ABSTRACT
The pneumatic vibration isolator is economical, has no risk of contamination, and attains high vibration isolation performance by lowering the natural frequency. Pressure feedback control is used to improve the response speed of the pneumatic vibration isolator and keep the internal pressure of the pneumatic actuator constant. In this paper, the vibration isolator was actively controlled by estimating the internal pressure of the pneumatic actuator with the displacement signal. A pneumatic actuator was modeled and its dynamic characteristics were identified through frequency response measurements. A pressure observer based on relative displacement was designed, and the observer control gain was adjusted with nominal model and experiments. Pressure estimation performance and active vibration suppression performance using a pressure observer were verified through experiments. The pressure of the pneumatic actuator was estimated by the observer, and measurement noise was eliminated effectively. In addition, vibration isolation performances of direct and estimated pressure feedback showed no difference, verifying the effectiveness of the pressure observer.
-
KEYWORDS: Pneumatic vibration isolator, System identification, Pressure observer, Pressure feedback control
-
KEYWORDS: 공압 제진대, 시스템 식별, 압력 관측기, 압력 궤환 제어
NOMENCLATURE
Effective Area of the Pneumatic Actuator
Viscous Damping Coefficient
Driving Force of the Pneumatic Actuator
Flow Gain of the Servo Valve
Current of the Servo Valve
DC Gain of Pneumatic Actuator Model
Acceleration Feedback Gain
Gain of Control Input of the Pressure Observer
Proportional Gain of Displacement Compensator
Gain of Pseudo-differentiator of the Pressure Observer
Real and Estimated Pressure of the Pneumatic Actuator
Displacement Sensor Sensitivity
Time Constant of the Pneumatic Actuator Model
Time Constant of Pseudo-differentiator of the Pressure Observer
Effective Volume of the Pneumatic Actuator
Velocities of Isolation Table and Floor
Displacement, Velocity, and Acceleration of Isolation Table
Displacement and Velocity of Floor
1. 서론
미세 진동은 반도체 공정, 광학 그리고 생명공학 분야에서 정밀 계측의 품질 저하와 측정 오류를 발생시켜 매우 엄격하게 관리해야 한다. 대표적으로 반도체 노광 장비와 바이오 스테이지는 μm, nm 단위 정밀도를 요구하며 능동 제진기를 이용해 미진동 환경을 구축한다[
1].
능동 제진대는 미세 진동 전달을 차단하여 장비의 정밀도와 생산성을 높이고 수명을 연장한다. 능동 제진대는 사용 구동기에 따라 전자기형, 피에조형 그리고 공압 제진대로 구분되며 이중 서보밸브와 공기스프링을 이용한 공압 제진대가 널리 사용된다[
2].
공압 제진대는 경제적이고, 오염의 위험성이 없으며 고유진동수를 낮춰 높은 진동 절연 성능을 갖는다. 응답 속도를 향상시키고 공기스프링 내압을 일정하게 유지하도록 압력 궤환 제어를 사용한다[
3]. 이때 압력 센서의 사용으로 장치 구조가 복잡해지고 제품의 가격이 상승하기 때문에 관측기로 공기스프링의 내압을 추정하여 압력 제어를 수행할 수 있다[
4].
이 논문에서는 변위 신호로 압력 추정하여 공압 제진대를 능동 제어하였다. 공압 구동기를 모델링하고 주파수 응답 측정 통해 동특성을 식별하였다. 상대 변위를 이용한 압력 관측기를 설계하고, 공칭 모델과 실험을 통해 관측기 이득을 조절하였다. 관측기로 압력이 잘 추정되었으며 특히 측정 잡음을 효과적으로 제거할 수 있었다. 실험을 통해 압력 추정 성능과 압력 관측기를 사용한 능동 제진 성능을 검증하였다.
2. 공압 제진대 시스템 식별
2.1 공압 제진대
일자유도 능동 공압 제진대는
Fig. 1(a)와 같이 제어부, 공압구동기, 일자유도 진동 모델로 구성된다. 제어부는 제어기(dSPACE, DS1104)와 센서들로 구성된다. 상대 변위 센서(Contrinex, DW-AD), 제진대 상하판 가속도 센서(Tokyo Keiki, TA-25J) 그리고 공기스프링 내압 측정 센서(Sensys, PSC)를 사용했다. 공압 구동기는 노즐-플래퍼 서보밸브(Moog, j814)와 특주 공기스프링으로, 일자유도 진동 모델은 플렉셔 베어링과 부하 중량으로 구성된다.
Fig. 1One DOF pneumatic vibration isolator apparatus
Fig. 1(b)에 공압 제진대 구성도를 나타냈다. 제어기 출력 전압은 전류증폭기를 거쳐 서보 밸브에 전류를 인가한다. 압축 공기가 서보밸브를 통해 공기스프링으로 유입되면 공기스프링의 내압이 상승하고, 이에 따라 제진대 상판에 구동력이 가해진다. 플렉셔 베어링은 상판의 운동을 수직 방향으로 제한한다.
2.2 공압 제진대의 수학적 모델링
Fig. 2에 공압 제진대의 능동 제어 블록선도를 나타냈으며 공압 구동기, 일자유도 진동 그리고 압력 제어기로 구성된다.
Fig. 2Control block diagram of pneumatic vibration isolator
2.2.1 공압 구동기 모델
Fig. 3(a)와 같이 공압 구동기는 전류 증폭기, 노즐- 플래퍼 서보밸브, 공기스프링 그리고 유효 면적으로 구성된다. 공압 구동기 수학모델은 평형점 부근에서 선형화하여 1차 지연으로 모델링할 수 있다[
5]. 전류 증폭기와 노즐-플래퍼 서보 밸브는 비례요소로, 공기스프링은 이상 기체 상태 방정식에 따라 1차 지연요소로 간략화했다. 여기서
u는 제어 입력,
I는 전류,
q는 체적유량,
p는 압력이다. 공기스프링의 내압에 유효 면적(
A)이 곱해져 구동력(
fair)이 발생한다.
Fig. 3Schematic diagram of the pneumatic vibration isolator
2.2.2 일자유도 진동 모델
Fig. 3(b)는 부하 질량, 플렉셔 베어링 그리고 공압 구동기로 구성된 일자유도 진동 모델의 개략도이다. 일자유도 진동 모델은 공기스프링 강성(
K)과 감쇠(
D)로 인한 힘과 더불어, 공기스프링의 압력으로 인한 힘(
fair)이 부하 질량(
M)에 작용한다[
6].
공압 구동기와 일자유도 진동 모델을 고려한 제어 입력(
u)에 대한 압력(
p)의 전달함수는
식(1)과 같다. 상판의 상대속도가 공압 구동기로 궤환되며 1차 지연 시스템에 2개 극점과 2개 영점이 추가되어 반공진과 공진이 발생한다.
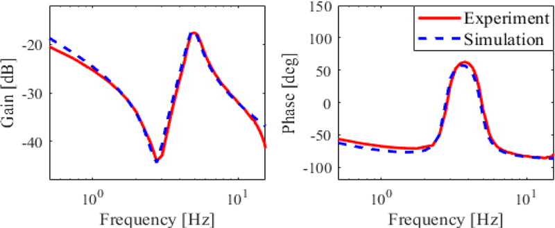
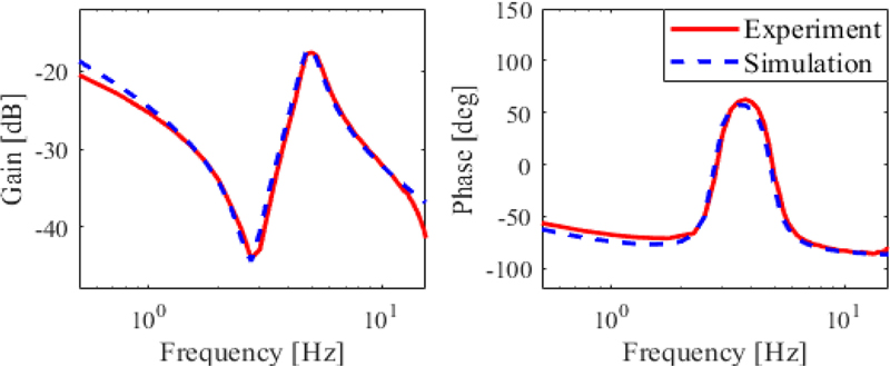
2.3 공압 구동기 동특성 식별
부하 중량의 부상을 위한 일정한 변위 명령과 더불어 정현파가속도 명령을 인가하여 제어 입력(
u)에 대한 압력(
p)의 주파수응답을 측정하고
Fig. 4에 붉은 실선으로 나타냈다. 실험 수행 중에 부하 중량의 안정적인 부상을 위해 변위, 가속도, 압력 제어을 적용했다. 실험에서 공압 구동기 모델의 공진점 부근의 주파수 응답으로부터 강성(
K), 감쇠계수(
D)를 계산했다.
Fig. 4Frequency response from control input u to pressure p
Table 1에 표시한 공기스프링 형상으로부터 체적(
V0), 유효면적(
A)을 결정할 수 있다. 압축률(
β)은 공기 폴리트로픽 지수(1.4)와 평형점에서 공기스프링 내부 계기 압력의 곱의 역수이다. 서보밸브와 공기스프링을 분리한 후 입력 전압을 점진적으로 증가시키며 서보밸브의 준정적 유량을 측정한 후 유량-전압기울기로부터 서보밸브 유량게인(
Gq)의 초기값을 결정했다.
Table 1Geometric parameters of the air spring
Table 1
|
Piston diameter [mm] |
Chamber diam. [mm] |
Chamber height [mm] |
|
44 |
50 |
16 |
식(1)에 공압 제진대 변수를 대입하고 실험과 이론 주파수응답(
Fig. 4의 파란색 점선)을 비교하며 서보밸브 유량게인(
Gq)과 체적(
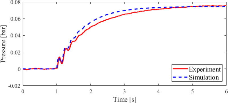
V0)을 추가적으로 조정했다. 또한, 기준 위치(
x = 4 mm)가 되도록 전압 입력을 8
V로 조절한 후 0.5
V 계단 입력에 대한 최종 정상상태 압력이
Fig. 5와 같이 일치하도록 유체 컨덕턴스(
c)를 결정했다. 이때 부상 평형점에서의 공기스프링 내압을 0으로 설정했다.
Table 2에 결정한 변수 값들을 표시하였다.
Fig. 5Pressure step response from control input u
Table 2Model parameters of pneumatic vibration isolator
Table 2
|
Symbol |
Description |
Value |
|
M
|
Mass [kg] |
52 |
|
D
|
Damping [Ns/m] |
155 |
|
K
|
Stiffness [kN/m] |
12.8 |
|
Gq
|
Flow gain [m3/s/V] |
1.6 × 10-5
|
|
c
|
Flow conductance [m3/s/Pa] |
4.3 × 10-10
|
|
β
|
Compressibility [1/Pa] |
2.74 × 10-6
|
|
V
0
|
Volume [m3] |
2.72 × 10-5
|
|
A
|
Effective area [m2] |
1.73 × 10-3
|
3. 압력 관측기
3.1 압력 관측기 설계
Fig. 6에 이 논문에서 사용할 압력 관측기를 도시하였다. 압력 관측기는 공압 구동기 모델을 기반으로 제어 입력과 상대 변위의 미분을 이용해 압력을 추정한다[
4].
Fig. 6Block diagram of the pressure observer
Fig. 6의 녹색 선과 같이 제어 입력에서 압력을 추정하기 위해 공압 구동기 모델의 1차 지연 시스템을
식(2)의 형태로 근사한다. 여기서
kc는 공압 구동기 모델의 DC 이득(=
Gq/
c), T
c는 공압 구동기 모델의 시정수(=
V0/
c)이다.
부하 중량의 상대 속도를 유량 게인으로 나누어
Fig. 6의 적색선과 같이 압력 관측기의 입력으로 구현하였다. 정적 이득만을 고려하여 제어 입력단에 궤환되는 항을 유도하면
식(3)과 같다. 여기서,
ktun는 의사-미분기(Pseudo-differentiator)의 이득,
Ttun는 의사-미분기의 시정수이다.
Spos는 변위 센서의 민감도(10 × 10
3 V/m)이다.
Ttun는 미분을 적용할 주파수를 결정하는 제어 이득으로
Tc 보다 충분히 작은 값을 사용한다.
식(3)을
ktun에 대해 정리하면
식(4)와 같다.
3.2 압력 추정 성능
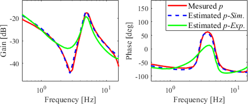
공기스프링의 실제 압력(
p)과 압력 관측기의 추정 압력(
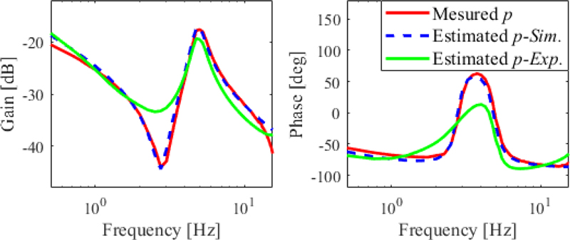
p^)을 비교하여 압력 관측기의 성능을 검증한다. 제어 입력에 대한 공압 구동기의 측정 및 추정 압력의 주파수 응답을 비교하여
Fig. 7에 나타냈다. 모델로부터 압력 관측기 초기 이득을 계산했고 이를
Table 3에 나타냈다. 반공진점(2-3 Hz)을 제외한 영역에서 평균 오차 21.7%로 실제 압력을 잘 추정하였다.
Fig. 7Frequency response of the measured and estimated pressure
Table 3Gains of the pressure observer
Table 3
|
Symbol |
Initial value |
Final value |
|
ktun
|
623.8 |
257.3 |
|
Ttun [s] |
1.73 × 10-4
|
2.69 × 10-4
|
|
ka
|
1 |
1 |
|
kc
|
3.72 × 104
|
5.81 × 104
|
|
Tc [s] |
0.173 |
0.269 |
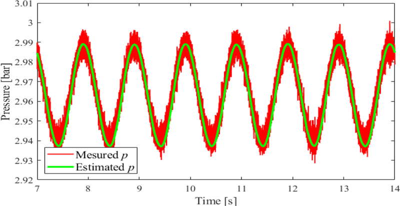
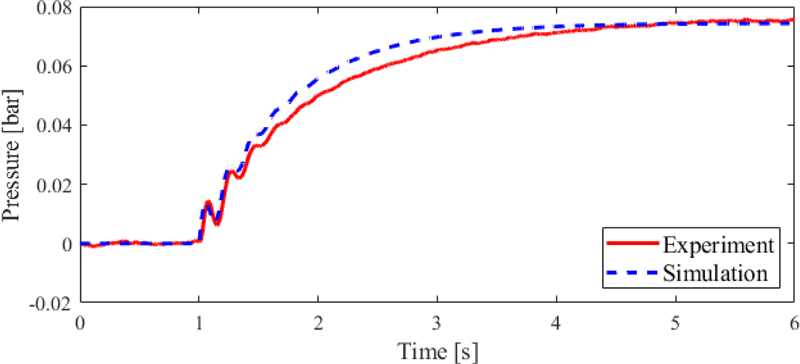
Fig. 8과 같이 정현파 전압 입력에 대한 측정 및 추정 압력을 비교하며 실험을 통해 관측기 이득을 조절하였다. 서보밸브 유량게인(
Gq)을 증가시키면 반공진 부근에서의 압력 추정 성능이 향상되고, 압력 추정 이득이 높아진다. 반면, 체적(
V0)을 증가시키면 압력 추정 이득을 낮출 수 있었다. 유량게인(
Gq)은 1.6 × 10
-5 m
3/s/V에서 2.5 × 10
-5 m
3/s/V로, 체적(
V0)은 2.72 × 10
-5 m
3에서 4.22 × 10
-5 m
3로 변경했다. 관측기로 압력이 잘 추정되었으며 특히 측정 잡음을 효과적으로 제거할 수 있다.
Fig. 8The measured and estimated pressure of pneumatic actuator
4. 제진 성능을 통한 압력 관측기 효과성 검증
4.1 공압 제진대 제어 기법
Fig. 9는 공압 제진대의 제어 블록선도로 변위 비례, 가속도 PI 그리고 압력 PI 궤환 제어로 구성된다. 특히 가속도 궤환의 이득
km, kd, kk 은 질량, 감쇠 그리고 강성과 관련되며 이를 통해 1자유도 진동 모델의 고유진동수를 낮출 수 있다[
7]. 공압 제진대의 능동 제어에 사용한 제어 이득을
Table 4에 정리하였다.
Fig. 9Control block diagram of the active pneumatic vibration isolator
Table 4Control gains for the active pneumatic vibration isolator
Table 4
|
Description |
Value |
|
Proportional gain of displacement compensator |
5 |
|
Proportional gain of acceleration PI compensator |
0.05 |
|
Integral gain of acceleration PI compensator |
1 |
|
Acceleration feedback gain km
|
12 |
|
Acceleration feedback gain kd
|
2 |
|
Acceleration feedback gain kk
|
5 |
|
Proportional gain of pressure PI compensator |
1 |
|
Integral gain of pressure PI compensator |
0.3 |
압력 PI 제어는 압력 추종 속도를 높여 공압 구동기 동특성을 개선한다. 측정 압력을 이용한 궤환 제어(이하, 직접 압력 궤환)와 추정 압력을 이용한 궤환 제어(이하, 추정 압력 궤환)에 따른 공압 제진기의 진동 절연 성능을 비교하였다.
4.2 압력 관측기의 성능 평가
진동전달률 측정을 위한 실험 장치 구성도를
Fig. 10에 나타냈다. 진동전달률 측정 장치는 가진기를 포함한 가진대와 일자유도 능동 공압 제진기로 구성했다. 바닥 가진에 사용한 가진기의 힘은 최대 196 N, 최대 스트로크 10 mm, 최대 가속도 529 m/s
2이다. 정현파 바닥 가진의 주파수와 가속도를 0.5 Hz, 0.23 × 10
-3 m/s
2에서 15.5 Hz, 0.18 m/s
2까지 증가시키며 하판에 대한 상판 가속도의 전달률을 측정했다.
Fig. 10Experimental set-up for transmissibility
여러가지 능동제어기법과 함께 직접 및 추정 압력 궤환 제어 간의 진동전달률을 비교하여
Fig. 11에 나타냈다. 직접 압력 궤환과 동일하게 추정 압력 궤환도 변위 제어만 적용한 경우의 고유진동수 5.25 Hz를 1.5 Hz까지 낮춰서 진동 절연 대역폭을 넓힐 수 있었다.
Fig. 11Transmissibility of the active vibration isolator with various control schemes
Fig. 12는 10 Hz 바닥 가진에 대한 상하판 상대 변위와 상판가속도이다. 10 Hz 진동전달률은 변위 제어만 적용한 경우를 기준으로 가속도 제어에서 48.3%, 가속도 및 압력 제어에서 64.8%가 감소하였다. 두 압력 궤환에 의한 제진 성능 차이는 거의 발생하지 않았고 압력 추정기의 효과성을 간접적으로 검증하였다.
Fig. 12Time response of the relative displacement and the isolation table acceleration for 10 Hz floor excitation
5. 결론
이 논문에서는 변위 신호로 공압 구동기의 내압 추정하여 제진대를 능동 제어하였다. 공압 구동기를 모델링하고 주파수 응답 측정 통해 동특성을 식별하였다. 상대 변위를 이용한 압력관측기를 설계하고, 공칭 모델 변수로 관측기 제어 이득을 조절하였다. 모의 시험과 실험을 통해 압력 추정 성능과 압력 관측기를 사용한 능동 제진 성능을 검증하였다. 관측기로 압력이 잘 추정되었으며 특히 측정 잡음을 효과적으로 제거할 수 있었다. 또한 직접과 추정 압력 궤환에 의한 제진 성능 차이는 거의 발생하지 않아 압력 추정기의 효과성을 검증하였다.
ACKNOWLEDGMENTS
이 연구는 중소벤처기업부(2021년 중소기업기술정보 진흥원) 중소기업 기술혁신 개발사업(소부장전략, S3142282)의 지원과 산업통상자원부(한국산업기술 평가관리원) 산업기술혁신사업(2021년도 소재부품기술 개발사업, 20017202)의 지원에 의해 수행되었음.
REFERENCES
- 1.
Robert, H., Munnig, S., (2012), Ultra-precision engineering in lithographic exposure equipment for the semiconductor industry, Philosophical Transactions of The Royal Society A, 370(1973), 3950-3972.
10.1098/rsta.2011.0054
- 2.
Collette, C., Janssens, S., Artoos, K., (2011), Review of active vibration isolation strategies, Recent Patents on Mechanical Engineering, 4(3), 212-219.
10.2174/2212797611104030212
- 3.
Nakamura, Y., Kawakami, H., Wakui, S., (2015), Bandwidth expansion of a pressure control system for pneumatic anti-vibration apparatuses in presence of dead time, Journal of Advanced Mechanical Design, Systems, and Manufacturing, 9(3), JAMDSM0031.
10.1299/jamdsm.2015jamdsm0031
- 4.
Aizaki, H., Wakui, S., (2011), An estimation method of inner pressure of pneumatic active anti vibration apparatus using minimum order observer, Transactions of the Japan Society of Mechanical Engineers, Series C, 77(774), 309-318.
10.1299/kikaic.77.309
- 5.
Wakui, S., Fushima, C., (2006), Wide frequency band of pressure feedback using positive feedback for an air spring type antivibration apparatus, Nippon Kikai Gakkai Ronbunshu C Hen (Transactions of the Japan Society of Mechanical Engineers Part C), 18(7), 2219-2225.
10.1299/kikaic.72.2219
- 6.
Erin, C., Wilson, B., Zapfe, J., (1998), An improved model of a pneumatic vibration isolator: Theory and experiment, Journal of Sound and Vibration, 218(1), 81-101.
10.1006/jsvi.1998.1777
- 7.
Wakui, S., Shimotome, T., Akatsu, K., (2004), A lowering method of natural frequency for an air type active anti-vibration apparatus, The Japan Society for Precision Engineering, 70(11), 1444-1448.
10.2493/jspe.70.1444
Biography
- Jae-Min Shin
B.Sc. candidate in the School of Mechanical Engineering, Soongsil University. His research interest is active pneumatic vibration isolator.
- Hyeong-Joon Ahn
Received B.Sc., M.Sc., Ph.D degrees from the Department of Mechanical Design & Production Engineering, Seoul National University. His research interest is the area of mechatronics, sensors, actuators, control and precision machine design.
Citations
Citations to this article as recorded by

- Development of an Ultra-precision Air-bearing Stage Integrated with Real-time Motion Error Measurement and Compensation Functions
Eun Young Ko, Hoon Hee Lee, Kwang Il Lee, Seung Han Yang
Journal of the Korean Society for Precision Engineering.2026; 43(2): 167. CrossRef