려한 정량적인 지표가 필요하다. 건전성 평가를 위하여 최대 응력이 항복강도에 도달하는 최대 회전속도인 항복 발생 속도(Rotational Velocity at Yield Stress, RVY)를 지표로 조건별 RVYTable 3에 나타냈다.
Table 3

RVY (Maximum rotational velocity at yield stress) according to UV exposing period

Table 3
Exposure
time
RVY [rpm] at
initial
RVY after
5 yr
RVY after
10 yr
Case-1 664 630 601
Case-2 659 645 631
Case-3 583 578 578
Case-1 시편의 경우는 UV를 5, 10년 노광함에 따라 RVY가 초기의 664에서 630, 601 rpm으로 감소하였다. 이는 초기 5년 열화로 RVY가 34, 이후 5년 열화로 63 rpm이 감소한 것이다. 초기 5년 열화에 따른 RVY 감소가 이후 5년 RVY 감소량인 29 rpm보다 큰 것은 PP 소재 특성인 초기 열화층 형성 때문이다. Case-2 시편의 UV광 RVY는 열화 전의 659 rpm에서 초기 5년, 이후 5년 노광에 따라 각각 645, 631 rpm으로 감소하여 열화 기간에 관계없이 5년당 14 rpm으로 일정하게 감소하였다. 이를 통해 Cases-2 시편이 1과 비교하여 UV광 열화에 대한 저항성이 약 2.4배 우수하다고 할 수 있다. 또한 Case-2 시편에서 시간에 따른 RVY의 감소량이 선형적으로 변하였다. 이는 PP 소재 특성인 초기 열화층이 UV광 차단제의 코팅으로 인하여 형성되지 않았음을 의미한다.
Case-3 시편의 경우에는 초기 5년 후 RVY이 583에서 578 rpm으로 5 rpm, 이후 추가적인 5년간 노광 후 동등 수준으로 우수한 UV광 열화 저항성을 보였다. 이를 통해 UV광 열화에 따른 재료물성 변화량은 Case-3이 적음을 알 수 있다. 특히 UV광 차단제 함유량이 Case-2의 경우 2.5 wt%, Case-3의 경우 2 wt% 수준으로 Case-3에서 더 적다는 것을 고려할 때 UV 방지제를 혼합하는 것이 가장 적합하다고 할 수 있다.
UV광 열화로 인한 물성 변화를 고려하여 아르키메데스형 소형 풍력발전기의 장기간 사용에 안정성을 평가하였다. 이를 위하여 UV 노광시간과 UV광 차단제 적용 유형에 따라 인장시험을 수행하여 PP1340 소재의 물성을 평가 및 비교하였다. 또한 이를 바탕으로 구조해석을 수행하여 장기간 사용에 따른 블레이드 작동 조건을 제시하였다. UV광 차단제를 코팅한 Case-2 시편의 경우 RVY가 UV광 차단제를 적용하지 않은 Case-1 시편에 비하여 2.4배 수준의 UV광 열화 저항성을 나타내었다. Case-3의 경우 RVY 감소량이 사용기간 동안 거의 변화가 없으며, UV광 차단제의 적용을 통하여 UV광 열화 영향을 거의 완벽하게 방지할 수 있다.
UV광 차단제의 혼합은 초기 물성이 낮아지는 특성이 있다. 이러한 물성 감소는 구조적 강성설계를 통해서 해결할 수 있을 것으로 사료된다.
본 연구는 2018년도 한국에너지기술평가원의 지원을 받아 수행된 연구 결과(No. 20183030029120)입니다.
  • 1.
    Sung, C.-M., Han, M.-C., (2016), Design and performance evaluation of hinge type pitch control system in small-size wind turbine, International Journal of Precision Engineering and Manufacturing-Green Technology, 3(4), 335-341.
    10.1007/s40684-016-0042-2
  • 2.
    Li, Q., Kim, H. D., Ji, H. S., Kim, K. C., (2013), Flow characteristics around Archimedes wind turbine according to the change of angle of attack, Journal of the Korean Society of Visualization, 11(1), 28-33.
    10.5407/JKSV.2013.11.1.028
  • 3.
    Tabrizi, A. B., Whale, J., Lyons, T., Urmee, T., (2014), Performance and safety of rooftop wind turbines: Use of CFD to gain insight into inflow conditions, Renewable Energy, 67, 242-251.
    10.1016/j.renene.2013.11.033
  • 4.
    Park, J. C., Park, J. H., Kim, J. W., Hwang, J. H., (2013), A study on the application of small wind power system with combined ventilator in super high-rise apartment, Journal of Asian Architecture and Building Engineering, 12(1), 81-86.
    10.3130/jaabe.12.81
  • 5.
    Dalley, S., Oleson, J. P., (2003), Sennacherib, Archimedes, and the water screw: The context of invention in the ancient world, Technology and Culture, 44(1), 1-26.
    10.1353/tech.2003.0011
  • 6.
    Kim, K. C., Ji, H. S., Kim, Y. K., Lu, Q., Baek, J. H., Mieremet, R., (2014), Experimental and numerical study of the aerodynamic characteristics of an archimedes spiral wind turbine blade, Energies, 7(12), 7893-7914.
    10.3390/en7127893
  • 7.
    Lu, Q., Li, Q., Kim, Y.-K., Kim, K.-C., (2012), A study on design and aerodynamic characteristics of a spiral-type wind turbine blade, Journal of the Korean Society of Visualization, 10(1), 27-33.
    10.5407/JKSV.2011.10.1.027
  • 8.
    Safdari, A., Kim, K. C., (2015), Aerodynamic and structural evaluation of horizontal archimedes spiral wind turbine, Journal of Clean Energy Technologies, 3(1), 34-38.
    10.7763/JOCET.2015.V3.164
  • 9.
    Yang, S., Shim, D., Ji, H., Baek, J., Kim, B., Ahn, S., Park, S., (2016), Process design of conical roll-shaping for fabrication of variable curvature spiral blade, Journal of the Korean Society for Precision Engineering, 33(11), 911-918.
    10.7736/KSPE.2016.33.11.911
  • 10.
    Gil, Y.-U., Jo, Y.-K., Ji, H.-S., Yang, H.-K., Baek, J.-H., Je, D.-G., Jeong, H.-S., Park, S.-H., (2020), Structural characteristics evaluation of the injection spiral blade used in small wind turbines under operating conditions, Journal of the Korean Society of Manufacturing Process Engineers, 19(2), 38-46.
    10.14775/ksmpe.2020.19.02.038
  • 11.
    S Schoolenberg, G., Vink, P., (1991), Ultra-violet degradation of polypropylene: 1. Degradation profile and thickness of the embrittled surface layer, Polymer, 32(3), 432-437.
    10.1016/0032-3861(91)90446-P
  • 12.
    Kwon, Y.-I., Kim, S.-J., (2009), Reliability assessment of anticorrosive paints with accelerated degradation test, Journal of Applied Reliability, 9(4), 291-302.
  • 13.
    Schoolenberg, G., (1988), A fracture mechanics approach to the effects of UV-Degradation on polypropylene, Journal of Materials Science, 23(5), 1580-1590.
    10.1007/BF01115695
  • 14.
    Okada, Y., Kawanobe, W., Hayakawa, N., Tsubokura, S., Chujo, R., Fujimatsu, H., Takizawa, T., Hirai, T., (2012), A mechanism for ultraviolet light irradiation-induced whitening of poly (vinyl alcohol) film, Journal of Materials Life Society, 24(1), 27-33.
  • 15.
    Shneshil, M. K., Redayan, M. A., (2010), Photostabilization of PVC films by using some novel tetra Schiff’s bases derived from1, 2, 4, 5-tetra-[5-amino-1, 3, 4-thiadiazole-2-yl] benzene, Diyala Journal for Pure Sciences, 7, 34-77.
  • 16.
    Subramani, R., Izquierdo-Alvarez, A., Bhattacharya, P., Meerts, M., Moldenaers, P., Ramon, H., Van Oosterwyck, H., (2020), The influence of swelling on elastic properties of polyacrylamide hydrogels, Frontiers in Materials, 7, 1-13.
    10.3389/fmats.2020.00212
  • 17.
    Kirchkeszner, C., Petrovics, N., Tábi, T., Magyar, N., Kovács, J., Szabó, B. S., Nyiri, Z., Eke, Z., (2022), Swelling as a promoter of migration of plastic additives in the interaction of fatty food simulants with polylactic acid-and polypropylene-based plastics, Food Control, 132, 108354.
    10.1016/j.foodcont.2021.108354
  • 18.
    Jo, D.-K., Yun, C.-Y., Kim, K.-D., Kang, Y.-H., (2012), A study on the solar radiation analysis for components and classified wavelength in Korea, Journal of the Korean Solar Energy Society, 32(2), 35-41.
    10.7836/kses.2012.32.2.035
  • 19.
    Kim, C.-H., Han, J.-W., Kim, T.-J., Kim, G.-O., (2017), A study of lifetime prediction by applying solar uv program of retro-reflection sheet, Applied Chemistry for Engineering, 28(1), 35-41.
  • 20.
    Koo, H.-J., Cho, H.-W., Ji, B.-C., (2015), A Study on accelerated photo-degradation test for lifetime estimation of ink-jet ink, Journal of Applied Reliability, 15(3), 154-162.
Seoungho Baek
KSPE_2022_v39n6_411_bf001.jpg
He is a Research Engineer in Research Institute of mechanical Technology at Pusan National University. His research interest field is additive manufacturing.
Hoseong Ji
KSPE_2022_v39n6_411_bf002.jpg
He is a Research Professor of Nuclear Decommissioning Core Research Center & MEMS Technology Center at Pusan National University. His research interest is Renewable Energy and Sustainability.
Hoseung Jeong
KSPE_2022_v39n6_411_bf003.jpg
He is a Research Professor in the School of Mechanical Engineering at Pusan National University. His research interest is FEM based structure analysis.
Marinus Mieremet
KSPE_2022_v39n6_411_bf004.jpg
He is a Researcher in ESCO RTS Co., Ltd.. His research interest is small wind turbine.
Myounggon Kim
KSPE_2022_v39n6_411_bf005.jpg
He is a Researcher in ESCO RTS Co., Ltd.. His research interest is small wind turbine.
Sang-Hu Park
KSPE_2022_v39n6_411_bf006.jpg
He is a Professor in the School of Mechanical Engineering at Pusan National University. He earned his M.S. and Ph.D. in mechanical engineering at Korea Advanced Institute of Science and Technology (KAIST) in 1996 and 2006, respectively. His research fields are the engineering for additive manufacturing including design, processing, and post-processing of mechanical parts.

Download Citation

Download a citation file in RIS format that can be imported by all major citation management software, including EndNote, ProCite, RefWorks, and Reference Manager.

Format:

Include:

Mechanical Reliability of Polypropylene Blade of Wind Power Generator under Environmental Operating Condition by Accelerated UV-Light Deterioration Test
J. Korean Soc. Precis. Eng.. 2022;39(6):411-416.   Published online June 1, 2022
Download Citation

Download a citation file in RIS format that can be imported by all major citation management software, including EndNote, ProCite, RefWorks, and Reference Manager.

Format:
Include:
Mechanical Reliability of Polypropylene Blade of Wind Power Generator under Environmental Operating Condition by Accelerated UV-Light Deterioration Test
J. Korean Soc. Precis. Eng.. 2022;39(6):411-416.   Published online June 1, 2022
Close

Figure

  • 0
  • 1
  • 2
  • 3
  • 4
  • 5
Mechanical Reliability of Polypropylene Blade of Wind Power Generator under Environmental Operating Condition by Accelerated UV-Light Deterioration Test
Image Image Image Image Image Image
Fig. 1 Dimensions and geometry of three types of tensile specimen (ASTM D638) (Unit: mm)
Fig. 2 Comparison of engineering stress and engineering strain curves of three types of specimens
Fig. 3 UV exposed specimen according to exposure time and UV resistance type
Fig. 4 Geometries and boundary conditions of spiral blade
Fig. 5 FE analysis results of spiral blade; (a) Stress distribution of blade and maximum von Mises stress in dot-lined box (Outlet shaft), and (b) Deformation distribution at 100 rpm
Fig. 6 Deformation distribution according to UV exposure time and UV-resistance agent application type
Mechanical Reliability of Polypropylene Blade of Wind Power Generator under Environmental Operating Condition by Accelerated UV-Light Deterioration Test

Tensile test results according to a period of UV exposure

Exposure
time
[Year, Yr.]
Initial After 5 Yr. After 10 Yr.
Mean
[MPa]
Std
[%]
Mean Std Mean Std
Case-1 σY 125 3.44 113 2.8 105 3.6
E 11.6 10.3 10.2 12.7 9.5 11.6
Case-2 σY 123 4.0 119 1.8 114 2.9
E 11.2 13.4 10.5 11.4 10.0 12.0
Case-3 σY 98 3.1 94 4.6 93.7 3.6
E 8.9 12.6 9.0 11.7 9.2 12.4

Variation of weight after UV exposure

Exposure
time
[Year, Yr.]
Initial After 5 Yr. After 10 Yr.
Mean
[g]
Std
[%]
Mean Std Mean Std
Case-1 11.53 4.3 11.52 4.3 11.43 8.8
Case-2 11.87 4.0 11.73 8.4 11.73 4.2
Case-3 11.53 8.7 11.53 4.3 11.53 0

RVY (Maximum rotational velocity at yield stress) according to UV exposing period

Exposure
time
RVY [rpm] at
initial
RVY after
5 yr
RVY after
10 yr
Case-1 664 630 601
Case-2 659 645 631
Case-3 583 578 578
Table 1 Tensile test results according to a period of UV exposure
Table 2 Variation of weight after UV exposure
Table 3 RVY (Maximum rotational velocity at yield stress) according to UV exposing period