Skip to main navigation Skip to main content
  • E-Submission

JKSPE : Journal of the Korean Society for Precision Engineering

OPEN ACCESS
ABOUT
BROWSE ARTICLES
EDITORIAL POLICIES
FOR CONTRIBUTORS
REGULAR

엔진 마운트 최적 댐핑 제어와 MR 마운트에의 적용

Optimal Damping Control of Engine Mount and It’s Application to MR Mount

Journal of the Korean Society for Precision Engineering 2022;39(8):565-573.
Published online: August 1, 2022

1 가천대학교 기계공학과

1 Department of Mechanical Engineering, Gachon University JFIFddDuckydqhttp://ns.adobe.com/xap/1.0/ Adobed     ! 1AQa"q 2#w8B36v7XRr$9bCt%u&Ws'(xy4T5fH  !1AQaq"2B Rbr#u67Ѳ3sTt5v8Sc$4ĂCÔ%UӅFV ?_Aנj- H>>,m*>fzp"TrKkr^r.|_&]|*vPuܶvoQ1mwVJUhu-I"=LniAƕ8"۲ k*ҿ[yu:.vUQ+)%F DHyVBk>Hy8jݹ q~9D4KRmzQ)^ʔ.J%k_tVi5NTjg!'ky|5asOȻ)R۸ߩFMԿ3L4j6dڜ#NIwUF]JqB/(FafJRzq3\G՛ ?~\ 6)6W4m[O^L0E&rRMض*C .]Unl-1 1r#Rj/&QɈ׉˩s6Rj=5Tg.y.·Pӡ:JJS:C8-2u]d&vUz;7p9 5VnL֢"y)">iי(IDDd| Yj0; LRfS:ktYK%*N2^m|&dğth":ey)uPQZW)gcC3Pv&MMWd&Ŵ۲mvTRoժM03*F3Yd6\8,\hݻ kߔi<k NTwSԪmljj[>->ptU%'LR>&EBH$MQAUx[$Z6vi&_a.KIQ{hyƒ j"JOC9eFҝfj;˚Ω<[3_m% lQ@4g=5$(J]Yc-OMq<Ǎ wSzڗ)k$7VIP붾ͯnV+卵*t]iЎD31~SA1éC2u)ʼnQn-Uoi3:grI8ؓWm*G zܕ)ZקJ}Y YlGeJ6cB2I NS3Q>k=KTBT]W6+SOXQgGR? telˊ%-Re\hѯ2TF"C/OJΩ6r[N.0{SpljjX1“jOsӥ;ҭhe}xu`Ք&.)yO̒ Fߑ.$Qw;9Iw2o+RVJMSOj[SoҌZ%;`d$blQ{Ro{Imڌ>3egf\O֝Uzx"䢸g+mv%Gʆ:|V[N'&ס-ޝ'kfE|K,G&˳98Juin/\\Qݿ̋v~Ǩ!rtWU d|E߫R4d}.qPw*Ӭv5YEcn~f5c%MTMkb-F>5JT,})QHg%{("ӔȸWMsYyWNRrkkJr0XドnͫT}r-jj,Ŕʍ\Q2Ri>v$5!]"JB2WɅ)]VԜUc8i|.jeRO6^V.¸ Q&#|ܶ-*uOG%JAtRZRr]FFG\۩w+?'zչSѧt jz>KW&ot{7P&2D;&\\>Q2JzܗAKSfeNn[jRrԕf6,q,F1tRfԗ>vֶևj-&R'Zi2=xv~Elbsvm8=ӛ"ū񕜈BȩlWau[]ٷBߨF~J!|Ipr3R̴#Yp)={7:G{+:\W}n|Q#%)7^-h"Ƒq:M*%J&$T軨I333׎g_- ucBwwjp[6i25$̏bU’ٱRv?G\~#Iͪb7<<}Ezt" q_Inw,7-d,G÷%T* Wg1"䥱kq/A.,_KhqŒxwvo u2ۥۧ.bQ}XκA$֣ +K״ZUNmڸII{.v{5z5ѮRme[moyƾd~cRݾK'j.\i&/S6f|b=5: p!6i_ 4j6=.si˧eƾtS^c.Y^RJVS-Vi3,esi08?H$GvZgg?gi䤟2adw릿:"۪lkSN>q-4kI܋ێe̊qۅgDoѨ9; #T.Q;7#~_Ufstb_'w~Xw1Xk,vcOt._}v}8"(4Z\ۘgk?J?bm_c!g{HZV]Fkk%~gEt)b秴vΰB|꽸}mp~E6ݹv;7P٤v+ri*3Ԣ|'O14_~7nP{7ZU\Vű[ +7󖱅o#:ǥŬ\|3r%TJX]V7ez¨Y]lc|O3V! R zbJ'PnGqVJ"19WVeOF埜EaEJωqCN5Z g-9[S<$sUK5b|7sn\7x qmv##FF\ w[=-43$^ooVSiXօv7iB۴yg>]Vf"r$J3""32!Zh[K%7GvNLs+4nB/B{vlsobJaҺJR:0g%&zR\ S3T[&ִor*ⷳc3ʊO[iozW٨%$gn:ܶWwFBԹjHP&z u&F2\f;ipW73 [; '_̽b;vib!oec dC-tS__$Xs]l9&z$2/N>%'[}b{h/{`{Ji׉׏ YJB/X%}.|+{(S:qz]4_Kѵo`^tY_4S#* ^zvݾMr+TrkQ g.8Ͽ^i>ӈǙvix>$o( ^qt*&t1oJVu-ql5U6jCЉmĻ*"?JT=K'O/|=Vo}l0b}}f?X[?/\JSBe,kP8ETJ==?.p5ފgbU9}ǶdNKk—_$8̸͓ۍ8Di\BԿ-1v{FF]|.^ۅ{vl12׏z7-R7wE?\nh\jN/Kձr_oBw"N QMBZqe-m:ӨSn6j4%!hQ;sv'm4kcM=!8\m[M4{SMliۇ%eֽR&N:{2A8)THLK3Zj[jPBx#BگMf:G1\`edcʮ?|w(-̮vXt,bW2;.ιNHRR#YwTM"<;mk\.foIDjmlJ;vxy7o7i\,KQŊ9d^Mmgc L*.T6tLeIuOH3SJQ3=F/ʿ<9\JM6mN6=<{xkP!F1QR[I$6ُimXu2An2yԒMU q f[IB-'䤯jYm52&JG\zд\~vdg QtHGXw&1Lw+nDEdC1w|YJmvP)HZ>i0BPβә?R:QO["]I_Jʏۍ>QKyu^bycBq4lXF~l [\*N>-J6,Gq(Zr5h]CwYӤU~ʶߑ u*SIv%ZfJ7)! FS*s_\|IŸZ)J ]ܜi4"z[+Z,MOZ))}|Ʀ(RUNIII.S'ˍO~˨rn}M)xxӕ0 eyҵ7YMAB]ӣU:/ѭ*6bcwP͵ "+qēVjŹO|GtY4V j[mLV M -m>",B$ GD1~j6O4|LxnNmqATNR3ε|DŽa[fmn-ڭ+FiK7Pcm;r5 l8r{#-]'nrFh2ruycb;pW=njRqRJ(d mnpckNnʹ+6]tz~E=ʕ l ZZ5jSi3#47.Lcfe`9؏v囜.F\-UZ:*0_<Νu9Lӵm&)_3\^ҹ3"1n1v_|uRʞͫr'iȧN_kH׺8xXrj=\МH)V\ˬ.Xʸ oVRC}ySU9/OBY먌5 ٿwޞ)rw8Ӫi5*5ZΗcGƱ !ZۄlmpjJ -l <R̵/JAպZuq\IdUS 48wXJJtcg4cI~aqߓwŷrm-v)G7yS^7H^-\mŌAq|"m9IBnF㏉9[N+mmy/!KKۉ%n +BdddfFF6FQRN-U5;Sv'm4kcM=Mn)\qιqUd9F%",6MGdT%-+~ f%+y֛^3SrF>6lc(֪vۊN;g._0Sѧ]ETWرkQKzGe9ʨsKA"yC y2\[5 rԭ7Gk5Mzw_4sM3hxЊ'oÍ5jsub )ͪ~tR2H]R͍>̋m6=%(˿(Wrr-܅y5(ܔJ޺YunW̹븹NsqK ]/QR#"ZMDfD|43Qw|._ԡSqTZBg??O Ϥ)/E_U|i}2 9Z?¹0:x'3,whǣ?C y-A~=daJј&M?D1_PS+Oi&;a @;Dž7[ zZC"bv:jjMQk$M RԸ3uA\=wI.AwC"^.{?-\NSiˏ"b}T/}q/ o.1M}R%:-ZniʒL$SgrBW*,Mw'N\ɇ{s\j]VryG'8f`}'N<*/`U숻z CwHq18J+vԕKss4R53/&XTt1bZƟo\=%nO)h$rBi-nKĪ^ ջڜlwkYm[̑+/QrZo%TQ;TLs($2C:s.%+eoNttq۰kK7O0m_t_pZ1SsSM7"mevFZ[w -FJ*T*jФQRg BSu|]g:ɵzjqwmltL.e3sRMچkSmjkmWœިm++¦'tILk*բQ D,PB\lI[9{%Gb R6öۍmX-MaʉA931cs..G4CujQտ[9 }G-xwl)IQz j Ó"rqe&=]꾧֎c)<kӳ+0JrRR3'TnXi^xMF Bު*tIL.[h"2"nKzZe'ZV/RrNYz]8죝n]Ķܩ>^Ժ]u-7^\mZjܣ9+Rmn ߑv?oꋘ?&ƪy^N4o=3-ؔ̿*`}V݁ ƒPu8%$ ݗ]wt;\y\>='OjPIp/nJU8{϶FNMsf"ίNqƹ(+ ݮF2Km |jܴZs%zf*eȫ?]4)I۵nR&FX + [jDh(#哑9q9Eծj8noǕZf\J-l&Z˫}`ӎhyrΉn\űn]9pʌӣ"׮Wt?N4_I_~54#/my1Xr*척aS#DT >q ssΛW;3oUaJSRMDgQnt:Ql,/ ܷfRqiM Ȼ>Cob;A>ڦWقM9X~/!'MW.}Vrߔꔵ!5|iB(0-zF=}okڢE$^wW~nokY߮\6՜̌{i-AF*9)\t9IV6۸5ZUF6R$ŨQIq砳YUZ]eyv >hI櫥N )&l JulwE1GDOuFN2| }馥uC1rޫV+^gdb&W[4<^e4YW,d|htͮsUM)۸8:{3d{AѢ)~ \#J=NdƮꮓ90 |1K$v*?мS ]i$J,C,SG?/_՜pMSƯM|mG1V1$~K>CSvkuj=&) -,yLjuFHK{c駗.SOua;BrSqj-ۍZ#'Jys7[g2z/.u4+XV2VQ.ޕ)$"(%)#Z7suZ%j }BǬݕe)Jvz8zJf:hIN|svO1O#IEcۍjݽ:SdὮvu^@:o^5cs>i/VqmVm]ؔܢn6'vޑ̗J4Wn@OlKbX ;n:hgJ9ŻyǑz8f܌q&Y fN0N;[69 rbׅC2/#kE l&2~èMR.*%g=Ft.%؝e8<.e=Uv{~㻏"EˑnvDѭ͜Lu3u0:U֝$[M5<:oi+V4V9 6nXvx&_ q Qqw3W:uϔ2yb/(ɳ|5zQiJ#r|Hw#.W?4aDŲ\ugWG;Cw鐢K|xg)##=O.dF˟jMUvWĻsr.z]kPc9"]R)mkfOd*uYf١RsB Aîh=k]ʳUrrZsq`d#r$/Ը3o^&lRWȍyuW̦Y4QDUMJ65ƒ[+ygk XK_±k#y:8(TJOSQhJt2.DR}"5[) r)6V6u5k:eXZmv𭤔!푊Q[qQ}ҹLE- 8qIZG|UM4j}Mܕ[Vwm{} Naqµ"ԈM zOpKѰ?IAD3Ir0'/q1itoB5{%wkOBn-ۜduqIzYK60{+DʕܞqIt";r1mG/\/ym[6JƫR \L=S=OT@Ix[TMm{>ݾտ֒ݸӉLYIx>+"JVNzx||5rI?C{oz8۹e\R-^\A2F R+N9 vlT]"ۭ d)t֞i #E2jB@׵=#/N+!ĕhx}I!cM`ąZ*ŻɄҒ߮Y.Z}='/oۙ3IpW̮hT7cTSuz9>B}΄&h!>lӵn~j˅IvU.'v'CSZw8QK3G> ,J59ٷ+HSg䧎hJdzvwv-cvxS5[̊n~ؿ%ַX?O0\6ne 6kn9.ϯ} *h 8_QhLݣ7q +=XBҲ5?[[)+F`=4 }B,sNg==u*Nj9k_GJ)+R~GSPBȒZ:(K]heL=vKPӢwq(NrG^ثϣ?#tC?.ͼ[ۅo؞y#%ǛjVyLSw%T*s92JTM%"YkQО.q)gCͲn8cgi6j1MѾ[{9h^vƘǚםidfi.^RHmg&rׇz:}݃}xT$ضk'5s-狶,\vpbPD،=Okf.c#cdz2FK5T!&)|ntD<+OŹU i-G[EE*FDfeaf2QƤM\UG_{ǹm%\yrGy:.\4wjPGUJޕUV7Do\7Vy_13w;[?c]H\$IJ,*L]3b%L{y.JRKG2sq,B6T}(#nW|km+q5] r㪍bJ@y{byz,b踊3ϻJ,'^xd،)JVw#.Vټc''ÝպWtbRؒJz۠8!o9IۄS95E9ؔ-e9JR{dmnッ<[~n${~Њ$W?&ՐY_? #a.ߑv?oꋘ?&ơ|y^N4o=3t=~7!/M3>n8W홎2M`Qx+ z qy8%]7_~540ۦ彷]Wq CѡwkďyF5Dum_}~P(5.(X,K9vᯐ?leB9;Jhm#3{CxGE-S{;@Fz˙]=O'!ɿ]' r`:7'2bЖ>Iy,/eTy/V<.H?UYY{\^#ѣr9^7?xoRȆ7EoS_&??zϾM?(~Q-K&>"~aߨ t7Emsϛ+?;fCr)fY+>z$tIkjn_>vnrֳki-˹l= t;'EyC¥|/BLwBJdgjۛ$s S1|ɍV%JI6KvəhzIlBYɒ|0"Sy0F>eo5W)O+X˻u';v)2vVq۳kۮws?UʑBǴYO漪e2MIjPAک\b1)DDؚKm6ZWΨgȕ۶yjڳ 2ضN[C[|r@9Jfo<_eI7q.|cÊV߷:i.:$ȋ)1%%)ADZCEBxJ0MJۥy(bNsKM9k43IwNt.\%N簤I'.j|ƃ2$grBEٌ\}9:v*!n7M(ɽ]7c@XxƱԨ37īf62cTTfFK]9wntQHͮvٱI/f|j=7}\_V5U^+:uljSȃY(XI.ȱmo1甅jڎIZ2>#\*:gY|4k\8ZwSqtyA!+];бޞKծË¥e)#5ap.QK^8VdU{*ѽL\=qmjnB5>{ Ӟ`v±5 ^k&O~Oshɷ,;6nOW>u6{RqS`)S%jp\ipdEBLfTWy$GIYw~䲭J.1vSY5z.V>^+Ǎvc.I[R{QsNR3ӎfhd>y?UJ*}~[e\i5U^͛E]G_FS(Iɿ]i8:4zj~շsW,ˆsy:%O}iur]iF5~3M:Ӟ#N06)4ߧgdawIotiz:1r5YDZLHBSi;NQc44la=Y kQIT*ըl:tq2(է9VO4뒳܂~2rq'nrVZŦ[t7\oլfb/mlpc.I8콚q^1iE~䰳mi[dۧw֤ICfdFeCsg:i| 6擣׋* 96lust^{%99UNRvaMܽo ammi$em4D6DD\nA%$$#}۷/ݕr99JMն[oT޲E"KTaP+HGkŴj5TM5xƱOS-k`ۛkٝWz;{kS}F;~q|~^_|euwnE'pSupUP)V]vE+t =ZRaVdG6= *.ϼnj9:UɷbېmF_tޫgHjVS'śǕًdkkѻ_]Kv?nT>)^e=Ar1'3ԔILyD?:-^in):{7.؂\.:V }#뺾.3r̸*xbFM aȵz 6SQ:ײj[ 8nn iFMw rR"5M5I旘35f^j='j:nNW.ʭocZvZKV^ɚJ.cM1ZI7E'6rg탸5oZ=[m Z`\hbMUR١Ȗĉ):Jin!_7Dй+f̷eKҷvͨBPR(V`y6tw*MRΝcB.ڭTnc;P$8nFvm4(D(R#R-L -2:FP lxZKQc6I("Km%$E, 78uXIFA$RQI$JbInG]c[ֹ:ZM+n^')JmJMJRu{e)7jQDw~%yQl}BZujSSf۩QZ+Dzhd5o%BIc'GZ?}΍:>Ɵivז-%݌J5MqGWTVʦh݇ܟ~Օ_6 n'{3~mϬj'J11OȻn߃r Qr\3y٘+WӍ'WxEs^O3 o~[|7>]]H9݇ZomT@]?5B:Z߂'`V_+/MSKX߆ޠk3?o7y:4R/7þ] iG߬aBRU&?r&/} cQߥGj2?C5Yśe7hU=?+ x龳f-܈czW^7p%-(\D4h{UK&ӡn^m]Fݢ:`δvj俜F+) y[{{ 7 tu>gvrěOj'5 iRg[ͶFjGe n~qT$ci ۚ0oԹc*jL[sVWqj\ݻ&6"WoK:cnWmrv)o>66(F>=W^bf#c zzʞtپy%mՉPël e}J.\Zk4ttt>oEM=q)hJjI=ͥ(%]脼_88ф;͛gWG;Cw~˘$4=uWdĜTثNDkiQL9U*O"4XP`02,Ge-k5$h>ܼ]3vr6!9RQPIVSnM(ۓ{>;/Qͱv{3&-[rc)ܚI$n{Sv3[j00)-D3z}MRzVQпj,T[uVs0\}Sid;r(ݝJ>æʺL&c[jPK0~d(FKÝW\m]GTcF|Iׁ)I3~#oX%vҦEݑؼ5Żv2qAZTE^..M{ʐfȏ2##.R}*KʛZz^ӞN*lPťLf\G6[WVQquV]XAi)5J!,$iJ6o$tPZc;Kjx_n3`qIelV~vLy{fn匋Ѿn%;zV.n'-ұdd2߽1bZksPe3TI9)$ԩIN9Vơ\=2885N\ p)/a柛w9g_lױo8ݷ iixJV& ғRi{N^_oAŮE6Y7I$Nk$|Q)-*4Z)^¸%4Qm [I%.c-OV+C֧R#%ѨCe3i;w$G+_dy| Fzj$DI(=OA gj%v/]8qԯNIS*֩',Q%\44ZZ%D|Ǧʴ6&vֵI$%8(ԬƾS&#Z. }6z?b/|Jl{ץv&mpx4Z$”ڝ4-H%dGKfM:sKSRWeJAn]>s6应-W9'H]'uȫYvgK^\czp|My\鏩w/ËQ.)]\QiS`8uL뚛̸=J"ܻi\å'-)54Ue]:K\퓡vK xwBqrH\*֕TnzC.mT=t-H]SČ~Nu╏NÅ3f|͡G~B+Xm[Q7U{9"~jgK Zoʰ7"qJ,ekSeNGgϳ] ^.6:s}_,%eRg<5⿨z{ZPun#jRІ.6g T.!]xa c#jN$Zpl̋H WZu8WmMRýsĮ?Mco~sx TU҆Q :KDG4n42.<3/'^?6/ܠڒ^yrrÿr2\D}}B]^E~^T cɛ7϶Y[<֞[7d}2%QPqOLEQR\CIsj1?\}%tJ0e~ *sk"*)&ۓEi#{1J8Hrt|'ܝRr8)=ƔN'RVz:cf]F7bZyZUȘ4x8,#JG̒?.W9XnO]KO]%]ƻ O5Γ/3qÓj؍/r̺rƵ 5\&m6h.xoeX[=<3%< lZ"2h\Z[&jW3ejm?k&[]ųj+{N{66leu_+lj]q* 7g*knأYv= q ەdxЬZ|%GUrQ3jLŒqET]1% qkXYūYc[7Ś]QY\jko\</Lc7+'hMSUc6qXyؙ~6#ѯv.0$BQi5YyIhɍiy=KD!n3Vm[V%W-B%swa97ajۗ m+9~]fKq|Ddaˑ0A]_v޺mM5* F-BYHJ5}q>ʉ.6hyDmpD׬'-_v5;5[8K[viJ.3dR:oYHHh9I7:۽fi+wm^ [)odPѱ52CZUJicSw\&_s0uBȍh32džzQflcd^m|7GѹE!fO5]]H9݇ZomT@]?5B:Z߂'`V_+/MSKX߆ޠk3?o7y:4R/7þ] iG߬aBRU&?r&/} cQߥGj2?C5Yśe7hU=?+ x龳f-܈czW^7p%5|Y:SJE\U-(a_cƣUǽXXKiȞNlmۊڭڄR!**ܤMeȽ$|X5(Ź\rJ~ܮ]>'HB0cp XFr_c?f?7<ukSgov¥iG>>䙗i.+t+bOjIܶ . i^:nm}s}(3>NZ$2Qg([".>i.ƾ)B̋M8+"- >eE6DݥJnJˣt׻ 5.˅nJGwZD~!i۶a,Db3ZQ3O#KO5/֍ozuK'GbRi᝘NV_ҝcvם ZoX}F6z 7e5_e:ۓj=AB+iܔERadMBq*ԯ DwI/Gy*mĥiRKg6skY/#SN4e$-yXM YL?^ĸNNӪ{$r1JJRSLO]Aqm>V/s[~i/j+m>z}eI"Qvp]{ZԼ:{vPAG2=T͡@ڐ#u"E*>C;o$~C#_d/HBq^YRٽzIKbOm\~żjFFGdiQ(*/i*#.FF]©m=BmpQQQSP&Ҫ!T&^>:y)$ˑÐFčI Bӡ-t!bM WҦŶ'UZ=}zvn~oT/\ǒ'nr8 AJIӆz<^uߖ4eFC1i+v!3qNyߕni?4JZlmYFXFۼO0B\m[ tʄU3s"Sr(NJ;SKW72L4̏BVdf^Ҹj\]ȱ۪(ӷm?J-KEmWڽ^4<8qu%9pŹW~877ܾeVгS(յe^C]yX͹! םm4FGȋ\y'Z FX7e)|Gjt߹#gb\ŧq_([R8[qU$Z (ʻezV2V!iQ,i$JE˂٩ a(GK'O{vnBvryRd-RK4=qxZJMl_CuuIz @Rt㮽޳!|68\-l[џ84-2Pu" RJ_^OL>G1~XnBŬw6J0*Uvlږ1N G1q9IUm*'oWu][&UyYZbBZRZNfEJf"+2nF~Eû7n1xv.RUM$6 lAxSQJ&n5ܞwlEói"#>4׿Q.nEq7Oko[1wg8ZQwZYiqtm&~">Bo?w͡ni2峋NCEy Ҕ+%ZJ ʩq*fpˤl,~^Mχk1+:ݕ z&Y`KLӪУDr3[*Z :(SL&ݻ۬Vqsyԭs x|iI߽zZrg.:mp%6ԜvgmpIUt;QbS.Է) ǨKSV,*lڌ|5Jt3#NP.=+OZ~/G سIgbꥹJnl_DUM\iM!֔wVZuԺ,yV.Q>f v:݇WiaŸN5Ҕ[M7SsrvǣrMW= \8ZW-jsnڕ.ZnF2qt ً[ٻޘY۷Zm"Jxr&NAfA-݌to9s359݆mZ+N1-qS$D=17 x׵+%_ ve4ir6Z$FDڗnFtOr'7'{9C˨ꤡaYoace{Refnft RR"4%ʌm:Sj3)OdInTO>X'vxV#jܮw9Fog;5.~Y5\~18YQܹvj4+~t7S ﬕs %^۵ڴDZV69R^Y+rj$ԇoJKR5wB9C>Y:l+EǎS{ʲ{T6Wi* ^^9k/y/Cs\g*qڵgn4T8mERr|Ti+iPe;;.i\EBEJ 丬i9ɧM-ԼsGDrZ>r#R>~X9y4b棇9JwV۔%m(b[Tjvl}۩~nDԺ{Zo-YuK1vx.nWuO+jN [ٮ0%"΢CdTJK-RަH"$I(*ve &҉FzB,_Vpqp9m8werv')E;o&QE׵^d9˦j\_,ڵugZȻ̧8k+jK{wmr@3ӭ2 wFkzFVqs1؛.v'I%$[iT]D5Dl2 nk7qUxԫLS+sا3/ΖeZYK<["%-g/kRs:f3;*E ت wJ%)5&+&rw*霣i|sMҴ|;R+fm䡩.!**dӶ-6s6,]zAXMWjmnz%SJߴm2UXw7MQ%<!tKys#P,W>s;3IYwx<+i_\\\U6 u7P|xbn_k&ӓVOe䦒 VUr,-㘘"-LZeOSҠթrEvq8Kf%5%&K"#%vD/.ZYYŏ+p$nZkvއuW9㓱Z G wYIFyf)?ƎUm5ԉ/'k84{KO:rQI}XRuԪ|*lu)3qZ[mSm5R3".Xcَ5c®ࢫI*۳~wRϿQWޝ(EJrri&ۥ^ʶ齲Im|[yb;mnm֩uiܘq>E+Ikx߄3r33-5𹻖09ϖ9[Tz~mr5NsWl$oPusޛ^{Z;);sڹf\3oٹZmԉ/'k84{NO:rQIBø8Bݱ3n֤DiK4u& ofSȒܩx<˘|N0Fչ]qsp"}! QWw@t4ӭ+cO5%]'*{eM߲DRO1y*q8w++e!c߶ܪlZWّM欼 CQ̼빶lX{vib/V/ ai;x6~]+z]MWB>re-:lgk}պ!#9?%܋V-c[z!W?c7YNm/jRr[HOzԻefճ0q15Zp#rkQQ0tU-AmڵP/cȕ?0cZYj;:0ZM=D6g ?'UN+ձ[K ܖB2'xq9{|۫N0ku 7xaj;n\ 2[VznMlWiKbSk))f..)Km)&bGZ=>OR܍W:j'rM'wYz&/鶧{Sʵb"vջq[I-ՌZH._x*BagC'T(Q:$ͳQcMCKy?3g'ߝqnT);qs #ؤZ}OOI:cfnc8W~qy.;^pVl]Hԓ>^H^@7-AA܃nmL(uWܻS߿ Td95Bdh4t6*dDh!EhI[iŨ\L.&Nc ܮf^;$R)\rip9I|ٺ?#R.ZDZ;/]nݻqs\QE9M&Bd ]N mN*D>tgbK>+ˏ.!23]BȔR1ɝ^j'k2ƮqBQq[$di]icV/e`޵B.FIIJqbi>Ӥ|p; 6${)RU>_e}^dzdfzi %ekRVUS?6'hׂ)5.\+qUgzE2C˷ecŏ^֔ibk shesFWJ#~> Wk~ݨ}ڶ>ơǚ)׽ZƉo~B-ڼrvoE:Ʃ3ۣK7+Y`WirS):{>ڛ}:wԨ(J_";6R%[u&ƫdZ_\'np| RJwNeTW,=rrbnkڄ[M3ܴz)3- R.?:okۼ0TU'w{6&w7j1z3ON'fGoO?)S_bQ_¿R(^ԴԴG.EtMڇ&RUiW uQjU> Kiu1d<ѥIQ'RQ1:O/lŗᏩiʂv&Jc{D5 Tt)1.n[n۶X}RjqnOʽ(~[Ns{ސ⛌uO,kgo֢dRNQȄ .'6W!׌P朼tdZjFGE"]K@'i۪N;sI[{SOzk>`rRR+!σj8&TjlvA̷Q?HyjyLHNտJMjܶT۽lG?SnKN%<‘ nq[N0Sq[Ta(&t(|HGO~gvkݻTR4&Z$#ViOY1r$6YF?e4U/Mvxų:zbU^gQQ+NW_'4jfz^c'#`rvrڡ(IJ/J ݦ6 ]-CW |_{v*_q3^DZ}Ic6Uڌ8p7{crZq5ki`)mU6|-Z5^iEz3P=:Cu7DF'k%}<C-޹ֲ̱#\,(f88%X-N(ck0VLR~} G"-8ӏ/ϰKq?(#nrVTmZ;zióM4 m |UT'C^_1X.gXM{%ʤd 4\ovN":"y-,T)fLQgۢr=/CƹǨJVr[a+!rT|%Y\ٱzsS>jͱ.oOc6f$q% ǒGo;n[];ߎjrk{~\VۓNIGn:iqxo |~t5)Rxעri{Vi&NUOl_ѮMfsޕkЄay.0P{7N((BaIP$ K"U6Gl ݙqJRu+qN$ m#*p<|{:>-Ev=86N*MM긭U*uѾ?/^o7;'u,h4݌xښRM:5.(/ \իU.{F^rmF-Jɷ.>Q"[4xT^OZ~mK}T0ݛ^SAo9u?lX(' qj%=X}"^e4wˠ|rܫ 6I\Ķ;Ӻw!'ڍWg{ i U_9Avhۣƾ+:vs/MK[ɭīe{`Zgb}r[i'GE2J7Nez579wRq+Un ]J.cJ4M:h箽Wxxm^ pc\wcN%'My $$| :$Fqɏ¾^қP9J6Wxvu}ݵP>Z'FFdg"-; [¢cmWkÎT8nG%ݣ7*\խCLRYZͤiD&J#'ehbSyXK|y*ӞpS̍R`[pTr/Eg)K+92{_ n3zwz'oŸۤ+sOj J:`T>Cf*lwd\fYOP"R E֢̔L4ɥ :;.b(B02rJ蠟9>V'9M%)IqnhP<%,r'P/vNSwr#w"ݨaqc(|{kd=^0jTMR2ULNz|.<|^PfY22##!,K~E BEJۜ&jRNsHަޛg\r,v؜.jK3)[EJ2ii{KEiHP^&]Gn8x=K}Wx/KI9-ϵwQ%spܾ[^R}S3$qvq8M[ ozKxcqmJ/ӿ{_}7&ݨ\f6ZSyQz& 7ۉ[8~UNn|nkiTB+4RI8'Nc%tn{!]Ȋo.nEmʱn𵵥J A+wy#+ikǒڂ;՛s85'KmE:Ђu""Iģ5p=БbTY-ͽڔ詻ngL2Q}$de# fs^o{DUUsfwӶ;s1T,ǤtޒQ\෼J=.tKU,7čJ5 N$y3kdSMQU~mO[03 $zAڟsF5^뜞"Կ QHmrR"ӳηer+ҔZ]hE-6Jmt'ޒ=O[sQj)6K}?e4v_KfZheޓ=BV[bY}lݒTTЬ{ȫvO_qpRApVŗ 6ju=*BR)g "O1yhb=tqJ gtm\b3RY+JQ^Ō֍\յ\>+uSi{=x ^w;uӘ#ĸzLn*$anok߷CBӷ}5Yqvdž<( "_OWit5:EZj2 B ρ1̊fi[n!HQF82q1牙nqnEpT(2RMoM4ϳOu ':֧_Xjsg jP^(ڙ{2%E͖j^}ZU[Q$'U) <܂%!s"m R'G5M0<+zM6qYm$ڕ$3ǧH]?o2N<8F1̻r_my[Rf59NjpzBnl7*{.QP 3N&^BLJPjAHCK2Q}$#~YMq8 k(MFMU)8MEqTy+Tʞ-ar5yܕOXw!e;q-Jqܶ䓊Y:LC UE{/t>r"lI9)3KJjϤA 6SEE$d߇3KG*En|P\ԭTn6I-ƍKTj<1H_zwGr19wF N8ݝ+a9ɫM6mhePi%mmD! """"""*1bRKrD"vnrM۫mmĽm]ӡiG~e"˩ lhRTMk^MX["Jݱk7_ޕ*DqĒ&flՒ}`W}~SմZ{ĕ~wm*/{{ѹ_-0ط#P]xlڱ~Tn5wi*lڪ (JxioϏbqKYR|!|KN53 OS222$jzww%i}>N)E+rۥ7c$Ofl/LNث\6H9: FY󡈾I)fB֔JI_ ֣^: 9mY{66㒢7Uj]:.-os[R&gMF3˸#໹kmjq^8W"PΦURjʄWa˧T!͋ lW48JB2ko+ /Nw QwQzQ ے%$ޓ7^YL|r7!v%Trܥ &|M8~ybrn[RV gSn{{*#2#ԽᢏӴHak" ӌcwҜw&RJ07ױ>Ļ =^ BɆ)v32.M1=#6%̠tҤnzqMwԣ~s*%-j|_m*.Yx9Sz=)qE4 3pk+,`=kNRڥ=B=nŔNAx)Q$ԩȧ4z3t#Z2lҮYn$S%y- JzGpu|LBV7ZW#;Wwipܷ%(6jFG5#{$D"uۭ~]֫SrD܃fҎӾ+Tu>-ZTQ& N|$沸ii>eRWݳu'[O̻j8JۻEѩ[]vni= ڒ,[_%kC7I3Nv$4ɎЈeٸoUu:[}Do5|zNq=Tre%ɧ6&~DȍF]ƞG5q m]/w/ \ʲr8=oʔe9U(W"|S]uZd#?Se[W"ֿh][-7Nu:T=)R}.;ml*5Dlf $fF(̏T hiIUU4Szɕ t(%_|2 ~6eM;TƗK[f&]LK^CE2[ȏBOd;Mi|cx,^6;sیGpQ\NuJIFTJ~đArh* B"$H쉩eXPRj?sl"ԥ)su]xpԴY%VESH"ЋJǰ K&5^Ukzׄ8kEgS2h&Se\ Yl]WҶp-ZUvi7QS:4byqOo+[̺腋[6-_Fo.6[7$p&^ _GZԸߍkc.qqoI[9m߸YxOZЦ1uoiSH)P9Uʄjcq= S>֙NeR><;+ڌk%_qT].srNO?s[=vH[]RZHRMtᩗVؾ:/~u)ԍdg%=edVrISb{6vSu=(ܥ)mTv/J}̇8 S3ad:^hBSf؉OɔLhI_1d8,L><_A0y3rXq"'(۱;mFNII.v5_(^q~X>y{3צ I*Vܛv/jW' T'NR'j%ꔩ:mJ3SB}΋!-H-RJBТQoedi9tjENenPpke.%4]#{:>mkEɱdYWl\\\'nRM4&U>?Ќˉk÷!𴪛]]5}UqG~ݏI"O~s6(Ļ)qO~h}uԕd}Q~G,oE!&G&/]_H-O=o{k\̭bkv.Ô܈+;arZx)m?M\3lU$mk-CFXjTv6u' g:Vn_*qk:VC A%'4JV%EY)#BғO4<e׿jQQ]yUr4=wm[K1r׵%Iũ-O}|kC;/VcݩWZ)EHdžTru]8hgĵ-;=>U_ InvTm_jBM+QiF"9*{DI/iuo(=TzϖmPQl_v4z>T*ȴ>YF;ε\t]EH4ꌇ[VrLzef 2T^V>g2~kg5~Nק;{~Z~W}&ŒBӿS2$J?~(Yœ"˲ߩ\O]: J׉ښT{mmIѩn3˧)4LdFZ/zUG>U> n 5& ϴ-KJi2o]uKljvK3$bԔҚV旧iY5.ίfi96v7!v))FJM4{jG~Jt/lUE%pTAFe4qQk\ve۽/u/Im+W')v{\-E|Pms7߮DZRr۞/mu*1ՙaB܆ -xg3#6ۥtRogʌU)׎]ZҞNnŞr}F1Nnޞ;cZ{N}ۿMiuxʉ*3qi'9KHQ$WJxXyرŔe~[v5~/jN9Q4o6rJv FrdxM*iRjMzUinHdн7ᾞS=S'7 } ̽zt7K|_g J=Lq+/Bw_\ۧx\HJUPzQ<hqF[V0x==CsU7q|^ {)Iq38$_A(VgcKu06Ƅ"%i~_ˉk QCܣB8Ku/񋇵u([w}$F|8TՠI.E !;RJ^}MɒD_q2];Ɖ{5}*n7nEInO{Mwv}&q+v [V}Ĝ@%>#dXQ$f;iep.GquixVt x6bj͵mlKقQ[T]zs/&yەnM'W}!Fp_d^Tu N{ɻ'l{խ2.sTu{W^H&;1s)Pӛ6>$mě;Łnj= fLT)>׸+qReɴ[UR\L*P/!$Ӊ3Q 'K=m~6XqW3^W+ųO_[F$rR*u"T%@O +%# ]˽!aܽz{ͷvQh쩎]hGތ5ɇ*DzJDRNLi 4:{~2FmXY-zzĽ^f=]uū{/+&c:Ma{ĝDp2m܍kHș/(--m_vݮK(V{R}.k&yƴ7i^4@3f sK3^Ř˸B=]?gt5KbZB<e;kQLpxuWC}n 5ҴepB##~q= `x]KWF {GfŲ}?G.I9pjWkU]>={7q{kO/^I3==f1ɏ%nnʫ/Zu_yXN<57ۍ'vy/"8넭M2eԷ&Y,в33%IkjMr7xf nmQkX4踼>a-GcIeތw&U=-:qnW)z¥j :WqSZvԒ#j"KrIU)%qrmRoDGQ~SYRsu*V)  ,/x)MFD6O#]z 96[Ui(JRfw'y$GeUީkdMF-ݻ98F2d[o{Rn0n-xsV6Dh|Eb2E:KCOӪv4SJCr"J!!m,hRLD| ZYFm/X~ΧfrN&4Ƒ=Z9Mh.Mܵw/BdrܥniŪ8ɧ|y%œ[M=_tj?F!z5\evM:\ ~F-sg钬OWq“iiȍ<Gi%%n2rqͻllƑ)okw7}\Uk-:&fj솘XerV9yZuʼşdFC=rmo%~ZN78X(N)_7.Εn1MpJ}62jjJdI";R5&iLԸc:jmqiQj$ujp\{;v5B񥍪Xn Ą4qOERjzN(Ga٠䌡)p*v(J7#ZۻZ8O W uONb+^Qipv9GvֽƼϯrYƖKGJQDNPhRJjᡧC"21"9ѓS1;R_O7/WGz)8fE%F2ukmvSov/iZ&/]~KmI[:^~ͤ\kMi稜\ywJt3W7 8Ʒ~ݥeFgѼw"8VVSج\뻆}ݭ/J6Q)d|)zU3>k\L=;ow֯gN3pKѫ|wmkZ$z^2R:E)f>ς нd|#׆?\ǔpV{;\$ƵE%-ͪm0S6[n< kE[}mvE4DDZ^$OZ0*$~XUv҅B@^?]so#%ojw;Y#SxxueBگy v^i-)s)zV jC{7Gt.w3v,ygg8s]aE_,*E tY5k٨h=o"m泏:\6w噓aiL׎n^c\75AGkЯ0Lf46َ`egZ˓p/k;̛]kq!ݸzpԭG"}R9Ve>ˏHUjJ-&7nrnwG*Xv\˱/vN}O)ʼn&CV͍f̵]r\PMB-6Du-#RͰtRN^)mT _}nSȕC*_xBuTkJW[`ɩ`ejvsngP ڻ.-WUtܑqԹQj)t;vN&RNũT+8%IXӃ5fK՛-d9 ]CƑm|nZ-6=Hz,*aEm W3VzRšdY~Xf׀Xx"]s;)5u*ُHB BRGS6bݶؿ 9j[1*jױga7oX CUI%0v#~\-O-Ꙛuɷ쏪&5mY٦M`LJ2qK~HZbr =N'YobI. (^ ׾{_ ?OJ`S`3BN[}5w6:ǵ/iSlt=4F*d&T4y/#. ɵim5Uֲf 眕6Y7 fơ=3dϕq뚩$qTM-%r!$@A? ޾V0c~{[{;򥧅a~ڵ»&ڄv1ek=wb MLkNAԬw-x>~/r=e73VeVN)K%Sښe"+3uXuچrn ֺVzscJ峻m}vb㶓n\YbIUBT%*,0nov=;z꣓S/nSXSpl##k9mXGrZv^Gde!ŷRԠzQyjC]`gToPov{j~KRBMY}i[߶9KL2ԉO0K#m>wB[ٍ+n[[b٦DX ݲpo] [\m5qdT()mo4Oy9Ie b][wղmM~vmi۱~t \}$яimRk(L c Cvk7r9_r1 ;zv|F@KyZ[&jEji/"6$69ml#e]9s\{ScL}Ȣؿ0q/nZ*t,CLoD߉Njǚy=Pgmu6^]l-["çUʖMlʍp-"qmU>۷uFOJ%Ǔkx 'g=睋k[3u,{³WɘݪF]ՍeFX"Oy\,cچ=w/gn Ļ]#2? vqy-gXnR.^}ݺFs{ŝG]}e|#0mjx"ƬWكm?rgU^xVB":Dt>@LRbun~ݭ,w+v⪕;\U(RYa61>#Jm˞Μ9g9XKaG='u8gf}'qy#ɉw J]We.ʲ-<+&q%s?2dњztҼn`cΤmmqMdz O[-ߩӲ&;[tmܝVnr">{x<8U+p:Ig]zjGkt,uzf}dؠoJaکqEq -(:d<պ=eKy[˗^%ZXkX[C2߱\ITTLGzANM￵i]K>UsOGDDD.ZF6* ҃V Zhz{'xp^`wo8r0h ZmJ5"jb[l=yUu7-;7IT%:jFjߖm0tzU'K)څNۧYJ)4IQ}^KWm7kSP>q;ނ#)'n7&׊r?óM{IwR\j2Qn[v pe#/tAF\ϵ225q֒om6z})6҅*oqDsMf CNIN=T S2t,_ѧ}kveMF0J\Rnnݙܹy[rUc-j{yGtkQ%s]5qB.Nw.JN1LvR Ui5J ZESQԙr):MJ+g}χ!2;q([jAud][ljVK3$ײSJI=/|&tl'*n۽f.frܥ jQO8>&Z];.|7T/C}$ڋUmP2Reҭ8hFF\L 3~e v\۫]ݝNmrnB%*]Z«hKc=BTLG :V74$=Ǘy+EX'4tn(I:Ѝ;Df8c,k1%dJ6.j6ź{N~l6&*fœI7 WAlGOu-ҢH,,(ǔe뿋쩨kM܍ZſgRvQ' 9)?n|er˭|I|-fGK.rΛp8XV1%K6mvG+tc+qE&ǸC_Nm:l=_/m5^[dߌڇ.c<%:)tQ$Ow~-aY;UJ>=F)2[nk؆?훐M=l6[4(O.]2#-H^n#->&mp5~Fӛ+|| S,xag%qkEUzUgæBhߕP(7]kFnq?֖CpruZ6*rEڊtS|*tI*E}7R<,nUU֫^I7Q*mSly%rdȓd8hE<9oHhMfNSRj[i7D[Rj݊+kდq{"$$H?p\̅S?㭻;t~R߁)^/>Qj`yt[w ԛ;²~+ߔ_ YW~|o]?x^ᯛ `ʼn;g)T@vWn]>&4lp+$D̢1l|ȨF%-}.9[}w~ ԠLM9hСablfe&QoW!s?wjLK?s7yO>(=C~_nyǜu?v3vyo oI@qV-jeES^[9WoSܝh"l2C1a͔CiJ@3:Pճw=/7ovuk+\V;lDgն<[A+rX~d;m!_s8ݖ׷;;.0llUC+?i#_crʙ1~C.\–q ul8Hܶ2m`ܻM3Tov|Bs rɵ"oLS- DКw=Tv@f'6|YlD͓Y%׵-#Ѯo%:&!3o%\J<02;K87>^vgƓ# ;ݝmz^Y6=PS39U%~ &f# }o!muH;ʲŇ˷yvP+&.7e[3'vR4Yj̗IZ`e˽3o[WU{ m[sUbۋZǾۆl6~9'V*.\S2<Sd*zY[aŶ`]C$n.v^Ʌ dng>ەZ,Mmϑ :n6nϦezWqUJ4! ۇ4R! =>>Fn|Q[{pRO17ƕ~._I''00k=b՛o}Osðc2'o\3}ݭQ^2 . R1yKȣtAݿ-uܾw!`?1Whn|gzUo[ECWwjUIן)^h#1ɭ!/Z np;o;ΗŻkXs."6E`Z1 עӐ9Kl8qd q} 2Stt;#j>;խabONŗ=fwP1j)l6J̶|gV2`y/0E˛6+ԫ1? 6}KW c\KoKͨ2ۅFw–s*TԞLיuDx .kCzWXhy۶gLu|%TnupǺl-S* PRaLnT+c+*xl.v!.U=|; !_L̎뱚U=4hm:ٯ"y)$:>%(n}X'p[ȴ ^˒4kƓmzDx \ 'NqamP7nyN݅=j7%McSڵj%STy qXymvCg{w/w=wSW5r̹u erծˊsOm=DhEҚRb#n)QOxtվQwe]I}wCa'"[ۂ-z}2UuKP$㜉ԧ:mc<Ý>RoL?wu|%ҷ&K y_!y9 ??:tq3(UU-lkS'ɸ@jdzQˬR] EVPW1DJq2n:,c|ǻ̑;y{X,ۂ.u.b˕u.tKBjQ"[S園S`ٮdNبeJ&9Ơ ~0a(Vm٘L+Jr*vڑE( x0+tp˕ n';wm-ޜMOxX>{#2%jgb2M[`K*\5@8l'e=0u+w ֘鳾{y܀:R*Ya]"Ӧ%ktynlۣ65,3gU}{GYrb;ge'TKwǘ.,rpܚV]Tr,!dp /ԺU,xՉ>s׽~W5oTh yx?xrrx?)?ilbT׬,z$Ԏ.UH٠\U1pU:]JwSrGZq8àd驐,N67QYBӢD㏙W!Q25ϸo9ms-7-%3CihO.J鯽-;MZM8ku-7k9S$8]q2E(}bۏI[DKOK}3KUB^u %Y,u.-&f#]'܆o$x`Yu,dzwM;#oKxn;\[d7}Rb+*Y䛂ZuBӱl{j0O̓}LhK;[aֶaGL{Cb#S.T[>߃F]NK"u^LUʐ_ykW?!GRj29͖qa'0[npcDvV)qz9R)PۨM^aJx W] r>];eN3vxdmĘ(5W2K1䪖weF{mE/QP6\u54x5[hۮ-Nk”i[lUgL]J}5 S:EhiUrgHl!ŒJ$pe=q^b͵Q' ?6|R\,JA ڵ"TDꈭ:ymg`B5t%M] <N_zv2_Ortٵ/i/ReӮ*7[qүqEG* m"[I:6e^p"I$jԴęh!m)]GZkcjS!{e^z}+Cѥ9;R|/ֱeiUԏCNu2Zhcٗg$ݭwvr P8*7/Lk~I'Km1+MW%Bk|oOm>-#qj*|Dbѱkn|n{v#jĮqNpMIUm(7Liz;{ҜݞڝVƚVϬ+sO!OstGvxӉ']uӎ4g_ 1^-8ۦ k!)Ύ5O;YSB#2Zzχ;<.ֵOtge~.(RC#wFZeGZٸ6FFJ4e2ˇpJT$[wgV)q6muDGJ56q\I!̗ y/I~RtJ9kJ]Iy*'FN0s.[l!fw'y(7$œ WƫgyΙdMEU JQJv̋vmrۖ.jWR_M֨djYgSj0^\y'EoECjm$ IƩK>Z28J2TiJ2N#}.s cArl嫶nB.FIJ.)۔\ZiM>/hLĸ=C1s[?YMqp|94- 鮝𦔽/k^#NT(Y LS$6˩}{;5 )B۷W$qpN)qqoot}ZDVә;7TiK|6f3h$dԄ}fqݡ>Nb򗉉+ͶO]>ߡ_VtYf79ڰիF sq~prս|QM)g%l0ocJȨHz V;Bb/kLAcfPJ,ԭ{ƍgpjNR6VSI*$!yV足jᇑ.](EܣqM\qJ2eZT).<9UB/(B0j)mtKEj#׿fDI-=rZړj|'Nڤ]k*i$5qt"ݙPM6E4ke^Z8ۏhz$Q(R Ay2zfRñnpnkbkI:=j &ΝșW?׵d{+ύM'??XqeeĽ.[o=UxFS=ӷdZwenՄ]_X=ĭVa* pKs0ބۍfJ3 gz̚i|wnxtjc¼5${(1fXQ65ȼb̶Zkn>%FQMJXӡ{TZEVNᖣimT/37cNJUPnP҂ZOE~"-Rc4^b- FEͧtf5[)S!OZIښݲ͑;tvܡ+N)AR=hCNn;wL16-:特7M$=Tҕ-.R[HٷnXk sn[ҞD-0WS9p9:-Ϸ-jѬNu{ҹfv)[Ľvwfg(ٷfe+0mYj8Q1\ݧg]Eǎvڿc!4#j5̋C2"}BRriFp7=ô\TZ:\BLfj#I22װ<;صZl j 6:l"6]۸ K'6RTѯ^ئOԓV\?$x7s#r:Oh{ց=MmuHԷd{pN /܅:UE#Yy+(SgQ(Щ)RHzw>^Ѿݻ>mK&^ '$Jۻ&w%F|xfz%˳ L~3N?Cy9 v w/{ƿ kz3x> sXv}vP"@WyC z`'톽Dw%-tt yVY\wmuPYQA0iG-2JP,6/gˢ]u.-n!Zw.N7Q]Df}Q0({a\@=i_X7gFǘ8^⻲}G MZ1)WEfO12G+=-B@z\`||w6ċj߬m}UwRox֢I &c~XGP6Qndpvܻul'V7^FJt^{b^B(L~sѣ6@߿^xqU!ڙ5|Vpvef-uӥ^3  FSDɯKD%0r}FF穛r7 +o"V8tv̖NQU!5uFd"bCr^bJ=֤fM#ʳԷP0O-9xRBm\=`r-:;~3Tl(nXtXi%2Vٛ#vwqƴ`L@"H‹qW.j,JM5B[)WܺUeZFqc'V˷1W7V̾-MHФwn8N;HPSdݷC7&2j.W\τGŎ'Vb]c.x+Rx1%C2T{myg[qU|+m:M:շ8҉yWd)ՋWS%%:iqlʹmGwݹ WnNŤѩ5(9hTٵDdGUi-)vSs2 2{OnT$Xck n:¶(lASLeȔBjμPpTb2~N2~%^k[ܗ[Jzs0ӓHBKq[}JَA-$dFQgjxxFv4r/x*Rm% `4J(&iv7SkԲmSH1YWmx 8n.k']:Z˭_W >ڃXЩ. jTq%Aā[E}amc]D:rmHRiu:uӚӢ\p(5-q%e)(۬ҖȽIf<߽pr&ݫVfY91q2ĭEQgYbTGQ&,yL+N$[q*RVۉQ=FuTܻ>f>f㋳8N6$܌n)9&»iˤsX,݅܍ȩv+sRTpO}d?Wn/Inpȸ%O]StQO|v5\}7Zwb.AIVK^:wb{[uݯcytO߶S<{8KSRׁH̏N7ۚ[xkwYy_'ZӵF+>쌛ZUĦreE9F[24De{}@:ExWs-\ǻ7K-\JNvEk%:s˙#κ].oͳ;լ7wB6nwu:$L; DkI#Wz.:Xp(˅v$Sq,wn\qIN-e<5Oe+vuYTpcojUI_ާP8 O 7&VL8z$_B-H-[uh]T{|8=qVRN-:Ij:7PUtXϷmy鉿:RIM~33ӸS2#׳GdŲ5+/Bx{(WzȨ5Y㞎#|˖+ ط.|e<o/rߔX>7s}VE.OVti׽ .5nNJO"95{#q}Ay9do]R"M6z\tnNS-D!@3N_jicWsy*5uٮRcWv/.,j}=S)j5C^> Ie =gu9ӛqjtz]۪TMoߧI!Ǧ¶m:,"[L!{qAv-o 3{"KʼnrIkfٶj2ƙ؄S`7` k6jzޞ?e5G&6uʷ2%ԒRKE*G\Npom F/V |C0.q_eenƣ<5Oh'67ɪn[SĽ{ڔjǘzs;~׌(ۂ`ܢ1ƣ` _l9Va6%UQWh~P~\F^ZHR@:ۧCJ{ôGeBh;~ۧnU J\O+n2 RҠ)ng}Kh{5+S×ܛ.1ZjG)iRȤIN 4%{oΜ/eO[Nffd ĹK?nnԼMqX'܌nZvq<ķbFnͪaQ`5 s,M_լ?-@_{w{ӺձJ}GF[%v\5[ŒGkOw/ΜM9rjË%2+rd~+󲕛C9U۳r[aJǭm|˒LAʨSCq[XMۺoubfp:t+ΤĻo ][ zt-*67kvS7D·MMCQXm;)܎n_h%]4ܙnRk!]ڵsDUF"`R, &#R_*[z*ZqFXɻ]7|۵w+'pFDەs=r./ᐚm3Hשy yD"jHCr':sA65نѮ^o1V/ f;nFr3VM)e*- s D'H݅fӧ\*޷[k<7u<-]֍Q8R h|p=WlW3s%Q %3l}@U-K6f-NϿu|ڴmWN׮[׸F*mW\%r! C78:޳vBG7ŵ.JթԚ2x)ST!řn~9 W:Wpܢ件{xf8ٳwKE ҰWxVB\qBZ 2wMb[lGSnyԚ~z9ZmያvoN2Afnݽjf>)j3 !;gOYʹK" Wftڎ+׭b*2ϻK>ۢӱeyԪXISUm[z+ugX%0lϏnvg!;t{BqPj>PyvR7Cj]O%+ݲ :qiMj6W}3vC/R=4Som]ŗ=ю, TF6U_-\6MyskwMr&Q\wjKܩyMϣUj0*}RZܷSdY3>Zjqj6TgzpA/M`/Cmл,޻feE[/+uk^Vs1W$G(JsW2ٰu*߻q*Y޵.Wi:ur5T),=0uRmho.twܖiYwrWHntvEj8qhf`Ͻpf(R&>Ki%I7$QӖm-2 ~yߗQ-앑/ x[k8nw.c㩵k}]FkbJl:{.(˩n0Hqvαp7 귎.Gupx[N`Yq'+ruU7[ү+>!xrȫoSo]OC# d^Q]\>!ƛGw^Mx"-+%vdX-:M2UR%d>%l ioSu6lsj7D P>XxHz Ukà(n^Q V>5cVtWj SEiJdznyej[lE' 3kuٌNn4JW)gB {4 j6&]' m-(ZMEz8cz>WZ6#7+[,MR-Z!4ܓtCyE|umj1ƽvƷV\;%>Q :#Le(iVz5 4ũۤUWxX ^(ҔsլB2w-V ^R+; ˂M\z+Uwr+RWY⺧~ Q*JcYSNSλUd8in=v K낫k\IRרSUaCFmϿ5̗P|u ZTԕ}>oYѲ1sfP+sQkX8Gb~6r,s>^\,mGL+7[n-E\.Fqḕcl*Jmjb5 ,m]c}NXfeVlǸJ5eˡ$4%g~N p4Y*WwW٧<8v#;qԩTut,m"#Y D\5V`\\Lȋ];LȇiS6ϝZ l>LruR\v=ǘϔDg=ԈdFZ+M{=|,[;0>RiSi4,S5}yxw&(E7&fݙ4UՕ! ~'Id)]ǽu2K-fޭ \08Vڅ쓬=Vy^^ IhyKR-B#Ըr=]mܻӾ'*Umkoy rTqT_i,/8Q^<ݤ|4ԻO(܄"'5N~#m.(Ҿ2i6Uev&I*<}҄$eNtÛzyWJubW^iBW.܅Wڮg]irO6Ve90sgv.+sV޿aޔ[p?3q*FutUo*eL\KM'EG*ZcAFfG5J 5jj=MJ3OK:k˝'NMB7m3uFҕ\-Ywg%PRqMIyZGY9|μvn߻5cWݷa^+X֥vnݘ\v7m>Fgzv"-;Ew֝}1|RjN𿊀7g#֟*GQQ|#/bo]p$>_Un9гUbn9׃ErQBU-^vDmVh'<R[fdHT]*~}3j;nvjc7s-rӳ Y8[n[1pJx kX[Jk9Mn!_Nю6x:iZ˦U |߉^Ԛ݃hYxk &U^bwKk.[jE+P(˞=9j@snCv7%c_7=xǁ<l {t'酚+1F‹l׭:ݻILruǶkL-L(K0L1&>wXB(pm;1fpnlp֓%Skidkt(U +xulo'/ڕeN r=^pZZ:Pnj8Hf"48ijY[ N[yZٻ+=  ø:3 ?^ܷ^Sr#YK[UF?CuhC b]GM')mڏsNrܗI]ljq6VB. W,UK"YX5{c >Iqā> T:n!,5l2VzCl|+I[*SrjnS6٨y+x,@>П.g+!rn9>N|W>OZT_ut Y""v7|sfި;Pclm EùN,{'fNT%U&LfH8~1v>Il}统u6P˗c(WV~H^bMU.o*oOF0N:_:6Smr_.b+|ݶYY غF,mwjv>f*>QM뭱Sd:`N{l/⎱;n-z~"Gze퇎J5S KG9!Gn;N1 ݎ h6m|S?ɂ5'WOÞ 7|7^ao @mxGmi^jϽ>01Mf0լD3-2T. VXR"ɥV Kl J O7|u?bvа;6.eߓ|[1bmRr,eRz`z 6܎-ͨku͹Fː dPhYgZUj}nvX;z=gVեTv_J }\1n7w2J?ޘγc\E 1Aޑzq;\r]]\Y&[nsNei\uURje*Qk2CSl*xJz-xٶlm+|UjUؓ`Ladqiĩ!Gd\W~fz;Tn*PdRM&T4`չSWq5k훶(N"Ӎ% V]֦wb.nUO!u*J&Oӕ2e|Z=eV쫚΅g#+/RW:طnbi*Wyo)p{:ETKؚR(RY+r웓r(IF) VmȵNB:h Q1ғ|u8E]{,'$-TR[j49l*3"I鯴zhd>Q+\BkNF=.$ZR4Nwհ(IpNi.(Gi33#33e$FXK*NdWrud[r{xnk$v2ıh+J1TQ[#JQl[tRO]LHKٮ NӍnF񨔤֞Em'MILB"ԋ%dBŋ+p̿_17jzT~4pc Vo\ƹb9Rq-'1j;8ܗ)hE%DZKS<璸Bu*%*Yw5ڻ9ۣ^z4U; Ñk\U(o~G?VUĎ:?P?_F_Kߤ~ᓾI |pr.Ok\SklRhҪz{­P .}SktZ7UQ4ڌIM8̈eaӊJZ%FFZu,KZvln廐SNFIVtuNi?CM5]+Ph,{jN JSR$IS^tSUVrORYu.9WyP6 [Kiu m!X|]Y79ӄ)\ģ)pbڳr%*&ꑶ_-H*dzk)1 V3')UAϹٶWRxe'պn۫h7AR9 EAJeGLms!%D| A 5]/Q3eb̄vnVn%za\m kZnv([emqrIҕij|""><hjJשvvǕ|Pޟs}V~2&Z?+2N&Z4w@)4iSڪ_>/JN9Hiۏuf8'It[ȲR.hZ$ȋ_Y ~U<UUO*6b)Ovzڜj\R̋.$FsQuҊj^נ䈈y<zZIuP[}Qm=C?zN(Exqu/kn S-FzKZzOסӽjJ\)F3b!r5ٝ|;6 o=-3*λ]αb\abqRi-w޵⦪~b8Kpo)Z=>)ғ"5/GTZLE-輵f7ݘ۹~+&+w/7GFI:l33fg.N~۲\2|*cnermnnM+Fq"ѪIz%j =YW8@~gc/~?N'?)«qȸs➟n=k" X“m֮VreMh2[uݖ] *FܖN)MȐ`f0 g,C9̑o;ddudJ=In13:ݒvvdMUEJLp^,6t-@͐9'{7m{-3,>hnF;ѰM)->>+Ěz!R* :`e--m7nB\u{b U>[8֪]6^ߤLʦ\DFNo$$dͶlgno8OrsQ\l̯hRo8tuNo+ CTxu!2[>ctFpeޓƻֶR"3QrQuOѳgwQr;S~)6HhZw/GgVTmUf_yt7%$];zLWF̰xy2Ʉu!MCmš_0[W6jf#a-KLi+3Q7c^qg%s<1aYIQeZf+}>;S6L0]Yu_h9߻<ƅpmiM$AVvŚ,*#t2.8Y)-Zhshü97/#Oro"u^/uFgWɺ,p:6a,^x%$Yve^3PƗMnTP&yS}OJ '덫MH^:rXԴJۋ/rI;S*,+yz1hv)Qw^ڍJ2oL׊q(\fDj:^T%vOadɂnS}ZO)N*λdaȜkG_PIEO}нa(^iQX᯦-7^)%g'SJx(.S9zVɴZ{E ))ۅi/s7 VIV-|sj0*UBTHIqRf>FP$KqN0 R̻8j\GcC}IUz\i 6F)Q{Gҧ3qSzKj-Az VЛS-zy:8*mNk|D鿓ND2u+0Yŝ7kqm·?8Ib]u>˗^_>(]vӋzv+ݩ){vZrJ2RQ몋C$z [,pp,8mڊbR]Il .f~d/ݓs㓓mͶ{mgjQwn=Oic9ܚm4Q/6ݨ[TƧ?nԶoytf{@AzT{e{[O'ZRZt~AGD?s3􌿂ՉIw'|~U\ w~di:Kޱ)U/sU%njѩ&GSP^ǝd)..!^U` 1wX[aԇSxoFV6_扐)T 2Mfd=ۖͭiZ7KK Bi9%7@<3<ճԻU,},a}FRqɛr i@ONJvK KLN M, ʖv0n-]DwlI-X6ܶ$Jʴh5O+mOI+Ra瞠\ MG7BفjYo1#͖0V`Ѱ2M?c8>-Crt*JkIGS:e#hPKx[鱼>{5m;wcն&>j-M֥^َ) 6yȜl_w{-ō̱r> U=]iw3)r*]:K]6BdCTZ|>gf}LW}[$'Y5 &c -j.z6R 67MԷFMnÌwI7w5E}o޽+K ֵy4܌ȥW"COyR[q5Ӱ͙f[v"_#q{MV6܍3"u9BK(41ӯqˇc${ߝCi6I(OmθzҜ5k^:>Jzw.>qV8{vU[ڶEm|DžBz].KHjI]x;Mɗ{m,qZXr忇2u^RO2Z}ZێS[2Jen!*NDcrBUً4<ǼMҲs1Zw57c3&ĖڻzmP*FuJG1-dN:|OU}ҵgi2t~F^^Z.VxjvŧnNNh<:]^~NN+ge^g.SԔGFe߯'[vn'(ScJ]kܗ7eJOlRrfziݮq̋S"\*U<*W]k$FջV}? 7g#֟*GQQ|#/bo]p$>_Un9;l S VvQU%OLU{οmU6bZ1MTx%!֙Q7, J=!3 ;Q,ڌ;6ͱ݅q^&ߔ·n #WbwӖX.HtG)N&d̵zpI,n cu ޖUj+VXUp[w]N o.J6Z8Ts&utxln;~HPHS/xw`G\ʡ¿rj Z^vt"[L:SD\h0sUwR,}[x^X,R2Vn< ]2YDr[SRKs8tXb̷G?Ps Tv 3be,zVz D[/I.KOEQrm'$7|[J>r S`5յwT#\w1FTz\Ԛ &"ׅhSHrD\'r]~/>p;:Piuu:"9ő=tTaS7V2rӷk7mb[^WmPp*[y.Þ6f]cizJCgRR@UVl큝.WJP1N{/\whZ ػϧӱE7|E֫Sί.x-Y&pi%v''-x6r'Ws*6=DwwUu]=C?MK [yrtܒG$!WGqJ*%SAz ED[^)/tė/g=#Omd.|^n/sl׉g DZqemqowݮRzUܜ=ڽ-o/Iۖ;qVʘgPp|mm;6zGl9.8pwWgsJ2qPbe}}UpNjٯ}7TMQKrؽtEx%v w߾8%|j;~|}pK]ơ/ w߾8%|j;~|}pK]ơ/ w&~e_H 8PL7:%ʭ5Kw&U2vwR_+rm'}C7#rWoO&HoG?M$UR7{FU]u ;# !Wk`|W>׹潇9Vn)6)*ҹ{%qV4q>W1vi#T"Qk&GwxcJBJ- Ϸ^ˁxkU}ԣ/3.;]J=<*)cS)ROK9H=,r zX @)cS)Da^ԽQ gxJI=w֣gf*TRj

#E-mail: mskang@gachon.ac.kr, TEL: +82-31-750-5524
• Received: April 30, 2022   • Revised: May 25, 2022   • Accepted: May 30, 2022

Copyright © The Korean Society for Precision Engineering

This is an Open-Access article distributed under the terms of the Creative Commons Attribution Non-Commercial License (http://creativecommons.org/licenses/by-nc/3.0) which permits unrestricted non-commercial use, distribution, and reproduction in any medium, provided the original work is properly cited.

  • 56 Views
  • 1 Download
  • 1 Crossref
  • 1 Scopus
prev next
  • Passenger ride comfort is an integral component of any road vehicle. Ride comport is impacted by vibration resulting from road roughness of low frequency, and also engine vibration of high frequency. The engine mount is an essential component, which acts as a vibration isolator from unwanted vibration. However, vibration isolation requires conflicting design criterion, such as high damping in low frequency range, and low damping in high frequency range. The purpose of this study was to develop a new optimal damping design method for engine mounts based on minimizing H-norm. The damping minimizes H-norm of displacement and force transmissibilities in the wide-frequency vehicle operating range. The proposed optimal damping control was applied to a Magnetorheological (MR) engine mount, to investigate the vibration isolation performance. The feasibility of the proposed method is verified, with some numerical simulation examples.

Ap

Equivalent Cross Sectional Area of Upper Chamber

B, K

Damping and Stiffness of Rubber Mount

c1, c2

Compliance of Upper and Lower Chamber

Fe, Ft

Engine Excitation Force and Transmitted Force

Fmr(imr)

Friction Force of MR Fluid

I

Coefficient of Fluid Inertia

LωL*, NωN*

FRF of Optimal Damping System

L(ω), N(ω)

FRF

M

Mass of Engine

P1, P2

Pressure of Upper and Lower Chamber

Q

Flow Rate of MR Fluid

R

Damping Coefficient of Inertia Track

RL*, RN*

Optimal Damping Coefficient

x, y

Displacements of Engine and Body

z

Relative Displacement between Engine and Body

ωL*, ωN*

Optimal Damping Frequencies
차량의 엔진과 차체 사이에 위치하는 엔진 마운트는 엔진의 장착하중에 대한 지지는 물론 차량의 승차감 향상을 위해 적절한 강성 및 감쇠를 가져야 한다. 엔진의 회전으로 발생되는 가진력은 엔진 마운트를 거쳐 차체에 전달되며, 또한 차체의 진동은 엔진 마운트를 거쳐 엔진의 진동을 유발한다. 승차감 측면에서 엔진 가진력이 차체에 전달되는 힘 전달률과 차체 진동이 엔진 진동으로 전달되는 변위 전달률 모두를 작게 설계하는 것이 바람직하다. 구체적으로 차체 진동에 의한 차체와 엔진의 상대진동을 작게 하기 위해서 엔진 마운트가 가져야 될 특성은 차체의 저주파 진동에 대해서는 높은 강성과 높은 감쇠계수, 고주파 진동에 대해서는 낮은 강성과 낮은 감쇠계수를 갖는게 이상적이다. 또한 엔진 가진력의 차체 전달률을 작게 하기 위해서는 마찬가지로 저주파 가진력에 대해서는 높은 강성과 높은 감쇠계수, 고주파 가진력에 대해서는 낮은 강성과 낮은 감쇠계수를 갖는게 이상적이다[1-3]. 하지만 이 조건은 서로 상반되는 특성을 가지므로 강성과 감쇠계수가 고정값을 갖는 일반적인 수동형 엔진 마운트로는 승차감 향상에 한계가 있다.
지금까지 엔진 마운트는 고무 마운트, 유압 마운트 등의 수동형 마운트가 사용되어 왔으며, 고무 마운트에 비해 유압 마운트는 유체의 점성을 이용한 댐핑 효과를 얻을 수 있어 많이 사용되고 있다. 그러나 수동형 마운트는 주파수 범위별로 상반되는 조건을 만족하기에 어려우므로 이를 개선하기 위해 MR 유체 또는 ER 유체를 사용하는 반능동 마운트 또는 능동 제어를 적용하는 능동 마운트가 사용되고 있다. 능동 마운트의 경우 제어를 위한 액튜에이터, 센서 등이 필요하므로 복잡성과 경제적인 측면에서 반능동 마운트가 선호되고 있다[4-8].
반능동 마운트의 대표적인 예가 MR 마운트이다. MR 마운트는 유압 마운트의 유압유 대신 MR 유체를 사용한다. MR 유체는 점성을 갖는 용매에 상자성(Paramagnetic) 입자를 분산시킨 유체로 MR 유체의 통로에 자기장을 가하여 유체의 유동 마찰력을 조정할 수 있다. MR 엔진 마운트는 실제 차량에 적용되고 있을 뿐 아니라, 기타 다양한 진동 저감 분야에 사용되고 있다[9-14].
본 연구에서는 차체 진동에 의한 차체-엔진 상대 진동 전달률과 엔진 가진력의 차체 전달률 모두를 관심 주파수 대역 범위에서의 H-노옴(Norm)을 최소화할 수 있는 최적 댐핑의 해석적 설계 방법을 제안하며, 이를 MR 마운트로 구현하는 방법을 제시한다. 설계된 최적 댐핑 제어를 적용한 MR 마운트의 승차감 개선 효과를 MatLab을 이용한 시뮬레이션을 통해 검증한다.
2.1 유압 마운트 동역학 모델
유압 마운트는 고무 마운트에 비해 점성 마찰을 추가할 수 있어 많이 이용되고 있다. Figs. 1(a)는 유압 마운트 개념도이며, 1(b)는 유압 마운트의 동역학 모델이다[2].
Fig. 1

Hydraulic mount and its dynamic model

KSPE_2022_v39n8_565_f001.jpg
Fig. 1(a)에서 엔진 마운트는 상부와 하부로 나누어지며, 상부의 펌핑챔버(Pumping Chamber)와 하부의 컴플라이언스챔버(Compliance Chamber)에는 점성 유체가 가득 충진된 상태이다. 상하챔버 사이에는 분리벽이 존재하며, 분리벽에는 관성트랙(Inertia Track)이 있어 상하부챔버에 있는 유체가 관성트랙을 통해 상하로 흐를 수 있다. 상부 펌핑챔버는 엔진에 연결되며, 중단의 분리벽은 차체에 고정 연결된다. 펌핑챔버의 고무는 강성과 점성을 가지며, 컴플라이언스챔버는 저탄성을 갖는 고무막으로 되어 있다. 이 유압 엔진 마운트는 상부에 연결된 엔진이 진동하면 챔버 내부의 유압의 압력 변화가 생기고, 이로 인해 유체가 관성트랙을 통해 상하부챔버로 흐르게 되고, 이때 관성트랙을 흐르는 유체의 점성 마찰이 진동 감쇠에 영향을 미친다. Fig. 1(b)에서 엔진 마운트의 운동방정식을 유도하면 식(1)과 같다.
(1)
P1-P2=IQ˙+RQc1P˙1=Apy˙-x˙-Qc2P˙2=QMx¨+Bx˙-y˙+Kx-y=ApP1+Fe
여기서 M은 엔진의 질량, B, K는 고무 마운트의 점성계수와 강성계수, P1, P2는 상부와 하부 챔버의 압력, c1, c2는 상부와 하부 챔버의 컴플라이언스, Q는 관성트랙을 통해 흐르는 유량, R은 관성트랙의 댐핑, I는 유체의 관성 관련 변수, Ap는 엔진 변위에 따른 챔버 내부 압력 변화에 관계된 등가 단면적, y는 차체의 변위, x는 엔진의 변위, z는 차체와 엔진의 상대 변위를 나타낸다. 유체의 관성 I식(2.1)과 같으며, 관성트랙의 댐핑 계수 R은 트랙이 원형일 때와 이중 환형(Annular)일 때 각각 식(2.2)와 같다.
(2.1)
I=ρLAi
(2.2)
R=8μLπro4 for circular pipe8μLπ1ro4-ri4-ro2-ri22Inrori for annular
여기서 Ai, L은 각각 관성트랙의 단면적과 길이이며, ρ는 유체밀도, μ는 점성계수, ro, ri는 각각 이중환형단면의 장반경과 단반경이다. 식(1)을 정리하여 운동방정식 식(3)을 얻을 수 있다.
(3)
IP¨2+RP˙2+1c1+1c2P2=-Apc1c2zMz¨+Bz˙+K+Ap2c1z=-My¨-c2Apc1P2+Fe
식(3)에서 차체의 변위 Y(s)와 차체와 엔진의 상대변위 Z(s) 간의 전달함수 L(s)는 진동 전달률에 해당하며, 그 관계는 식(4)와 같다.
(4)
Zs=LsYs
여기서
Ls=-Ms2GsHsGs-Ap2c12
Gs=Is2+Rs+1c1+1c2, Hs=Ms2+Bs+K+Ap2c1
식(4)에서 진동 전달률의 주파수 응답함수(Frequency Response Function, FRF)는 식(5)와 같다.
(5)
Ljω=1c1+1c2-Iω2+jRωK+Ap2c1-Mω2+jBω1c1+1c2-Iω2+jRω-Ap2c1
식(5)에서 유로댐핑 R의 변화에 따른 주파수 응답함수의 변화를 대표적으로 나타내면 Fig. 2와 같다[15]. 식(5)의 FRF에서 진동 전달률은 2개의 고유진동수가 존재한다. 따라서 R = 0일 경우 FRF는 2개의 첨두값을 갖지만, R이 증가하면 높은 고유진동수 진동모드는 낮은 고유진동수 모드에 비해 감쇠 증가가 빨라 그 첨두치가 작아지므로 Fig. 2와 같이 저주파 고유진동수의 영역의 변화가 지배적으로 나타난다. Fig. 2에서 FRF 크기는 유로마찰 R이 작을 경우 낮은 고유진동수에 의한 영향이 지배적으로 나타나며, R이 증가하면 FRF의 크기가 작아지고 고유진동수도 증가하는 특성을 보인다.
Fig. 2

FRF L() with various friction R

KSPE_2022_v39n8_565_f002.jpg
여기서 R이 매우 작을 경우는 유체의 유동에 의한 마찰이 존재하지 않으므로 이때의 고유진동수는 고무 마운트의 고유진동수에 근접하게 된다. R이 일정 값보다 더 증가하면 높은 고유진동수에 의한 영향이 지배적으로 나타나며, R이 증가할수록 FRF의 크기가 증가하고 고유진동수도 증가한다. R이 매우 크면 관성트랙의 유동저항이 매우 커서 상하챔버 사이의 유체 유동이 없으므로 관성트랙이 막혀있는 상부챔버만 있는 마운트에 해당된다. 따라서 유동저항이 없는 낮은 고유진동수에 비해 상부챔버의 컴플라이언스의 영향만큼의 고유진동수 증가가 나타난다.
Fig. 2의 상대 진동 전달률은 소음과 진동 및 승차감 측면에서 작을수록 좋다. 하지만 R의 변화에 따른 FRF가 공통으로 통과하는 일정점 부근 주파수 이하의 저주파수 영역과 그 이상의 고주파수 영역에서의 댐핑의 요구 조건이 상반됨을 알 수 있다. 즉, 저주파수 영역에서는 큰 감쇠비가, 반대로 고주파수 영역에서는 작은 감쇠비가 요구된다. 엔진 가진력의 차체 전달률에서도 Fig. 2와 유사한 특성을 보인다. Fig. 1에서 차체에 전달되는 힘은 식(6)과 같다.
(6)
Ftt=Bz˙+Kz-ApP1
식(1)식(6)을 이용하여 정리하면 엔진 가진력 Fe(s)와 차체 전달력 Ft(s)간의 관계는 식(7)로 표현할 수 있다.
(7)
FtsFes=Ns
여기서 전달함수 N(s)는 힘 전달률에 해당하며, 진동 전달률과 식(8)의 관계를 갖는다.
(8)
Ns=1+Ls
식(8)에서 유로댐핑 R의 변화에 따른 주파수 응답함수 N()의 크기 변화는 대표적으로 Fig. 3과 같으며, 앞의 진동 전달률에서와 유사한 특성을 보인다. 즉, R이 작으면 낮은 고유진동수의 진동 특성이 지배적이며, 반대로 R이 크면 높은 고유진동수의 진동 특성이 우세하다. R이 작은 값에서 큰 값으로 증가할 때 일정점 부근의 좁은 영역을 통과한다.
Fig. 3

FRF N() with various friction R

KSPE_2022_v39n8_565_f003.jpg
따라서 힘의 전달률을 작게 하기 위해서는 FRF가 공통으로 통과하는 일정점 부근 주파수 이하의 저주파수 영역에서는 큰 감쇠비, 고주파수 영역에서는 작은 감쇠비가 요구된다. 이상의 분석에서 진동 전달률과 힘 전달률 모두 공통적으로 저주파수 영역에서는 높은 감쇠비, 고주파수 영역에서는 작은 감쇠비가 요구됨을 알 수 있다. 이 요구는 서로 상반되는 관계이므로 수동형 엔진 마운트로는 만족시킬 수 없으며, 따라서 두 요구 조건을 적절히 타협하는 수준의 댐핑을 결정할 필요가 있다.
2.2 차체 진동 전달률 최소화 최적 댐핑
식(5)의 진동 전달률의 FRF 크기 |L()|는 주파수에 대해 4차식으로 해석적으로 분석하기 어렵다. 하지만 실제 마운트에서 상부챔버 컴플라이언스가 하부챔버 컴플라이언스에 비해 매우 작고, 하부챔버의 강성(컴플라이언스의 역수)의 절대적인 크기도 작으며, (1/C1)□ (1/C2) ≅ 0, 유동 유체의 관성과 고무 마운트 점성계수가 상대적으로 작아 저주파 영역에서 2 ≅ 0, ≅ 0으로 가정하면, 식(5)의 FRF 크기는 식(9)와 같이 주파수에 대한 2차식으로 근사화하여 간략히 나타낼 수 있다.
(9)
Ljω=ω21/c1+jRω1/c1ω12-ω2+jRωω22-ω2
식(9)에서 FRF의 크기는 유로마찰 R의 변화에 관계없이 일정한 점을 지나는 특징을 갖고 있다. 이 점의 주파수는 식(9)의 크기의 제곱을 R2로 미분하여 0이 되는 점에서 찾을 수 있다. 즉, d[|L()|2]/dR2 = 0을 만족하는 주파수 ωL*식(10)과 같다.
(10)
ωL*2=ω12+ω222, ω12=KM, ω22=KM+Ap2Mc1
즉, FRF의 크기는 R에 관계없이 주파수 ωL*에서 항상 동일한 값을 갖는다. 따라서 모든 주파수 영역에서 FRF의 최대 크기가 LjωL*가 되는 유로마찰 R을, H-노옴을 최소화하는 최적 댐핑으로 정의할 수 있다. 이 최적 댐핑 R은 |L()|를 주파수 ω로 미분한 결과가 ω=ωL*에서 0이 되는 조건을 만족하는 R에 해당된다. 즉 식(11)을 만족하는 R이 최적 댐핑이 된다.
(11)
ddω2Lω22ω=ωL*=0
식(11)을 만족하는 최적 댐핑 RL*식(12)와 같다.
(12)
RL*=1c1ω1ω22ω12+ω22=2MKc1K+Ap22c1K+Ap2
이때 ω=ωL*에서의 FRF의 크기는 식(13)과 같다.
(13)
LjωL*=ω12+ω22ω22-ω12=1+2c1KAp2
Fig. 4R의 증가에 따른 |L()|이며, 최적의 유로마찰 RL*일 때 FRF의 크기는 굵고 붉은색 곡선에 해당한다. 또한 R의 증가에 관계없이 모든 FRF의 크기는 ω=ωL*에서 동일한 점을 지나며, RL*일 때 |L()|는 ω=ωL*에서 최댓값을 갖는다. 즉, RL*H-노옴을 최소화하는 댐핑임을 확인할 수 있다.
Fig. 4

FRF |L()| with optimal damping RL*

KSPE_2022_v39n8_565_f004.jpg
2.3 엔진 가진력 전달률 최소화 최적 댐핑
엔진 가진력의 차체 전달률은 식(8)에서 N()가 L()에 상수 1을 더한 관계를 가지므로 앞의 가정, (1/C1)□ (1/C2) ≅ 0, 2 ≅ 0, ≅ 0을 적용하면 FRF의 크기 |N()|는 앞에서와 같이 유로마찰 R의 변화와 관계없이 일정점을 통과하며, 이 점을 최대치로 갖는, 즉 H-노옴을 최소화하는, 최적의 댐핑 R을 구할 수 있다.
이 일정점의 주파수 ωN*d[|N()|2]/dR2 = 0에서 구할 수 있으며, 이 점을 최댓값으로 갖는 최적 댐핑 RL*식(14)에서 구할 수 있다.
(14)
ddω2Nω22ω=ωN*=0
식(14)를 만족하는 최적 댐핑 RN*식(15)와 같다.
(15)
RN*=1c11ω22ω12+ω222
또한 ω=ωN*에서의 FRF의 크기는 식(16)과 같으며, 식(13)과 동일하다.
(16)
NjωN*=ω12+ω22ω22-ω12=1+2c1KAp2
Fig. 5는 앞의 진동 전달률과 힘 전달률 기준 최적 댐핑 관련 분석 결과를 나타낸 것이며, Table 1에 이를 정량화하여 정리하였다. Fig. 5Table 1에서 ωL*>ωN*, RN*>RL*, LjωL*=NjωN*의 관계를 얻을 수 있다.
Fig. 5

FRF |L()| & |N()| with optimal damping R*

KSPE_2022_v39n8_565_f005.jpg
Table 1

Summary of optimal damping design

Table 1
Displacement TR Force TR
T.F. ZsYs=Ls FtsFes=Ns
P.F ωL*=ω12+ω222 ωN*=2ω12ω22ω12+ω22
O.D. RL*=1c1ω1ω22ω12+ω22 RN*=1c11ω22ω12+ω222
M.V. LjωL*=NjωN*=ω12+ω22ω22-ω12

T.F.: Transfer Function P.F.: Peak FrequencyO.D.: Optimal Damping M.V.: Maximum ValueT.R.: Transmissibility

이와 같이 Fig. 5Table 1에서 차체 변위의 엔진 전달률과 엔진 가진력의 차체 전달률을 최소화하는 최적 댐핑은 서로 다르며, 주파수 특성도 차이가 있다. 따라서 엔진 마운트의 설계 목적에 따라 취사선택하거나 두 최적 댐핑 사이의 값을 적절히 선택할 수 있겠다.
또한 앞의 최적 댐핑 설계에서 적용한 가정, (1/C1)□ (1/C2) ≅ 0, 2 ≅ 0, ≅ 0에 오차가 큰 경우 수치해석에 기반한 댐핑값의 조정은 있을 수 있겠다.
Fig. 1의 유압 마운트가 최적 댐핑을 갖도록 유체의 점성 및 관성트랙의 기하학적 형상을 설계할 수 있다. 하지만 기하학적 제한조건 등으로 최적 댐핑을 구현하지 못할 경우 외부적인 작용에 의해 댐핑을 조정할 수 있다. 특히 설계한 댐핑이 최적 댐핑에 미치지 못할 경우 MR 댐퍼를 이용하여 최적 댐핑을 갖도록 실시간으로 제어할 수 있다. 여기서 MR 댐퍼는 유압 마운트 구조를 기본으로 하며, 기존의 유압유 대신 MR 유체를 사용하고, 상하챔버 사이 유체의 통로인 관성트랙에 자기장을 형성할 수 있는 구조를 갖는다[11-13].
Figs. 6은 1의 유압 마운트에서 관성트랙 대신 환형튜브(Annular Tube)를 설치하고, 튜브 내면과 외면에 전자석을 설치하여 코일 전류 변화를 통해 유체 유동부의 자기장을 조정한다.
Fig. 6

Flow through inertia track

KSPE_2022_v39n8_565_f006.jpg
MR 댐퍼의 동역학적 특성은 Bingham Plastic 모델로 단순화할 수 있으며, 이때 MR 유체의 마찰저항 Ff은 다음 식(17)로 표현할 수 있다[2,13,16,17].
(17)
Ff=FmrimrsgnQ+c0Q
여기서 c0는 MR 유체의 점성마찰계수, Q는 관성트랙을 통과하는 MR 유체의 유속이다. Fmr(imr)은 MR 댐퍼에서 MR 유체의 유동 통로에 자기장을 형성하는 코일의 전류가 imr일 때 MR 유체의 정지마찰력이다. 이 마찰력은 전류 imr에 의해 형성된 자기장의 크기에 따라 그 크기가 변한다. Fig. 6에서 유동 운동방정식은 식(18)로 쓸 수 있다.
(18)
P1-P2=IQ˙+RQ+FMR
단, MR 유체 마찰력은 쿨롱 마찰과 같은 특징을 갖는다. 즉, 식(18)식(19)로 나타낼 때
(19)
IQ˙=Fext-FMRFext=-RQ+P1-P2
MR 유체의 마찰력은 식(20)과 같이 유체의 유동이 발생하기 전까지는 정지마찰력, 유동이 발생하면 쿨롱 마찰 특성을 갖는다. 즉, 유로를 통과하는 유체에 작용하는 외력 Fext가 MR 유체의 마찰보다 작을 경우 MR 유체의 마찰력은 외력과 크기가 같고 방향이 반대로 작용하므로 유동은 일어나지 않는다.
(20)
FMR=minFext, Fmrimr×sgnFextfor Q=0FmrimrsgnQfor Q>0
유동이 발생할 때 유량방정식은 식(21)과 같으며,
(21)
P1-P2=IQ˙+RQ+FmrimrAisgnQ
식(3)식(21)을 이용하여 식(22)의 운동방정식을 유도할 수 있다.
(22)
IP¨2+RP˙2+1c1+1c2P2=-Apc1c2z-FmrimrAic2sgnQMz¨+Bz˙+K-Ap2c1z=-My¨-c2Apc1P2+Fe
식(1)에서 QP˙2 의 부호는 같으므로 식(22)의 첫 번째 압력방정식에서 MR 댐퍼의 마찰력이 식(23)과 같으면 식(24)와 같이 최적 댐핑을 갖는 압력방정식을 얻게 된다.
(23)
FmrimrAic2=R* -RP˙2
(24)
IP¨2+R*P˙2+1c1+1c2P2=-Apc1c2z
Table 1식(10)에서 두 고유진동수는 ω1 = 13.03 Hz, ω2 = 18.22 Hz이므로 최적 댐핑 설계 방법을 적용한 주요 파라미터는 Table 3과 같이 결정된다.
식(23)에서 하부챔버의 압력은 대기압 수준에서 큰 변화가 없으므로 실제 적용 시 압력의 높은 측정정밀도가 필요하다. 반면 상부챔버의 압력은 평균압력이 높고 압력의 변화도 크므로 하부챔버의 압력 측정에 비해 용이한 장점이 있다. 상하부챔버의 압력의 관계는 식(1)에서 c1P˙1+c1P˙2=-Apz˙이므로 이를 이용하여 식(23)을 다시 쓰면 식(25)에서 상부챔버의 압력변화율과 차체와 엔진 사이의 상대속도를 측정하고 되먹임하여 최적 댐핑을 갖는 제어를 할 수 있다. 즉 식(25)가 최적 댐핑 제어기가 된다.
(25)
Fmrimr=-AiR*-Rc1P˙1+Apz˙
앞에서 제안한 최적 댐핑 제어 알고리즘의 타당성을 검증하기 위해 시뮬레이션을 실시하였으며, 시뮬레이션에 사용한 MR 마운트의 파라미터는 Tables 23과 같다. Figs. 7(a)7(b)는 각각 비제어 시와 최적 댐핑 제어 적용 시 L()의 크기, N()의 크기이며, Table 3의 결과와 일치한다. L()와 N()는 비제어 시의 크기와 최적 댐핑 제어 시의 크기가 만나는 주파수에서 최댓값을 가지며, 그 이상의 주파수에서는 최적 댐핑 제어의 크기가 오히려 더 커진다. 이는 Figs. 23에서의 결과와 일치함을 알 수 있다. Fig. 7은 주파수 영역에서 해석한 것이므로, 시간 영역에서 그 성능을 확인하기 위해 응답 특성을 MatLab/Simulink를 이용하여 시뮬레이션 하였다. 우선 진동 전달률을 분석하기 위해 차체의 변위는 Fig. 8과 같이 진폭이 1 mm로 일정하고, 주파수는 30초 동안 0.0-30 Hz 범위에서 선형으로 증가하는 Chirp 신호를 가정하였다. 따라서 Fig. 8x축 값은 시간 초(s)와 아울러 주파수 Hz를 나타낸다. 이 시간과 주파수 관계는 뒤의 Figs. 910에서도 동일하다.
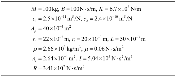
Table 2

System parameters for simulation

KSPE_2022_v39n8_565_t002.jpg
Table 3

System parameters

Table 2
Displacement TR Force TR
P.F. [Hz] ωL*=15.84 ωN*=14.99
O.D. RL*=2.875×108 RN*=3.038×108
M.V. LωL*=NωN*=3.09

P.F.: Peak Function T.R.: TransmissibilityO.D.: Optimal Damping M.V.: Maximum Value

Fig. 7

(a) Magnitude of L(), and (b) Magnitude of N() w/ and w/o optimal damping control

KSPE_2022_v39n8_565_f007.jpg
Fig. 8

Vehicle displacement

KSPE_2022_v39n8_565_f008.jpg
Fig. 9

Displacement transmission ratio w/ and w/o optimal damping control

KSPE_2022_v39n8_565_f009.jpg
Fig. 10

Control input force of optimal damping control

KSPE_2022_v39n8_565_f010.jpg
Fig. 8과 같이 차체가 진동할 때 제어하지 않은 경우와 식(25)의 최적 댐핑 제어를 적용한 경우 차체와 엔진의 상대변위를 구하였다. 여기서는 MR 유체의 동력학적 관계는 단순화하여 MR 전류에 비례하는 식(25)의 마찰력이 발생하는 것으로 가정하였다. 실제 Bingham Plastic 모델의 마찰력은 가하는 전류에 의한 포화응력에 해당되며 전류의 변화에 따른 포화응력 속응성은 MR 유체의 용매와 상자성 입자의 물리적 특성과 자기장 형성 장치의 특성에 따라 달라질 수 있으나 본 연구에서는 포화응력 도달까지의 시간 지연은 무시하였다.
Figs. 9는 시뮬레이션 결과를 진동 전달률로 나타낸 것으로 Figs. 7(a)의 주파수 영역에서의 해석 결과와 같이 최적 댐핑 제어를 통해 진동 전달률의 H-노옴을 감소시킬 수 있음을 확인할 수 있다. 또한 고주파 영역에서는 최적 댐핑 제어의 진동 전달률이 비제어 시에 비해 큰 특징이 일치함을 확인할 수 있다. Fig. 9에서 제어하지 않았을 경우 진동 전달률의 최대 크기는 13.36로 FRF 분석에서 구한 13.26보다 약간 큰 결과인데, 이는 입력신호가 FRF 분석에서와 달리 주파수가 시간에 따라 변화하는 Chirp 신호이며, 또한 수치해석에서 발생하는 오차로 분석된다. 최적 댐핑제어를 적용했을 때 진동 전달률의 최대 크기는 3.32로, Table 3의 이론적으로 구한 3.09보다 약간 큰 값을 보였는데, 이는 Table 3에서는 선형계로 가정한 값이며, 시뮬레이션에서는 식(20)의 MR 유체의 비선형적 요소를 고려하였기 때문으로 분석된다.
이 결과로부터 진동 전달률의 H-노옴은 최적 댐핑제어를 통해 제어하지 않았을 때의 약 25% 수준으로 감소됨을 확인하였다.
Fig. 10은 최적 댐핑 제어 적용 시, 식(25)의 제어입력으로 주파수 ωL*=15.84 Hz에서 최댓값을 갖는다. 다음으로 최적 댐핑 제어를 적용한 H 경우 엔진의 가진력이 차체에 전달되는 힘을 구하였다. Fig. 11은 가정한 엔진의 가진력으로 크기가 1,000 N, 주파수는 30초 동안 0.0-30 Hz 범위에서 선형으로 증가하는 Chirp 신호이다.
Fig. 11

Excitation force of engine

KSPE_2022_v39n8_565_f011.jpg
따라서 Fig. 11x-축 값은 시간 초(s)와 아울러 주파수 Hz를 나타낸다. 이 시간과 주파수 관계는 Figs. 1213에서도 동일하다.
Fig. 12

Force transmission ratio w/ and w/o optimal damping control

KSPE_2022_v39n8_565_f012.jpg
Fig. 13

Control input force of optimal damping control

KSPE_2022_v39n8_565_f013.jpg
Figs. 1211의 엔진 가진력의 차체 전달력 시뮬레이션 결과를 힘 전달률로 나타낸 것으로, 7(b)의 주파수 영역에서의 해석결과와 같이 최적 댐핑 제어를 통해 힘 전달률의 H-노옴을 감소시킬 수 있음을 확인할 수 있다. 또한 고주파 영역에서는 최적 댐핑 제어의 힘 전달률이 비제어 시에 비해 큰 특징 또한 일치함을 확인할 수 있다. Fig. 12에서 제어하지 않았을 경우 전달률의 최대 크기는 13.25로 FRF 분석에서 구한 13.26과 거의 같은 결과를 보였다. 최적 댐핑 제어를 적용했을 때 전달률의 최대 크기는 2.99로 Table 3의 이론적으로 구한 3.09보다 약간 작은 값을 보였는데, 이는 앞에서와 같이 식(20)의 MR 유체의 비선형적 요소와 수치해석에서 발생하는 오차 요인 때문으로 분석된다. 이 결과로부터 힘 전달률의 H-노옴은 최적 댐핑 제어를 통해 제어하지 않았을 때의 약 23% 수준으로 감소시킬 수 있음을 확인하였다. Fig. 13은 최적 댐핑 제어 적용 시 식(25)의 제어입력으로 주파수 ωN*=14.99 Hz에서 최댓값을 갖는다.
차량의 엔진 마운트는 승차감 측면에서 저주파 외란에 대해서는 높은 강성과 높은 감쇠, 고주파 외란에 대해서는 낮은 강성과 낮은 감쇠가 요구되는 서로 상반되는 조건을 만족해야 한다. 이 요구 조건을 만족시킬 수 있는 해석적 방법으로 H-노옴을 최소화하는 최적 댐핑 설계 방법을 제안하였으며, 이를 MR 마운트에서 실시간 제어를 통해 구현하는 방법을 제시하였다. 제안한 방법의 적용 가능성과 성능을 MatLab/Simulink를 이용한 시뮬레이션을 통해 분석하였으며, 수동 마운트에 비해 진동전달률과 힘 전달률을 개선할 수 있음을 검증하였다.
  • 1.
    Lee, D.-Y., Sohn, J.-W., Choi, S.-B., (2009), A new type of active engine mount system featuring MR fluid and piezostack, Transactions of the Korean Society for Noise and Vibration Engineering, 19(6), 583-590.
    10.5050/KSNVN.2009.19.6.583
  • 2.
    Ciocanel, C., Schroeder, C., Elahinia, M. H., (2008), Performance evaluation of a semi-active magnetorheological mount, SAE Technical Paper.
    10.4271/2008-01-0429
  • 3.
    Mansour, H., (2010), Design and development of active and semi-active engine mounts, M.Sc. Thesis, Simon Fraser University.
  • 4.
    Rasekhipour, Y., Ohadi, A., (2011), Evaluating vibration performance of a semi-active MR engine mount, Proceedings of the 2nd International Conference on Control, Instrumentation and Automation, 90-95.
    10.1109/ICCIAutom.2011.6356636
  • 5.
    Park, J. H., Do, X. P., Nguyen, Q. H., Kang, O. H., Choi, S.-B., (2013), Optimal design of magnetorheological mount for ship engines: maximum damping force, Transactions of the Korean Society for Noise and Vibration Engineering, 23(5), 472-478.
    10.5050/KSNVE.2013.23.5.472
  • 6.
    Elahinia, M., Ciocanel, C., Wang, S., (2013), MR-and ER-based semiactive engine mounts: A review, Smart Materials Research, 831017.
    10.1155/2013/831017
  • 7.
    Türkücü, T., Keleş, Ö., (2018), Magneto-rheological engine mount design and experimental characterization, Journal of Mechanical Science and Technology, 32(11), 5171-5178.
    10.1007/s12206-018-1015-y
  • 8.
    Ahn, Y. K., Yang, B.-S., Ahmadian, M., Morishita, S., (2005), A small-sized variable-damping mount using magnetorheological fluid, Journal of Intelligent Material Systems and Structures, 16(2), 127-133.
    10.1177/1045389X05048041
  • 9.
    Choi, S.-B., Seong, M.-S., Ha, S.-H., (2009), Vibration control of an MR vehicle suspension system considering both hysteretic behavior and parameter variation, Smart Materials and Structures, 18(12), 125010.
    10.1088/0964-1726/18/12/125010
  • 10.
    Barber, D. E., Carlson, J. D., (2010), Performance characteristics of prototype MR engine mounts containing glycol MR fluids, Journal of Intelligent Material Systems and Structures, 21(15), 1509-1516.
    10.1177/1045389X09351957
  • 11.
    Seong, M.-S., Choi, S.-B., Kim, C.-H., (2011), Design and performance evaluation of MR damper for integrated isolation mount, Journal of Intelligent Material Systems and Structures, 22(15), 1729-1738.
    10.1177/1045389X11421820
  • 12.
    Sung, M. S., (2013), Tiny vibration control of ultra-precision stage using MR damper, Ph.D. Thesis, Inha University.
  • 13.
    Shirazi, F. A., Mohammadpour, J., Grigoriadis, K. M., Song, G., (2011), Identification and control of an MR damper with stiction effect and its application in structural vibration mitigation, IEEE Transactions on Control Systems Technology, 20(5), 1285-1301.
    10.1109/TCST.2011.2164920
  • 14.
    Kim, S. H., Yoon, D. S., Choi, S. B., (2017), A design for improvement vibration comfort of wheel loader cabin MR mount, Proceedings of the Korean Society for Fluid Power & Construction Equipment Conference, 110-116.
  • 15.
    Lee, H. H., Choi, S. B., (2001), Vibration control of an engine mount featuring MR fluid, Proceedings of the Korean Society for Noise and Vibration Engineering Annual Autumn Conference, 213-218.
  • 16.
    Bingham, E. C., (1922), Fluidity and plasticity, McGraw-Hill.
  • 17.
    Bingham, E. C., Green, H., (1919), Plastic material and not a viscous liquid; The measurement of its mobility and yield value, Proceedings of the American Society for Testing Materials, 20(2), 640-675.
Tae Woong Ha
KSPE_2022_v39n8_565_bf001.jpg
Professor in the Department of Mechanical Engineering, Gachon University. His research interests include dynamic behavior of rotating machinary and vibration problems of system.
Min Sig Kang
KSPE_2022_v39n8_565_bf002.jpg
Professor in the Department of Mechanical Engineering, Gachon University. His research interest is dynamic systems & control.

Download Citation

Download a citation file in RIS format that can be imported by all major citation management software, including EndNote, ProCite, RefWorks, and Reference Manager.

Format:

Include:

Optimal Damping Control of Engine Mount and It’s Application to MR Mount
J. Korean Soc. Precis. Eng.. 2022;39(8):565-573.   Published online August 1, 2022
Download Citation

Download a citation file in RIS format that can be imported by all major citation management software, including EndNote, ProCite, RefWorks, and Reference Manager.

Format:
Include:
Optimal Damping Control of Engine Mount and It’s Application to MR Mount
J. Korean Soc. Precis. Eng.. 2022;39(8):565-573.   Published online August 1, 2022
Close

Figure

  • 0
  • 1
  • 2
  • 3
  • 4
  • 5
  • 6
  • 7
  • 8
  • 9
  • 10
  • 11
  • 12
Optimal Damping Control of Engine Mount and It’s Application to MR Mount
Image Image Image Image Image Image Image Image Image Image Image Image Image
Fig. 1 Hydraulic mount and its dynamic model
Fig. 2 FRF L(jω) with various friction R
Fig. 3 FRF N(jω) with various friction R
Fig. 4 FRF |L(jω)| with optimal damping RL*
Fig. 5 FRF |L(jω)| & |N(jω)| with optimal damping R*
Fig. 6 Flow through inertia track
Fig. 7 (a) Magnitude of L(jω), and (b) Magnitude of N(jω) w/ and w/o optimal damping control
Fig. 8 Vehicle displacement
Fig. 9 Displacement transmission ratio w/ and w/o optimal damping control
Fig. 10 Control input force of optimal damping control
Fig. 11 Excitation force of engine
Fig. 12 Force transmission ratio w/ and w/o optimal damping control
Fig. 13 Control input force of optimal damping control
Optimal Damping Control of Engine Mount and It’s Application to MR Mount
Displacement TR Force TR
T.F. Z s Y s = L s F t s F e s = N s
P.F ω L * = ω 1 2 + ω 2 2 2 ω N * = 2 ω 1 2 ω 2 2 ω 1 2 + ω 2 2
O.D. R L * = 1 c 1 ω 1 ω 2 2 ω 1 2 + ω 2 2 R N * = 1 c 1 1 ω 2 2 ω 1 2 + ω 2 2 2
M.V. L j ω L * = N j ω N * = ω 1 2 + ω 2 2 ω 2 2 - ω 1 2
Displacement TR Force TR
P.F. [Hz] ω L * = 15.84 ω N * = 14.99
O.D. R L * = 2.875 × 10 8 R N * = 3.038 × 10 8
M.V. L ω L * = N ω N * = 3.09
Table 1 Summary of optimal damping design

T.F.: Transfer Function P.F.: Peak FrequencyO.D.: Optimal Damping M.V.: Maximum ValueT.R.: Transmissibility

Table 2 System parameters for simulation
Table 3 System parameters

P.F.: Peak Function T.R.: TransmissibilityO.D.: Optimal Damping M.V.: Maximum Value