Skip to main navigation Skip to main content
  • E-Submission

JKSPE : Journal of the Korean Society for Precision Engineering

OPEN ACCESS
ABOUT
BROWSE ARTICLES
EDITORIAL POLICIES
FOR CONTRIBUTORS
REGULAR

파킨슨병 환자의 임상평가척도와 관성신호 특성 간 상관성 분석

Correlation Analysis between Clinical Rating Scales and Inertial Signal Features in Parkinson’s Disease Patients

Journal of the Korean Society for Precision Engineering 2023;40(7):553-561.
Published online: July 1, 2023

1 중앙보훈병원 보장구센터

2 중앙보훈병원 재활의학과

1 Prosthetics & Orthotics Center, VHS Medical Center

2 Rehabilitation Medicine, VHS Medical Center

#E-mail: s2ellove@bohun.or.kr, TEL: +82-2-2225-1855
• Received: December 21, 2022   • Revised: May 8, 2023   • Accepted: May 9, 2023

Copyright © The Korean Society for Precision Engineering

This is an Open-Access article distributed under the terms of the Creative Commons Attribution Non-Commercial License (http://creativecommons.org/licenses/by-nc/3.0) which permits unrestricted non-commercial use, distribution, and reproduction in any medium, provided the original work is properly cited.

  • 24 Views
  • 1 Download
prev next
  • In this study, the Inertial Measurement Unit (IMU) signals and clinical evaluation scales for Parkinson's disease were correlated. The study included 16 patients diagnosed with Parkinson's disease. Each subject was evaluated based on Korean Mini-Mental State Examination (KMMSE), Unified Parkinson's Disease Rating Scale (UPDRS) part 3, New Freezing of Gait Questionnaire (NFOGQ) parts 2 & 3, and Hoehn & Yahr Scale (H&Y). All subjects performed the Time Up and Go test by attaching IMU sensors to both ankles and torso. Based on the tilting angle of torso and the time of first step, the freezing and non-freezing windows were determined. Seven IMU features involving the ankle signals were calculated in the specific window. Spearman’s correlation analysis of clinical evaluation scales was performed. As a result, the freezing index and power of locomotion band (0.3-3 Hz) were recommended to determine UPDRS part 3. Also, the intensity of the locomotion band facilitated evaluation of NFOGQ part 3 regardless of freezing of gait.
관성 센서(Inertial Measurement Unit, IMU)는 일반적으로 외부로부터 발생되는 가속도 및 각속도를 측정하며 비교적 작은 크기로 로봇 및 운행 제어, 위치추적 등 다양한 분야에 사용되고 있다[1]. 최근 반도체 기술의 발달로 인하여 소형화 제작이 가능해졌기에 모바일 또는 웨어러블 장비에 탑재되어 일상생활을 평가하는 자료로서 활용된다. 그 중, 관성 센서를 활용한 운동역학적 분석은 신체 분절의 기울기 또는 각도 등을 측정하는 데에 이루어지며 그 범위는 보행 평가[2]로부터 의도 인식 및 제어[3]까지 다양한 분야에 걸쳐있다.
특히, 인체에 착용 가능한 관성 센서의 특성은 보행에서 발생하는 여러 변인들과의 관계를 탐구할 수 있다. 대표적으로는 측정된 신호로부터 역치 값을 이용하여 보행의 단계 및 유무를 검출하는 사례[4]와 알고리즘을 바탕으로 낙상의 위험도를 검출하는 사례[5], 신호의 특성을 바탕으로 일상생활의 수행능력을 분석하는 연구[6]들이 활발히 이루어지고 있다. 게다가 최근 인공신경망과 같은 머신러닝을 활용한 방법들이 다양하게 소개[7]되면서 이를 활용한 연구는 활발히 진행되는 추세이다.
한편, 국내 파킨슨병 환자의 수는 2017년 약 10만 명으로 이후 꾸준히 증가하여 2021년 기준 약 11만 7천명으로 지속적인 증가추세를 보이고 있다[8]. 파킨슨병은 뇌의 신경세포에 영향을 미쳐 근육운동을 조절하는 뇌의 기능을 저하시킨다[9]. 파킨슨병의 대표적인 병적 증상인 동결 보행은 초기 보행에서 떨림이 발생하거나 경직이 되는 등 자세 불안정을 야기해 낙상의 위험을 일으킬 가능성이 있다[10].
이러한 동결보행으로 인한 문제 해소를 위해 여러 연구들이 이루어져 오고 있으며, 이 중 관성 선서를 활용한 연구의 경우 동결 보행 검출을 위한 연구들이 주를 이루고 있다[11]. 이는 파킨슨병 환자의 동결 보행 발현 시, 적절한 시점에 외부 자극을 가해주어 동결 보행을 완화 또는 해소시키고자 하는 것을 목적으로 한다. 그 뿐 아니라 낙상의 위험 지표와 연관지어 보행 시의 운동 수행능력을 확인하고 이를 바탕으로 동결 보행이 주로 나타나는 환경과 시점을 예측[12]하는 데에 활용되기도 한다.
이 또한 다른 분야와 유사하게, 머신 러닝을 활용한 사례들이 활발히 연 있다. 이러한 연구들은 측정된 관성 신호들을 바탕으로 다양한 특성 값의 연산을 통해 시작한다[13,14]. 이 특성 값들은 평균값과 표준편차 등의 시간도메인뿐 아니라 주파수 도메인에서의 특정 스펙트럼과 같은 값들도 포함한다. 특성 값의 선정은 분류기의 성능에 영향을 미치기 때문에 그 선택은 매우 중요하다[14,15]. 그러나, 파킨슨병 환자를 대상으로 관성 센서를 활용한 연구들은 주로 운동 수행을 통해 역학적으로 나타나는 결과들을 탐구하였지만, 실제 임상에서 사용되고 있는 평가 도구로서 활용한 사례는 크게 발견되지 않는다.
파킨슨병의 질병 척도는 환자의 중증도를 파악하는 지표이면서, 환자의 운동 능력을 투영한다. 파킨슨병의 중증 정도를 가늠하는 임상적 지표들은 주로 보행이나 손뼉치기 등의 운동을 수행하거나 설문조사를 통해 진행된다. Roller 등[16]은 임상 지표 중 하나인 Hoehn-Yahr (H&Y) 지표와 낙상과의 상관성을 분석하였으며, Sufuwa 등[17]은 3차원 동작 분석을 통해 파킨슨병 환자대상의 하지 분절의 힘과 보행속도와의 상관성에 관한 연구를 발표하였다. Zampieri 등[18]은 Unified Parkinson’s Disease Rating Scale (UPDRS)과 보행속도와의 상관성을 분석하였으며, Plotnik 등[19]은 파킨슨병 환자 보행에서 집중수행능력에 따른 보행 파라미터의 변화를 평가하였다. 그러나 이러한 임상 지표와의 상관성 연구는 3차원 동작 분석 및 보행 파라미터를 통해 환자의 운동수행 능력과 비교하였을 뿐 관성 신호의 특성에 초점을 맞춘 분석은 언급되지 않았다. 또한, 관성 센서를 활용한 파킨슨병 환자 대상의 연구에서는 모집된 피험자에 대한 임상 지표를 제시하고 있으나, 이는 피험자의 정보로만 제시되었을 뿐 두값 사이의 연관성은 분석되지 않았다. 따라서, 본 연구에서는 파킨슨병 환자를 대상으로 진단에 사용되는 임상 지표와 관성 센서의 특성 값들을 연산하여 그 상관관계를 확인하고자 한다.
2.1 환자 모집 및 임상 데이터 취득
본 연구를 위하여 총 16명의 피험자가 참여하였다. 각 피험자는 실험에 참여하기 전, 중앙보훈병원 윤리심의위원회로부터 승인을 받은 내용을 바탕으로 동의서를 취득하였으며, 이후 전문가 참여하에 파킨슨병의 임상 평가지표(인지정서상태, 전체적인 운동수행능력, 신체장애정도, 동결 보행 발생빈도, 동결 보행에 대한 인식)에 대한 조사를 수행하였다(승인번호: BOHUN 2021-03-018-008).
본 연구에 참여한 피험자는 실험 참여 이전 24시간 동안 약물을 복용하지 않았으며, 본 연구에서 취득한 임상 평가지표는 한국판 간이정신상태(Korean Mini Mental State Examination, KMMSE), UPDRS part 3, H&Y, New Freezing of Gait Questionnaire (NFOGQ)의 part 2와 part 3로 총 5가지 항목에 조사하였으며 각 피험자의 정보는 Table 1에 기술하였다.
Table 1

Patients’ information

Table 1
No. Age [yr] Height [cm] Weight [kg] Duration [yr] KMMSE UPDRS Part 3 H&Y NFOGQ
Part 2 Part 3
1 70 170 64 7 26 74 4 15 7
2 80 166 66 9 21 48 3 17 7
3 77 165 57 11 24 41 3 16 6
4 75 164 79 7 28 41 2 11 5
5 76 162 58 9 21 85 2 19 9
6 81 160 56 21 20 81 4 19 9
7 75 165 58 16 26 55 2 10 7
8 74 166 68 4 13 68 3 16 8
9 76 168 74 7 27 74 3 17 9
10 75 170 67 2 28 63 3 17 8
11 68 147 48 6 23 81 3 11 8
12 76 155 62 2 27 50 2 9 3
13 77 167 67 5 24 57 2 19 7
14 75 169 73 1 25 58 2 12 8
15 74 169 76 3 25 72 2 9 4
16 76 170 73 2 22 86 4 10 6
Mean 75.31 164.71 65.58 7.44 23.75 64.63 2.75 14.19 6.94
Std. 3.04 6.20 8.43 5.33 3.70 14.69 0.75 3.66 1.71
KMMSE [20,21]은 환자의 인지정서상태를 검사하는 항목으로 총 30점 문항의 질문을 통해 평가를 진행하였다. KMMSE는 시간(5), 장소(5), 기억 등록 및 회상(6), 계산(5), 언어(8), 시공간 구성(1)의 평가를 통하여 계산되었다.
UPDRS [22]는 International Parkinson and Movement Disorder Society로부터 파킨슨병의 환자에 대해 질병 정도를 측정하기 위한 척도로서 1987년에 제시되었다.
UPDRS는 4가지 파트(part 1: 일상생활에서의 비운동성 증상 경험, part 2: 일상에서의 운동 경험, part 3: 운동성 검사, part 4: 운동성 합병증)로 구성되어 있으나, 본 연구에서는 UPDRS part 3를 통해 파킨슨병 환자의 운동성을 확인하였다. 18가지의 말하기, 박수치기, 걷기 등 행동에 대하여 각각 Normal(0), Slight(1), Mild(2), Moderate(3), Severe(4)로 평가하였으며, 그 총합을 통해 전체적인 운동수행능력을 평가하였다.
H&Y [23]는 신체의 장애 정도를 1가지 지표를 통해 0에서 5점의 상태를 기재하였다: 증상이 없음(0), 한쪽만 문제됨(1), 두쪽 다 문제지만 균형을 일지는 않음(2), 약간 문제가 되며 안정성이 부족하나 독립적으로 움직임(3), 심각한 장애이지만 도움 없이 걷거나 서있을 수 있음(4), 도움이 없이는 휠체어를 사용하거나 침대에서 지냄(5).
NFOGQ [24]은 3가지 파트로 구성되어 있으나, 첫 파트에서는 동결 보행의 경험 유무만을 조사하였으며 모든 환자에게서 동결 보행의 경험이 존재하였다. NFOGQ part 2에서는 동결 보행을 경험했던 횟수와 발생빈도를 측정하는 6가지 질문을 통해 각 0-3점의 점수를 기록하였으며, NFOGQ part 3에서는 동결 보행 발현 시 방해를 주는 정도 및 불안감 등의 3가지 항목을 0-3점으로 평가하여 일상생활에 미치는 동결 보행에 대한 인식을 평가하였다.
2.2 보행 데이터 및 관성 신호 특성 연산
보행 실험은 파킨슨병 환자의 시각적 부담을 완화하기 위해 바닥에 무늬가 없는 장판을 설치한 환경에서 진행하였다. 각 피험자는 양 발목과 체간(T7)에 3개의 관성 센서(MTw Awinda, Xsens, Netherlands)를 부착하였으며(Fig. 1), 의자에서 기립 후 약 3 m 구간의 보행을 각 3회씩 진행하였다. 실험이 진행되는 동안 환자의 체간과 양측 발목으로부터 100 Hz의 3축 가속도 및 각속도를 측정하였다.
Fig. 1

IMU sensor attachment

KSPE_2023_v40n7_553_f001.jpg
본 연구에서는 16명 파킨슨병 환자의 보행 데이터로부터 다음과 같은 기준 하에 정상 보행을 판별하였다: 1) 기립 후 5초 이내 출발; 2) 첫걸음의 주기는 0.3 s 이상(Locomotion Band, 0.3 Hz) [25]; 3) 양 발의 4 Steps 이상 보행 진행. 위의 3가지 기준에 부적합한 보행은 동결 보행이 발현된 환자군으로 선정하였다. 동결 보행의 발현 유무는 실험 영상 및 전문의의 판단을 통해 검토를 진행하였다. 동결 보행의 증상은 정지 또는 떨림 등 세부적으로 분류 가능하나 본 연구에서는 동결 보행의 유무만을 기준으로 구분하였다.
관성 신호의 특성 값은 피험자를 세 가지 집단으로 분류하여 연산을 진행하였으며 별도의 주파수 필터링은 진행되지 않았다: 1) 피험자 전체 집단, 2) 동결 보행 발현 집단(Freezing of Gait, FoG), 3) 동결 보행 미발현 집단(Non-freezing of Gait, nFoG). 체간의 관성 신호로부터 기울기 연산을 통해 기립 시점을 기록하였고 그로부터 발목 가속도의 Peak 시점을 통해 첫 번째 초기접지기가 일어나는 순간을 판별하였다. 특성 값은 발목에서 측정한 관성신호로부터 연산을 진행하였다. 연산을 위한 윈도우는 피험자의 전체 집단과 nFoG 집단에 대해 첫 초기접지 이후 4초간의 윈도우에서 연산을 진행하였으며, FoG 집단의 경우 기립 시간부터 첫 초기 접지기까지의 시간을 윈도우로 설정하였다(Fig. 2). 특성 값들은 선행 논문 및 보행분석에서 주로 사용되는 값들로 중력 방향의 가속도와 시상면의 각속도로부터 시간 영역에서 4개, 주파수 영역에서 3개를 선정하였으며 다음과 같이 기술된다(Table 2).
Fig. 2

Window segmentation in IMU signals

KSPE_2023_v40n7_553_f002.jpg
Table 2

Features of IMU signal

Table 2
Mean Acc Mean of acceleration within given window in gravity axis1ni=1nAcc-yi
Mean Ang Mean of angular velocity within given window in sagittal plane1ni=1nAng-xi
Mean Acc Mean of acceleration within given window in gravity axis i=1nAcc-yi-Acc-y¯2n
Std. Ang Standard deviation of angular velocity in given window in sagittal planei=1nAng-xi-Ang-y¯2n
LBP Ratio of signal power in locomotion band (0.3-3 Hz)
FBP Ratio of signal power in freeze band (3-8 Hz)
FI  Area under the PSD curve in freeze band  Area under the PSD curve in locomotion band 

Notes: Acc = Acceleration; Ang = Angular velocity;

LBP = Locomotion band power; FBP = Freezing band power;

FI = Freezing index; PSD = Power spectral density

2.3 상관 분석
신호들은 7개의 특성 값으로 연산되어, 각 임상 지표와 상관계수의 연산을 진행하였다. 상관계수의 연산은 크게 선형 관계를 의미하는 Pearson 계수와 단조 관계를 의미하는 Spearman 계수가 있다. 본 연구에서는 임상 스케일의 특성상 비연속적인 데이터와의 관계를 확인하고자 Spearman 계수를 이용하여 두 변수간의 단조 관계를 확인하였으며 그 수식은 식(1)과 같다(ρ = Spearman 상관 계수, D = 두 관측 값의 등급 차이, n = 관측 값의 수). 상관성 분석은 피험자 전체 집단과, FoG 집단 및 nFoG 집단으로 나누어 총 3개의 집단에 대해 분석을 진행하였으며, p-value < 0.05를 기준으로 유의한 상관관계를 분류하였다. 관성 신호의 특성과 임상 지표 간의 상관관계와 관련된 모든 연산은 MATLAB 2018b (Mathworks, USA)를 통해 진행하였다.
(1)
ρ=1-6ΣD2nn2-1
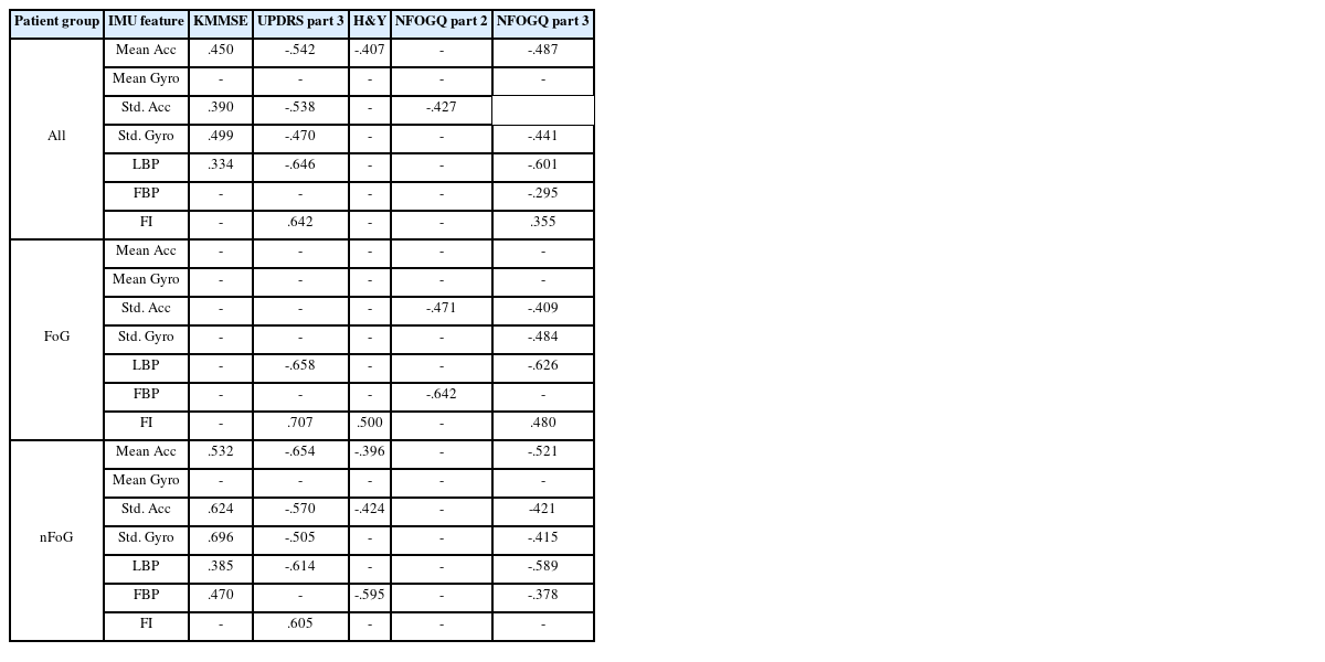
본 연구에서는 임상에서 사용하는 파킨슨병의 중증도를 평가하는 임상 지표와 관성 센서의 특성 값 간의 Spearman 상관 계수를 통해 상관성을 확인하였으며, p-value < 0.05를 기준으로, 유의한 결과를 Table 3에 나타내었다.
Table 3

Spearman’s correlation coefficient between IMU features and clinical rating scale (p-values < 0.05)

Table 3
Patient group IMU feature KMMSE UPDRS part 3 H&Y NFOGQ part 2 NFOGQ part 3
All Mean Acc .450 -.542 -.407 - -.487
Mean Gyro - - - - -
Std. Acc .390 -.538 - -.427
Std. Gyro .499 -.470 - - -.441
LBP .334 -.646 - - -.601
FBP - - - - -.295
FI - .642 - - .355
FoG Mean Acc - - - - -
Mean Gyro - - - - -
Std. Acc - - - -.471 -.409
Std. Gyro - - - - -.484
LBP - -.658 - - -.626
FBP - - - -.642 -
FI - .707 .500 - .480
nFoG Mean Acc .532 -.654 -.396 - -.521
Mean Gyro - - - - -
Std. Acc .624 -.570 -.424 - -421
Std. Gyro .696 -.505 - - -.415
LBP .385 -.614 - - -.589
FBP .470 - -.595 - -.378
FI - .605 - - -
3.1 피험자 전체 집단
전체 피험자 대상의 관성 신호와 임상 평가척도와의 상관 계수를 통해 시간 영역의 특성 값들과 10개 쌍의 유의한 상관관계를 확인하였으며, 주파수 영역의 특성 값들과는 6개 쌍의 유의한 상관관계를 확인하였다.
시간 영역의 특성에서 Mean Acc는 NFOGQ part 2를 제외한 모든 지표들과 상관성이 나타났으며, Mean Ang는 어떠한 지표와도 상관성이 드러나지 않았다. Std. Acc와 Std. Ang는 KMMSE, UPDRS part3, NFOGQ part 3와 상관성이 드러났다. 그 중 |ρ| > 0.5의 강한 상관관계는 Mean Acc와 UPDRS part 3(ρ = -0.542), Std. Acc와 UPDRS part 3( = -0.538)에서 나타났다.
주파수 영역의 특성에서 LBP는 KMMSE, UPDRS part3, NFOGQ part 3와 상관성이 나타났으며, FBP는 NFOGQ part 3와 상관성이 드러났다. FI는 UPDRS part 3와 NFOGQ part 3와 상관성이 드러났다. 그 중 |ρ| >0.5의 강한 상관관계는 LBP와 UPDRS part3(ρ = -0.646), LBP와 NFOGQ part 3(ρ = -0.601) 및 FI와 UPDRS part 3(ρ = 0.642)에서 확인되었다.
3.2 동결 보행 발현 집단
16명의 피험자대상의 총 48번의 실험 중에서 18번(10명)의 동결 보행이 관찰되었다. FoG 집단에서 시간 영역의 특성 값들은 3개 쌍의 유의한 상관관계를 나타내었으며, 주파수 영역에서는 6개 쌍의 유의한 상관관계를 나타내었다.
시간 영역의 특성 값들 중 Mean Acc와 Mean Ang는 어떠한 임상 평가 지표와 상관성을 보이지 않았다. 반면, Std. Acc는 NFOGQ part 2와 part 3에서 상관성을 보였으며, Std. Ang는 NFGOQ part 3와 상관성을 보였다.
주파수 영역의 특성 값들 중 LBP는 UPDRS part 3(ρ = -0.658)와 NFOGQ part 3(ρ = -0.626)에서 강한 상관관계를 나타내었으며, FBP는 NFOGQ part2(ρ = -0.642)와 강한 상관관계를 나타내었다. FI는 UPDRS part 3(ρ = 0.707) 및 H&Y (ρ = 0.500)와 강한 상관관계를 나타내었으며, NFOGQ part 3와 유의한 상관성을 보였다.
3.3 동결 보행 미발현 집단
nFoG 집단에서 관성 신호의 특성과 임상 평가 지표 간의 상관성은 다음과 같다. 시간영역에서는 11개 쌍의 유의한 상관관계를 보였으며, 주파수 영역에서는 7개 쌍의 유의한 상관관계를 나타내었다.
Mean Acc과 Std. Acc는 NFOGQ part 2를 제외한 모든 지표와 상관관계를 나타내었다. Mean Ang의 경우 어떠한 지표와도 상관성이 드러나지 않았으나, Std. Ang에서 KMMSE, UPDRS part 3, NFOGQ part 3와 유의한 상관관계를 나타내었다. 그중 KMMSE와 UPDRS part 3는 3가지 관성 신호의 시간 영역 특성과 |ρ| > 0.5의 강한 상관관계를 나타내었으며, NFOQG part 3는 Mean Acc (ρ = -0.521)와 강한 상관관계를 나타내었다.
주파수 영역의 특성에서 LBP는 KMMSE, UPDRS part 3(ρ = -0.614), NFOGQ part 3(ρ = -0.589)와 상관성을 드러내었다. FBP는 KMMSE, H&Y (ρ = -0.595), NFOGQ part 3와 유의한 상관관계를 나타내었으나, FI는 UPDRS part 3(ρ = 0.605)와 강한 상관관계를 나타내었다.
4.1 임상 평가 척도
본 연구에서 사용한 임상 평가 항목 및 내용으로는 KMMSE, UPDRS part 3, H&Y, NFOGQ part 2, NFOGQ part 3으로 구성되었다. 이중 KMMSE를 제외한 모든 임상 지표는 환자의 중증도 및 장애가 심할수록 기록되는 점수가 높게 평가되기에 관성신호의 특성들과 음의 상관관계를 나타낸다. 반면, KMMSE는 환자의 인지력이 건강할수록 높은 점수를 획득하기에 다른 임상평가 지표와 반대되는 양의 부호를 가진 상관계수를 나타낸다.
전체 집단 및 nFoG 집단에서의 임상 지표 중, KMMSE, UPDRS part 3, NFOGQ part 3는 비교적 많은 관성 신호의 특성과 유의한 상관성이 많이 나타났으나, H&Y와 NFOGQ part 2 에서는 비교적 적은 상관관계가 나타났다. H&Y의 경우 0-5점의 단계로 장애를 판단하였기 때문에 세밀한 평가가 이루어지지 않았다. 또한, 본 연구에서 모집한 환자들은 대부분 H&Y 점수 2-4점으로 그 분포가 넓지 않다. 이는 추후 더 넓은 분포에 속한 파킨슨병 환자를 대상으로 범위를 넓혀 탐색할 필요가 있다. 한편, NFOGQ part 2에서 조사한 동결 보행 경험 횟수와 관성 신호 특성 값 사이에 상관 계수가 적게 나타난 것은 실험을 조성하는 과정에서 일상생활속의 상황 변수(화장실, 좁은 문 등)를 반영하지 못했기 때문으로 판단된다.
Kim 등[26]이 발표한 논문에서는 보행이 느려지거나 걸음이 짧아지는 것은 H&Y보다는 KMMSE와 관련이 있다고 밝힌 바 있다. 파킨슨병 환자의 보행은 인지장애와 관련이 있으며, 주의력 결핍으로 인해 보행 변동성과 안정성에 변화를 가져온다. 특히 인지정신상태 및 동결 보행에 대한 인식을 나타내는 KMMSE 및 NFOGQ part3가 관성 신호 특성 값과 많은 상관관계를 나타내는 것은 파킨슨병 환자의 정신적 상태가 실제 운동수행능력에 반영되어 나타난 것이다.
UPDRS의 경우 운동을 수행해가며 평가하는 지표로서, 환자의 실제 보행 능력을 기반으로 평가했기 때문에 많은 상관관계가 나타났다. Vieregge 등[27]은 UPDRS와 파킨슨병 환자의 보행 간의 상관성을 조사하는 연구에서, UPDRS가 보행 속도와 관련이 있고 운동완화증(Bradykinesia)과도 관련이 있다는 것을 확인하였다. 따라서 UPDRS part 3가 증가함에 따라 몸이 둔해지므로 관성 신호의 특성들과 많은 상관관계가 도출되었다.
4.2 시간 영역의 관성 신호 특성
시간 영역의 특성에서 각 집단별 개수로 본 연구의 결과 전체 집단에서의 유의한 상관계수는 총 10개 쌍이었으나, FoG 집단에서는 3개의 쌍으로 감소하였으며, nFoG 집단에서는 11개로 나타났다. FoG 집단에서 각 임상 지표와 시간 영역의 특성 값 사이에 유의한 상관성을 보이지 않은 이유는 동결 보행이 일어나는 구간에서 중증 정도와 무관하게 멈추거나 떨리는 현상으로 인하여 특성 값들이 일정하게 변화하지 않았기 때문이다. 따라서, 시간 영역의 특성 값으로 임상 평가지표에 활용할 시 동결 보행이 일어나는 동안에는 유의한 상관관계를 확인하기 어렵다.
그러나, 전체 집단에서 시간 영역의 특성이 임상 평가 지표와 유의한 상관관계를 나타내는 것은 동결 보행 발현되었더라도 그 이후 보행이 진행된다면 임상 평가 지표와 상관관계가 나타나는 것을 의미한다. 동결 보행이 발생하였을 때에는 시간 영역에서의 정보가 큰 의미를 전달하지 못하나, 보행이 시작되었을 때에는 유의한 정보를 제공할 수 있다. 따라서 만약 파킨슨병 환자를 대상으로 평가하였을 때에 동결 보행이 발현된다면, 동결 보행이 종료된 이후, 정상 보행이 시작된 시점으로부터의 신호를 통해 임상 평가 척도를 추론하기에 좋은 특성으로 활용될 수 있다.
시간 영역의 특성 중 Mean Acc와 Std. Acc, Std. Ang는 비슷한 양상을 보였다. Mean Acc 보행 중 발생하는 충격력 및 추진력과 비례하며, Std. Acc및 Std. Ang는 정해진 윈도우 내에서 발생한 걸음 횟수와 연관이 있다. 발목에서 더 큰 힘이 작용할수록, 더 큰 Mean Acc와 분당 걸음 수 및 Std. Acc, Std. Ang의 증가로 나타난다. 이로 인해 세 가지 특성 값에서 유사한 결과가 나타났다.
반면, 각속도의 평균은 어떠한 지표와도 유의한 상관관계가 나타나지 않았다. 이는 유각기 동안 나타나는 장딴지의 회전 속도 및 보장의 길이와 관련이 있다. Hausdorff 등[28]에 따르면 파킨슨병의 중증도에 따라 발생하는 보행 속도의 차이는 분당 걸음 수의 증가이나 보행 사이클 내 유각기의 속도와는 무관한 것으로 언급한 바 있다.
4.3 주파수 영역의 관성 신호 특성
전체 집단에서 주파수영역의 특성 값은 6개의 쌍을 보였으나 FoG 집단에서는 6개 쌍, nFoG 집단에서는 7개 쌍으로 동결 보행의 발현 유무에 따라 상관계수의 개수는 큰 차이를 보이지 않는다. 이는 FoG 집단에서는 시간 영역의 특성보다는 주파수영역의 특성이 임상 척도의 정보를 더욱 크게 반영한다.
LBP는 동결 보행의 발현과 상관없이 UPDRS part 3와 NFOGQ part 3와 유의한 상관성을 나타내었다. 이는 LBP가 UPDRS part 3 및 NFOGQ part 3의 값을 대변할 수 있을 것으로 예상한다. 특히 동결 보행 발현 시에도 LBP의 상관성이 드러난 것은 동결 보행 시의 파워스펙트럼 범위와 관련이 있다. Palmerini 등[29]과 MacDougall [30]에 따르면 동결 보행 발현 시에도 3 Hz 이하의 주파수 파워가 포함되어 있다고 밝혔다. 따라서 본 연구의 결과는 동결 보행이 발현 시에도 Locomotion Band의 범위를 포함한 떨림이 관찰되었기 때문에 LBP와의 상관성이 유지되었다.
FBP는 전체 집단의 분석에서 강한 상관계수가 드러나지 않았으나, 동결 보행 발현 시 NFOGQ part 2에서 강한 상관성이 드러났다. 또한, 파킨슨병의 중증도가 심할수록 신체의 떨림정도가 심하여 양의 부호가 나타날 것으로 예측하였으나, 본 연구에서는 반대되는 음의 부호를 가진 상관계수를 획득하였다. 이는 동결 보행의 경험이 많은 환자일수록 동결 보행의 발현 시 그 떨림의 정도가 더욱 심해지는 것이 아닌 거의 움직이지 않았기 때문이다.
FBP는 nFoG 집단에서 KMMSE 및 UPDRS part 3와 유의한 결과를 나타내었다. 이는 파킨슨병의 정상 보행 시 발생하는 주파수 범위에 3 Hz 이상의 정보가 포함되었기 때문이다. Palmerini [29]과 MacDougall 등[30]에 따르면 이러한 결과는 Locomotion Band의 조화 주파수(Harmonic)으로 인한 경향으로 해석 가능하다. 정상 보행의 주파수 스펙트럼에서 3 Hz 이상 대역의 조화 주파수는 거의 존재하지 않거나, 측정되더라도 동결 보행 발현 시의 파워에 비해 월등히 작다고 언급하였다.
본 연구에서 사용한 FI는 전체 집단에서 UPDRS part 3, NOFGQ part 3와 유의한 상관관계를 보이나 동결 보행이 발현 될 때에는 그 상관성이 더 강한 값으로 도출되었다. 특히 동결 보행의 검출을 위해 자주 상용되었던 FI는 운동수행능력과 관련된 UPDRS part 3와 0.7 이상의 강한 상관계수가 나타나, 동결 보행을 경험하는 환자의 경우 FI를 통해 UPDRS part 3와 NFOGQ part 3의 정보를 유추할 수 있다. 그러나, nFoG 집단에서 NFOGQ part3와의 상관성은 나타나지 않은 반면, UPDRS part 3와는 강한 상관관계를 나타내었다. 이는 FI가 파킨슨병 환자의 UPDRS part 3 정보를 매우 많이 포함하고 있는 것으로 보인다. 따라서 FI를 사용한다면, 환자의 전체적인 운동수행능력을 예측하는 데에 활용 가능하다.
4.4 한계
본 연구에서는 동결 보행 구간을 선정하는 과정에서 떨리는 구간과 정지해있는 구간을 구분하지 않았다. 보행 시작 전 동결 보행은 떨리는 현상과 경직되는 현상 두 가지로 구분된다. 특히 본 실험에서 떨리는 동결 보행 발현 시 첫걸음의 기준은 Locomotion Band(0.3-3 Hz)를 바탕으로 보행 주기가 0.3초 이상인 구간을 보행 시작으로 판별하였다. 본 내용의 결과를 바탕으로 확인하였을 때에는 각 지표들 간의 상관성을 조사할 때에 두 가지 동결 보행 현상을 나누어 분석을 할 필요가 있다. 특히, 임상적으로 파킨슨병 환자의 동결 보행을 확인하고자 할 때에는 떨림이나 멈추는 것을 관찰함과 동시에 환자의 보행하고자 하는 의지가 언제부터 가해졌는가를 함께 관찰해야 하지만, 이는 관성 신호만으로는 확인하기 어려운 문제로 존재한다[31,32].
본 연구의 목적으로 관성 신호의 특성과 임상지표 간의 상관성을 탐색하였으나, 본 연구의 결과에서는 각 임상 지표 간 미치는 영향을 고려하지 않았다. 본 연구에서 사용한 5가지 임상 지표는 각각 내용은 상이하지만 모두 파킨슨병의 중증도를 고려한다는 점에서 같은 목적을 가지며 이에 따른 영향이 존재할 것이다. 예를 들어, 인지능력에 따라서 신체 능력과 관성 신호 특성 간 상관성이 달라질 수 있으며, 반대로 신체 능력에 따라 인지 능력과 관성 신호의 특성 간 상관성이 달라질 수 있다. 이러한 변인들을 고려한다면, 각 평가지표의 운동 수행에 대한 생체역학적 분석과 일생생활에서의 심층 조사 등을 통해 본 연구의 결과를 더욱 상세히 분석 가능할 것으로 예상된다. 따라서, 본 연구에서 유의한 상관관계를 보인 관성 신호의 특성들은 임상 지표의 정보를 어느정도 포함하지만 완전히 대변하기에는 한계가 존재한다. 이와 관련된 연구는 추후 피험자의 수를 늘려 조사해야 할 과제이다.
본 연구에서는 관성 신호의 상관성을 이용하여 임상지표와의 상관관계를 확인하였으나, 실제로 머신 러닝과 같은 알고리즘을 이용하여 실제 임상 지표의 척도로서 평가하지 못하였다. 이러한 임상지표들은 전문의의 주관적 평가를 통해 정량적으로 판별되어지나, 각 지표들 간의 경계가 뚜렷하게 구분되어 있지 않다. 또한, 이러한 지표들은 평가하는 환경에 따라 개인의 의견이 반영되므로 머신 러닝의 학습을 위한 타겟을 임상 지표로 선정하기에는 어려움이 있다. 이는 추후 머신러닝의 학습 타겟에 대한 논의를 진행해야 할 것으로 예상한다.
본 연구에서는 관성센서에서 측정한 신호의 특성 값들과 임상에서 평가되었던 지표 간 상관관계를 탐색하였다. 머신러닝의 특성으로 주로 활용되는 시간 영역의 특성 4개와 주파수 영역의 특성 3개의 평가를 통해 임상 지표를 대변할 수 있는 특성 값을 제안하고자 하였다.
그 결과 시간 영역의 특성 중 Mean Acc와 Std. Acc는 UPDRS part 3의 상관성을 통해 전체적인 운동수행능력에 대한 정보를 포함할 수 있으나, 이는 동결보행이 발현하지 않았을 시에만 한정된다. 반면 주파수 영역에서 LBP와 FI는 동결 보행 발현 시에도 UPDRS part 3의 정보를 포함할 수 있으며, 특히 LBP는 NFOGQ3의 정보를 포함한다.
환자의 중증도를 표현하는 임상 지표는 대체로 주관적으로 평가되는데, 이를 객관화할 수 있다는 점에서 본 연구에 의의가 있다. 추후 본 연구의 한계점들을 보완하여 관성 신호 및 특성 값의 머신 러닝 학습을 통해 파킨슨병의 여러 임상 지표를 제시 할 수 있다면, 임상에서의 시간적 부담을 감소시키는 데에 기여 할 수 있을 것으로 예상한다.
본 연구는 2022년 범부처전주기의료기기연구개발 사업단(KMDFKD0002003G0100252)의 지원으로 이루 어진 연구임.
  • 1.
    Ahmad, N., Ghazilla, R. A. R., Khairi, N. M., Kasi, V., (2013), Reviews on various inertial measurement unit (IMU) sensor applications, International Journal of Signal Processing Systems, 1(2), 256-262.
    10.12720/ijsps.1.2.256-262
  • 2.
    Antunes, R., Jacob, P., Meyer, A., Conditt, M. A., Roche, M. W., Verstraete, M. A., (2021), Accuracy of measuring knee flexion after TKA through wearable IMU sensors, Journal of Functional Morphology and Kinesiology, 6(3), 60.
    10.3390/jfmk6030060
  • 3.
    Abdullah, A., Abdul-Kadir, N., Harun, F. C., (2017), Research and development of IMU sensors-based approach for sign language gesture recognition, Journal of Telecommunication, Electronic and Computer Engineering (JTEC), 9(3-9), 33-39.
  • 4.
    Caldas, R., Mundt, M., Potthast, W., de Lima Neto, F. B., Markert, B., (2017), A systematic review of gait analysis methods based on inertial sensors and adaptive algorithms, Gait & Posture, 57, 204-210.
    10.1016/j.gaitpost.2017.06.019
  • 5.
    Ferreira, R. N., Ribeiro, N. F., Santos, C. P., (2022), Fall risk assessment using wearable sensors: A narrative review, Sensors, 22(3), 984.
    10.3390/s22030984
  • 6.
    Ruiz-Ruiz, L., Jimenez, A. R., Garcia-Villamil, G., Seco, F., (2021), Detecting fall risk and frailty in elders with inertial motion sensors: A survey of significant gait parameters, Sensors, 21(20), 6918.
    10.3390/s21206918
  • 7.
    Sánchez Manchola, M. D., Bernal, M. J. P., Munera, M., Cifuentes, C. A., (2019), Gait phase detection for lower-limb exoskeletons using foot motion data from a single inertial measurement unit in hemiparetic individuals, Sensors, 19(13), 2988.
    10.3390/s19132988
  • 8.
    Helthcare Bigdata Hub, Health Insurance Review & Assesement Service. http://opendata.hira.or.kr/op/opc/olap3thDsInfo.do
  • 9.
    Braak, H., Ghebremedhin, E., Rüb, U., Bratzke, H., Del Tredici, K., (2004), Stages in the development of Parkinson’s disease-related pathology, Cell and Tissue Research, 318, 121-134.
    10.1007/s00441-004-0956-9
  • 10.
    Prateek, G., Skog, I., McNeely, M. E., Duncan, R. P., Earhart, G. M., Nehorai, A., (2017), Modeling, detecting, and tracking freezing of gait in Parkinson disease using inertial sensors, IEEE Transactions on Biomedical Engineering, 65(10), 2152-2161.
    10.1109/TBME.2017.2785625
  • 11.
    Hutabarat, Y., Owaki, D., Hayashibe, M., (2020), Quantitative gait assessment with feature-rich diversity using two IMU sensors, IEEE Transactions on Medical Robotics and Bionics, 2(4), 639-648.
    10.1109/TMRB.2020.3021132
  • 12.
    Abou, L., Peters, J., Wong, E., Akers, R., Dossou, M. S., Sosnoff, J. J., Rice, L. A., (2021), Gait and balance assessments using smartphone applications in Parkinson’s disease: A systematic review, Journal of Medical Systems, 45(9), 1-20.
    10.1007/s10916-021-01760-5
  • 13.
    Mannini, A., Trojaniello, D., Cereatti, A., Sabatini, A. M., (2016), A machine learning framework for gait classification using inertial sensors: Application to elderly, post-stroke and huntington’s disease patients, Sensors, 16(1), 134.
    10.3390/s16010134
  • 14.
    Pardoel, S., Kofman, J., Nantel, J., Lemaire, E. D., (2019), Wearable-sensor-based detection and prediction of freezing of gait in Parkinson’s disease: A review, Sensors, 19(23), 5141.
    10.3390/s19235141
  • 15.
    Borzì, L., Mazzetta, I., Zampogna, A., Suppa, A., Irrera, F., Olmo, G., (2022), Predicting axial impairment in Parkinson’s disease through a single inertial sensor, Sensors, 22(2), 412.
    10.3390/s22020412
  • 16.
    Roller, W. C., Glatt, S., Vetere-Overfield, B., Hassanein, R., (1989), Falls and Parkinson's disease, Clinical Neuropharmacology, 12(2), 98-105.
    10.1097/00002826-198904000-00003
  • 17.
    Sofuwa, O., Nieuwboer, A., Desloovere, K., Willems, A.-M., Chavret, F., Jonkers, I., (2005), Quantitative gait analysis in Parkinson’s disease: Comparison with a healthy control group, Archives of Physical Medicine and Rehabilitation, 86(5), 1007-1013.
    10.1016/j.apmr.2004.08.012
  • 18.
    Zampieri, C., Salarian, A., Carlson-Kuhta, P., Aminian, K., Nutt, J. G., Horak, F. B., (2010), The instrumented timed up and go test: Potential outcome measure for disease modifying therapies in Parkinson's disease, Journal of Neurology, Neurosurgery & Psychiatry, 81(2), 171-176.
    10.1136/jnnp.2009.173740
  • 19.
    Plotnik, M., Giladi, N., Dagan, Y., Hausdorff, J. M., (2011), Postural instability and fall risk in Parkinson’s disease: Impaired dual tasking, pacing, and bilateral coordination of gait during the “ON” medication state, Experimental Brain Research, 210(3-4), 529-538.
    10.1007/s00221-011-2551-0
  • 20.
    Folstein, M. F., Robins, L. N., Helzer, J. E., (1983), The mini-mental state examination, Archives of General Psychiatry, 40(7), 812.
    10.1001/archpsyc.1983.01790060110016
  • 21.
    Kang, Y., NA, D.-L., Hahn, S., (1997), A validity study on the Korean Mini-Mental State Examination (K-MMSE) in dementia patients, Journal of the Korean Neurological Association, 300- 308.
  • 22.
    Movement disorder society task force on rating scales for Parkinson's disease, (2003), The unified Parkinson's disease rating scale (UPDRS): Status and recommendations, Movement Disorders, 18(7),738-750.
    10.1002/mds.10473
  • 23.
    Hoehn, M. M., Yahr, M. D., (1998), Parkinsonism: Onset, progression, and mortality, Neurology, 50(2), 318-318.
    10.1212/WNL.50.2.318
  • 24.
    Nieuwboer, A., Rochester, L., Herman, T., Vandenberghe, W., Emil, G. E., Thomaes, T., Giladi, N., (2009), Reliability of the new freezing of gait questionnaire: Agreement between patients with Parkinson's disease and their carers, Gait & Posture, 30(4), 459-463.
    10.1016/j.gaitpost.2009.07.108
  • 25.
    Moore, S. T., MacDougall, H. G., Ondo, W. G., (2008), Ambulatory monitoring of freezing of gait in Parkinson's disease, Journal of Neuroscience Methods, 167(2), 340-348.
    10.1016/j.jneumeth.2007.08.023
  • 26.
    Kim, S. M., Kim, D. H., Yang, Y., Ha, S. W., Han, J. H., (2018), Gait patterns in Parkinson's disease with or without cognitive impairment, Dementia and Neurocognitive Disorders, 17(2), 57-65.
    10.12779/dnd.2018.17.2.57
  • 27.
    Vieregge, P., Stolze, H., Klein, C., Heberlein, I., (1997), Gait quantitation in Parkinson's disease—locomotor disability and correlation to clinical rating scales, Journal of Neural Transmission, 104(2), 237-248.
    10.1007/BF01273184
  • 28.
    Hausdorff, J. M., Cudkowicz, M. E., Firtion, R., Wei, J. Y., Goldberger, A. L., (1998), Gait variability and basal ganglia disorders: Stride?to?stride variations of gait cycle timing in Parkinson's disease and Huntington's disease, Movement Disorders, 13(3), 428-437.
    10.1002/mds.870130310
  • 29.
    Palmerini, L., Rocchi, L., Mazilu, S., Gazit, E., Hausdorff, J. M., Chiari, L., (2017), Identification of characteristic motor patterns preceding freezing of gait in Parkinson’s disease using wearable sensors, Frontiers in Neurology, 8, 394.
    10.3389/fneur.2017.00394
  • 30.
    MacDougall, H. G., Moore, S. T., (2005), Marching to the beat of the same drummer: The spontaneous tempo of human locomotion, Journal of Applied Physiology, 99(3), 1164-1173.
    10.1152/japplphysiol.00138.2005
  • 31.
    Bachlin, M., Plotnik, M., Roggen, D., Maidan, I., Hausdorff, J. M., Giladi, N., Troster, G., (2009), Wearable assistant for Parkinson’s disease patients with the freezing of gait symptom, IEEE Transactions on Information Technology in Biomedicine, 14(2), 436-446.
    10.1109/TITB.2009.2036165
  • 32.
    Mancini, M., Priest, K. C., Nutt, J. G., Horak, F. B., (2012), Quantifying freezing of gait in Parkinson's disease during the instrumented timed up and go test, Proceedings of the 2012 Annual International Conference of the IEEE Engineering in Medicine and Biology Society, 1198-1201.
    10.1109/EMBC.2012.6346151
Tae Hee Kim
KSPE_2023_v40n7_553_bf001.jpg
Researcher in Prosthetics and Orthotics Center, KVHS. His research interest is biomechanics and rehabilitation engineering.
Ha Eun Jo
KSPE_2023_v40n7_553_bf002.jpg
Researcher in Prosthetics and Orthotics Center, KVHS. Her research interest is rehabilitation engineering.
Hui Woo Choi
KSPE_2023_v40n7_553_bf003.jpg
Researcher in Prosthetics and Orthotics Center, KVHS. Her research interest is rehabilitation engineering.
Pyoung-Hwa Choi
KSPE_2023_v40n7_553_bf004.jpg
Researcher in Prosthetics and Orthotics Center, KVHS. Her research interest is biomechanics and physical therapy.
Won Jae Lee
KSPE_2023_v40n7_553_bf005.jpg
M.D. in the Department of Rehabilitation Medicine, KVHS. His research interest is physical medicine.
Hee Seung Yang
KSPE_2023_v40n7_553_bf006.jpg
M.D. in the Department of Physical Medicine and Rehabilitation, KVHS. Her research interest is prosthetics and orthotics.
Woo Sub Sim
KSPE_2023_v40n7_553_bf007.jpg
Research director in Prosthetics and Orthotics Center, KVHS. His research interest is prosthetics and orthotics.

Download Citation

Download a citation file in RIS format that can be imported by all major citation management software, including EndNote, ProCite, RefWorks, and Reference Manager.

Format:

Include:

Correlation Analysis between Clinical Rating Scales and Inertial Signal Features in Parkinson’s Disease Patients
J. Korean Soc. Precis. Eng.. 2023;40(7):553-561.   Published online July 1, 2023
Download Citation

Download a citation file in RIS format that can be imported by all major citation management software, including EndNote, ProCite, RefWorks, and Reference Manager.

Format:
Include:
Correlation Analysis between Clinical Rating Scales and Inertial Signal Features in Parkinson’s Disease Patients
J. Korean Soc. Precis. Eng.. 2023;40(7):553-561.   Published online July 1, 2023
Close

Figure

  • 0
  • 1
Correlation Analysis between Clinical Rating Scales and Inertial Signal Features in Parkinson’s Disease Patients
Image Image
Fig. 1 IMU sensor attachment
Fig. 2 Window segmentation in IMU signals
Correlation Analysis between Clinical Rating Scales and Inertial Signal Features in Parkinson’s Disease Patients

Patients’ information

No. Age [yr] Height [cm] Weight [kg] Duration [yr] KMMSE UPDRS Part 3 H&Y NFOGQ
Part 2 Part 3
1 70 170 64 7 26 74 4 15 7
2 80 166 66 9 21 48 3 17 7
3 77 165 57 11 24 41 3 16 6
4 75 164 79 7 28 41 2 11 5
5 76 162 58 9 21 85 2 19 9
6 81 160 56 21 20 81 4 19 9
7 75 165 58 16 26 55 2 10 7
8 74 166 68 4 13 68 3 16 8
9 76 168 74 7 27 74 3 17 9
10 75 170 67 2 28 63 3 17 8
11 68 147 48 6 23 81 3 11 8
12 76 155 62 2 27 50 2 9 3
13 77 167 67 5 24 57 2 19 7
14 75 169 73 1 25 58 2 12 8
15 74 169 76 3 25 72 2 9 4
16 76 170 73 2 22 86 4 10 6
Mean 75.31 164.71 65.58 7.44 23.75 64.63 2.75 14.19 6.94
Std. 3.04 6.20 8.43 5.33 3.70 14.69 0.75 3.66 1.71

Features of IMU signal

Mean Acc Mean of acceleration within given window in gravity axis1ni=1nAcc-yi
Mean Ang Mean of angular velocity within given window in sagittal plane1ni=1nAng-xi
Mean Acc Mean of acceleration within given window in gravity axis i=1nAcc-yi-Acc-y¯2n
Std. Ang Standard deviation of angular velocity in given window in sagittal planei=1nAng-xi-Ang-y¯2n
LBP Ratio of signal power in locomotion band (0.3-3 Hz)
FBP Ratio of signal power in freeze band (3-8 Hz)
FI   A r e a   u n d e r   t h e   P S D   c u r v e   i n   f r e e z e   b a n d     A r e a   u n d e r   t h e   P S D   c u r v e   i n   l o c o m o t i o n   b a n d  

Notes: Acc = Acceleration; Ang = Angular velocity;

LBP = Locomotion band power; FBP = Freezing band power;

FI = Freezing index; PSD = Power spectral density

Spearman’s correlation coefficient between IMU features and clinical rating scale (p-values < 0.05)

Patient group IMU feature KMMSE UPDRS part 3 H&Y NFOGQ part 2 NFOGQ part 3
All Mean Acc .450 -.542 -.407 - -.487
Mean Gyro - - - - -
Std. Acc .390 -.538 - -.427
Std. Gyro .499 -.470 - - -.441
LBP .334 -.646 - - -.601
FBP - - - - -.295
FI - .642 - - .355
FoG Mean Acc - - - - -
Mean Gyro - - - - -
Std. Acc - - - -.471 -.409
Std. Gyro - - - - -.484
LBP - -.658 - - -.626
FBP - - - -.642 -
FI - .707 .500 - .480
nFoG Mean Acc .532 -.654 -.396 - -.521
Mean Gyro - - - - -
Std. Acc .624 -.570 -.424 - -421
Std. Gyro .696 -.505 - - -.415
LBP .385 -.614 - - -.589
FBP .470 - -.595 - -.378
FI - .605 - - -
Table 1 Patients’ information
Table 2 Features of IMU signal

Notes: Acc = Acceleration; Ang = Angular velocity;

LBP = Locomotion band power; FBP = Freezing band power;

FI = Freezing index; PSD = Power spectral density

Table 3 Spearman’s correlation coefficient between IMU features and clinical rating scale (p-values < 0.05)