Skip to main navigation Skip to main content
  • E-Submission

JKSPE : Journal of the Korean Society for Precision Engineering

OPEN ACCESS
ABOUT
BROWSE ARTICLES
EDITORIAL POLICIES
FOR CONTRIBUTORS
REGULAR

상온 보상용 내부 온도 센서가 열전대 온도 지시계의 교정 불확도에 미치는 영향

Effect of the Internal Thermometer for Room Temperature Compensation on the Calibration Uncertainty of Thermocouple Indicators

Journal of the Korean Society for Precision Engineering 2025;42(1):39-45.
Published online: January 1, 2025

1 과학기술연합대학원대학교 정밀측정과

2 한국표준과학연구원 열유체측정그룹

1 Department of Precision Measurement, Graduate School, University of Science and Technology

2 Thermometry and Fluid Flow Metrology Group, Korea Research Institute of Standards and Science

#E-mail: iyang@kriss.re.kr, TEL: +82-42-868-5772
• Received: August 31, 2024   • Revised: October 21, 2024   • Accepted: November 12, 2024

Copyright © The Korean Society for Precision Engineering

This is an Open-Access article distributed under the terms of the Creative Commons Attribution Non-Commercial License (http://creativecommons.org/licenses/by-nc/3.0) which permits unrestricted non-commercial use, distribution, and reproduction in any medium, provided the original work is properly cited.

  • 28 Views
  • 1 Download
prev next
  • Most temperature indicators that use thermocouples as sensors include an internal thermometer for compensating room temperature variations. This thermometer measures ambient temperature, which is then converted to a thermoelectric voltage. This voltage is added to the electromotive force measured in the thermocouple sensor and then converted back to temperature. Although precise calibration of the indicator can be conducted in a controlled room-temperature environment, additional uncertainty arises due to room temperature compensation during actual measurements. To address this issue, we calibrated temperature indicator at the ice point. In this experiment, the indicator was placed in an environment where the temperature varied between 8 and 38°C, demonstrating its dependency on ambient temperature. In a second set of experiments, we shorted the thermocouple input terminal to verify whether the indicator correctly indicated the ambient temperature. This study proposed a method to assess additional uncertainty that must be considered when using a thermocouple connected to an indicator calibrated with an external ice point in a laboratory. It also highlights additional steps and factors to consider during the calibration of temperature indicators that employ internal temperature compensation.
열전대 온도 지시계(이하 “지시계”)는 열전대 센서의 측온접점과 기준접점 사이에서 발생하는 열기전력을 측정하여 측온접점에서의 온도를 지시하는 장치이다. 이상적인 기준접점은 0°C의 빙점이지만, 대부분의 지시계는 기준접점이 상온인 지시계 표면에 위치해 있고 내부의 상온 보상 기능을 사용하여 0°C와 상온의 차이를 보상한다. 이때, 열전대를 지시계에 연결하는 단자 위치에서의 온도에 따라서 열전대에서 발생하는 열기전력의 크기가 다르다. 따라서, 지시계 내부의 연결 단자와 가까운 위치에 상온 보상을 위한 온도계가 설치되어 있다. 이 온도계에서 측정된 온도는, 사용한 열전대의 종류에 따른 규준표에 따라 빙점으로부터 해당 온도까지의 열기전력으로 환산된다. 이 환산된 열기전력에 열전대에서 측정된 열기전력을 더하고, 이렇게 더해진 열기전력은 다시 열전대의 종류에 따른 규준표를 통해 온도로 환산된다. 최종적으로 이 환산된 온도가 지시계에 표시된다.
이상적인 상온 보상을 위한 내부 온도계는 연결 단자의 온도를 정확히 측정하여 내부 보상이 온도 측정의 정확도에 영향을 미치지 않아야 한다. 이 온도계가 연결 단자에서의 온도를 부정확하게 측정하더라도, 지시계가 결과적으로 지시하는 온도를 기준 온도계와 비교 교정하면 교정의 결과인 보정 값을 지시 값에 반영하여 사용할 수 있다. 지시계의 교정에 사용되는 시뮬레이터는 상온 보상 기능을 켜고 끌 수 있어서 기능을 끈 상태에서 시뮬레이터 교정이 가능하지만[1-3], 대부분의 열전대 온도 지시계는 이런 기능 없이 내부 상온 보상이 작동하는 상태에서 교정하거나 사용해야 하는 것이 일반적이다.
그러나, 이것은 교정실에서 교정 당시에 지시계가 놓인 환경의 온도와 교정 후에 지시계를 사용할 때 환경의 온도가 동일하다는 가정에서만 성립한다. 실제 상황에서 교정 후에 실제 지시계를 사용하는 온도는 교정 당시의 환경 온도와 다를 수 있으며, 그로 인해 지시계 내부의 상온 보상을 위한 온도계가 갖고 있는 편차도 달라질 수 있다. 이 경우에 교정실에서의 환경 온도를 가정한 교정 결과가 더 이상 유효하지 않을 수 있으며, 더 정확한 온도 측정을 위해서는 상온 보상용 온도계의 온도 편차에 따른 변화를 교정 결과에 반영하거나 추후 사용할 때 불확도 인자로 고려해야 한다. 현재까지 열전대 온도 지시계를 온도 센서 연결 없이 시뮬레이터만을 이용하여 전기적 방법으로 교정할 때 상온 보상 온도 센서가 불확에도 미치는 영향에 대한 연구는 있었으나[1,4], 다양한 환경 온도에서 열전대 센서가 장착된 지시계의 내부 상온 보상 온도 센서가 온도 측정에 미치는 영향에 관한 연구는 지금까지 충분히 이루어지지 않았다.
이 논문에서는 기존의 연구에서 고려하지 않았던 다양한 환경 온도에서 열전대를 센서로 하는 지시계 내부의 상온 보상용 온도계의 편차가 온도 측정에 미치는 영향을 분석하였다. 먼저 지시계에 연결된 열전대 센서로 온도를 측정할 때의 오차 모델을 수립하였다. 실험적으로 상온 보상용 내부 온도계의 편차가 온도 측정에 미치는 영향을 측정하는 두 가지 방법을 제시하며 실험 결과들을 서로 비교할 때 수립한 모델과 실험 결과 사이에 일관성이 있음을 보였다. 두 측정 방법의 장단점을 분석하고 이 실험 결과를 이용하여 지시계에서 상온 보상용 내부 온도계에 의한 불확도 인자를 추정하는 법을 논의하였다.
상온 보상 온도계가 내부에 들어 있는 열전대 온도 지시계는 내부에서 식(1)과 같이 열기전력 E(t)를 얻는다.
(1)
Et=Et1+Etr
여기서 E(t1)은 열전대 온도 지시계에 연결된 센서가 발생시키는 열기전력이고 E(tr) 은 지시계 내부에 있는 상온 보상 온도 센서가 측정한 온도 tr을 0°C에서 tr까지의 해당 열전대의 열기전력으로 환산한 값이다. 열전대 온도 지시계는 내부에 IEC 60584-1 [5]이나 ASTM E1751, E230 [6,7] 등과 같은 표준 문서에 따라서 열전대 종류에 맞게 열기전력을 온도로 변환해 주는 함수를 갖고 있으며, 이 함수를 이용하여 식(1)과 같이 계산된 열기전력을 온도 값으로 환산하여 표시해준다.
2.1 열전대 측정접점이 빙점에 담겨 있을 때
만약 지시계에 연결된 열전대의 측정 접점이 빙점(0°C)에 담겨 있고 열전대 온도 지시계가 0°C보다 높은 상온 tr에 놓여 있다면, 이상적으로 식(1)E(t1)은 0°C에서 tr사이에서 발생하는 열기전력에 음수를 취한 값이다 (즉, –E(tr)). 또, 내부 상온 보상 온도 센서가 tr을 정확하게 측정하고 있다면 식(1)에서 우변에 있는 두 기전력의 합은
(2)
Et=-Etr+Etr=0
이 되므로 지시계는 0°C를 표시하게 된다.
그러나, 실제 측정에서는 여러가지 요인에 의해서 0°C 가 아닌 값이 표시될 수 있다. 첫 번째 요인은 지시계에 연결된 열전대 센서가 지시계 내부에 갖고 있는 규준 열전대 테이블과 다른 열기전력을 발생하는 경우이다. 두 번째는 지시계가 열기전력을 부정확하게 재는 경우이다. 세 번째는 지시계 내부의 상온 보상 온도 센서가 정확한 상온 tr이 아닌 다른 온도 tr'을 측정하게 되거나 지시계에 센서를 연결하는 단자 부위와 상온 보상 온도 센서의 위치 차이로 인해서 상온 보상 온도 센서에서는 실제 상온인 tr과는 차이가 있는 온도인 tr'을 측정하게 되는 경우이다. 위의 세 가지를 고려하면 실제로 열전대 온도 지시계가 상온 보상을 하고 나서 최종적으로 계산하는 열기전력은 식(3)과 같다. Fig. 1에 발생하는 기전력을 도식적으로 나타내었다.
(3)
E't=-Etr+δtEtr+δEEtr+Etr'
Fig. 1

Measurement model of temperature indications in thermocouple indicators calculated using room temperature compensation. The symbols used are defined in the main text

KSPE_2025_v42n1_39_f001.jpg
여기서 δEE(tr)은 사용한 열전대가 규준 테이블에서 벗어나는 정도이며 tr의 함수이다. δEE(tr)은 열전대 온도 지시계가 기전력을 잘못 측정하는 정도이며 역시 tr의 함수이다. E(tr')은 상온 tr의 온도를 tr'이라고 측정한 상온 보상 온도 센서 결과에 의해서 보상해주는 기전력이다. trtr'은 다르기는 해도 열전대 온도 지시계가 완전히 고장난 경우가 아니라면 상당히 가깝다고 가정할 수 있으므로 trtr'사이에서 제벡 계수가 S(tr)로 일정하다고 가정하여 E(tr')를 식(4)와 같이 근사할 수 있다.
(4)
Etr'=Etr+Strtr'-tr
식(4)식(3)에 대입하여 식(5)를 얻는다.
(5)
E't=Strtr'-tr+δtEtr+δEEtr
식(5)의 각 항은 0에 가까운 값이다. 따라서, 그 합인 E'(t)도 0에 가까운 값이다. 그러므로, 0에서 E'(t)사이에 제벡 계수가 S(0°C)로 일정하다고 근사하면, 지시계가 표시하는 온도를 식(6)과 같이 계산할 수 있다.
(6)
tind =1S0CStrtr'-tr+δtEtr+δEEtr
즉, 위에서 정리한 세 가지 요인에 의해서 지시계는 정확한 빙점의 온도인 0°C가 아니라 0°C 근처의 tind를 표시한다. 여기서 S(tr)(tr' – tr)항과 δEE(tr)항은 지시계에 의해서 발생하는 오차이고, δtE(tr)항은 열전대 센서에 의해서 발생하는 오차이다.
2.2 지시계 단자를 단락 시킬 때
열전대 온도 지시계의 단자에 열전대 센서를 연결하지 않고 짧은 구리선을 연결하여, 열전대에서 발생한 기전력을 0 μV으로 강제하는 경우를 생각해보자. 이상적인 경우라면 열전대에서 발생하는 기전력이 0이므로 식(1)로부터 식(7)과 같이 기전력 E(tr)을 얻는다.
(7)
Et=0+Etr=Etr
즉, 상온 tr에 해당하는 만큼의 열기전력이 내부에서 계산되어 열전대 온도 지시계에서는 상온 tr을 정확하게 지시하게 된다. 그러나, 실제로는 지시계가 열기전력을 δEE(0)만큼 부정확하게 재는 요인과 상온 보상 온도 센서가 상온 trtr'로 부정확하게 재는 요인이 결합되어 식(8)과 같은 기전력 E'(tr)이 발생하게 된다.
(8)
E'tr=δEE0+Etr+Strtr'-tr
즉, E(tr)항만 있다면 열전대 온도 지시계가 정확하게 상온 tr을 지시하는 것에 비해, δEE(0) 항과 S(tr)(tr' – tr)항 때문에 지시계가 상온에서 약간 벗어난 온도를 지시하게 된다. 이 두항에 의해 발생하는 오차를 온도로 환산하면 식(9)와 같다.
(9)
Δt=δEE0Str+tr'-tr
식(9) 우변의 두 항은 모두 열전대 온도 지시계가 원인이 되어 발생하는 것으로 첫번째 항은 열전대 온도 지시계가 열기전력을 잴 때의 오차에 의해서 발생하며, 두번째 항은 열전대 내부의 상온 보상 온도 센서의 부정확함에 의해서 발생한다.
3.1 열전대 온도 지시계 및 열전대
본 실험에서는 두 개의 지시계를 사용하였다. TESTO의 모델 922를 지시계 A로 지정하였으며, Fluke의 모델 51을 지시계 B로 지정하였다. 두 지시계의 온도 분해능은 0.1°C이며, 작동 온도 범위는 각각 (−20~50°C)와 (−10~50°C)이다. 열전대로는 서로 다른 K형 센서 두 개를 각각 TC 1과 TC 2로 지정하여 사용하였다.
3.2 환경 온도 단열 챔버
환경 온도 설정 및 유지를 위해 Fig. 2와 같이 단열 챔버를 구성하였다. 환경 온도는 8, 15, 23, 30, 38°C의 총 5개의 온도를 설정하였다. 일반적인 교정실의 온도가 23 정도이므로, 이를 기준으로 하여 아래위 15°C 범위를 상정하여 온도 범위를 선택하였다. 이는 온도 제어가 되지 않는 실내 환경의 최저, 최고 온도와 비슷한 범위라고 할 수 있다. 또한 물을 순환시켜서 챔버 내부의 온도를 조절할 때 이슬이 많이 맺히지 않은 상태에서 쉽게 얻을 수 있는 온도 범위이기도 하다. 이와 같이 환경 온도 단열 챔버의 온도 변화를 주었을 때 K형 열전대를 연결한 온도 지시계의 지시 값을 읽는 실험(4.1 절)과 열전대 온도 지시계의 센서 연결 단자대 부분을 단락시켰을 때의 지시 값을 읽는 실험(4.2절)을 실시하였다. 각 설정 온도에서 실험할 때 충분히 좋은 온도 구배와 안정도를 얻기 위하여 약 8시간 정도 기다렸다. 기준 온도 센서를 이용하여 측정한 단열 챔버의 온도 구배는 0.02, 온도 안정도는 0.1°C이었다.
Fig. 2

Experimental setup for calibrating temperature indicators using an environmental temperature chamber

KSPE_2025_v42n1_39_f002.jpg
환경 온도 단열 챔버의 온도 설정과 유지를 위해 소형 항온조인 LAUDA의 모델 E100/RE104 (설정 온도 분해능: 0.1°C)에서 나오는 물을 단열 챔버 안에 설치된 구리관 내에 순환시켰고 팬(Fan)으로 구리관 외벽 주변의 공기를 단열 챔버 내부로 강제 순환시키는 방법을 사용하였다. 가장 높은 설정 온도인 38°C에서 온도 안정도가 다른 온도에 비해서 좋지 않게 나왔는데, 이를 개선하기 위해 Fig. 2에 나타낸 바와 같이 추가적인 히터를 설치하였다. 구리관에 히터를 접촉시키고 히터가 발생하는 열량을 제어하였다. 히터의 열량 제어는 단열 챔버 내부에 제어용 온도계를 추가로 설치하고 PID제어 기능이 있는 온도조절계 Lakeshore의 모델 331을 활용하여 제어 온도계가 일정한 온도를 유지하도록 히터에 흐르는 전류를 제어하는 방식으로 이루어졌다.
단열 챔버 안의 온도를 측정하기 위해 기준 온도 센서인 저항 온도계와 저항 측정 장치를 사용하였다. 기준 온도 센서는 Fluke의 명목 저항값 100 Ω의 백금 저항 온도계인 모델 5622이다. 저항 온도계는 저항 측정 장치인 Fluke의 모델 1529에 연결하여 저항을 측정하였으며, 이 장비의 분해능은 0.0001Ω이다. 2개의 기준 온도 센서로 환경 온도 단열 챔버 안의 실시간 온도를 PC에 연결하여 측정하였다. 실험에 사용한 환경 온도 단열 챔버는 자체 제작하였으며 기본적으로 직육면체 형태이다. 뚜껑을 포함한 여섯 면은 두께 50 mm의 아이소핑크 단열재를 각각 두께 10과 5 mm인 아크릴 재질의 외벽과 내벽으로 감싼 구조이며, 측정선과 구리관을 위한 최소한의 구멍을 뚫었다. 챔버의 바깥 규격은 가로 430, 세로 310, 높이 315 mm이며, 내벽 규격은 가로 300, 세로 180, 높이 205 mm이다.
3.3 빙점조
실험에 사용한 빙점조는 일반적인 열전대 기준 접점에 사용되는 빙점 듀어(Dewar)이며, 바깥 규격은 지름 130, 높이 365 mm이다. 내부 규격은 지름 100, 높이 280 mm이다. 실험 중에 매일 빙점조를 비우고 새로운 얼음을 넣어서 빙점을 유지하였다.
4.1 환경 온도 변화에 따른 지시계의 빙점 지시 값
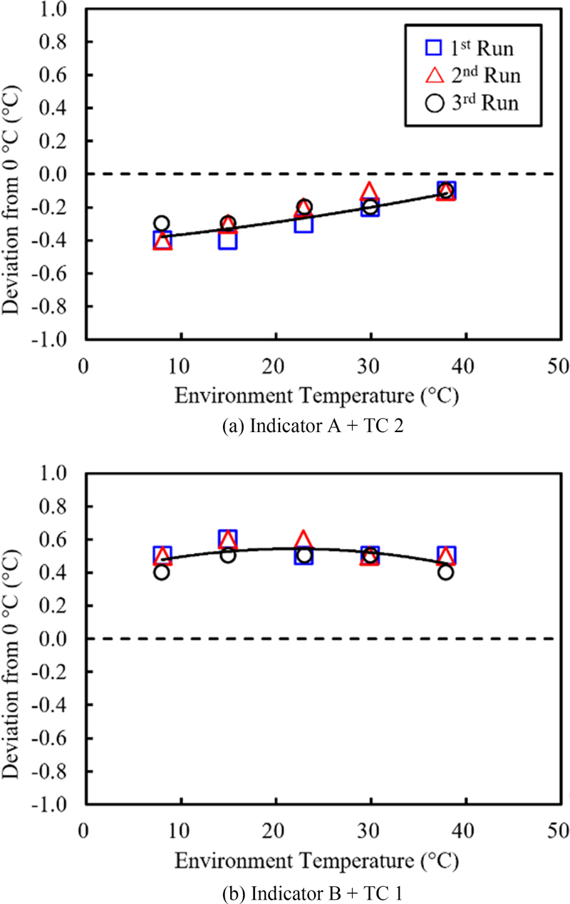
8-38°C의 범위 내에서 환경 온도가 변할 때 지시계에 K형 열전대를 연결하여 0°C 온도에 해당하는 지시 값을 관찰하였다. 이때 지시계의 지시온도는 식(6)tind에 해당하는 값이다. Fig. 3tind와 0°C의 차이를 환경 온도에 대한 함수로 그린 것이다. Figs. 3(a)는 지시계 A에 TC 1을 연결하여 3회 측정한 것이고, 3(b)는 지시계 B에 TC 2를 연결하여 3회 측정한 것이다. 곡선으로 표시한 것은 3회 측정한 결과를 평균하여 내삽한 것이다.
Fig. 3

Deviation of indicated temperature from 0°C for the combination of (a) indicator A with TC 1 and (b) indicator B with TC 2

KSPE_2025_v42n1_39_f003.jpg
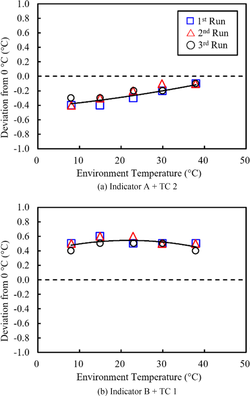
이 측정이 끝난 후에는 TC 1과 TC 2를 교환하여 지시계 A와 TC 2, 지시계 B와 TC 1의 조합으로 마찬가지로 3회 측정하였고, 그 결과를 Figs. 4(a)4(b)에 각각 나타내었다.
Fig. 4

Deviation of indicated temperature from 0°C for the combination of (a) indicator A with TC 2 and (b) indicator B with TC 1

KSPE_2025_v42n1_39_f004.jpg
Figs. 34에서 지시계의 지시 값 tind가 정확하게 0°C이 나오지 않는 것은 2장에서 기술한 여러가지 원인을 생각할 수 있으나, 보통은 교정을 해서 보정값을 부여하므로 전혀 문제가 되지 않는다. Figs. 34의 핵심 결과는 지시 값이 환경 온도에 의존해서 변한다는 것이다. 지시계와 열전대의 조합에 따라 상온 환경(23°C)에서 지시 값과 비교했을 때, 온도가 0.2에서 0.4°C까지 변할 수 있으며, 이러한 변화가 반복성 있게 관찰되었다.
지시계 A와 TC 1의 조합으로 빙점을 측정하는 경우 지시계의 지시 값을 식(6)에 첨자를 붙여서 식(10)과 같이 쓸 수 있다.
(10)
tind,A,1=1S0CStrtr,A'-tr+δt,1Etr+δE,AEtr
여기서, 각 항에서 지시계의 특성인 것은 첨자 A로 표시하고, 열전대의 특성인 것은 첨자 1로 표시하였다. 일반적으로, 지시계 X (X = A 혹은 B)와 TC i (i = 1 혹은 2)를 조합한 실험에서 지시계의 지시 값을 식(11)과 같이 나타낼 수 있다.
(11)
tind ,X,i=1S0CStrtr,X'-tr+δt,iEtr+δE,XEtr
지시계 A와 TC 1을 조합한 식(11)에서 지시계 A와 TC 2를 조합한 식(11)을 빼면 식(12)를 얻는다.
(12)
tind, A,1-tind ,A,2=1S0Cδt,1Etr-δt,2Etr
또, 지시계 B와 TC 1을 조합한 식(11)에서 지시계 B와 TC 2를 조합한 식(11)을 빼면 식(13)을 얻는다.
(13)
tind ,B,1-tind ,B,2=1S0Cδt,1Etr-δt,2Etr
식(12)식(13)의 우변은 지시계 의존성 없이 TC 1과 TC 2의 특성 차이에만 의존하고 그 값이 동일하다. 따라서, tind,A,1tind,A,2tind,B,1tind,B,2는 이 모델에 의하면 같은 값이어야 한다. 실제 지시 값의 차이를 이용하여 두 값을 계산한 결과를 Table 1에 제시하였다. 두 값 간의 차이가 거의 없거나 지시계의 분해능인 0.1°C 이내에서 잘 일치하는 것을 확인하였다.
Table 1

Characteristic differences between TC 1 and TC 2 as estimated from measurements using two different indicators

Table 1
tr (°C) tind,A, 1tind,A, 2 (°C) tind,B, 1tind,B, 2 (°C)
8 0.2 0.1
15 0.2 0.2
23 0.2 0.2
30 0.3 0.3
38 0.4 0.4
마찬가지로 지시계 A와 TC 1을 조합한 식(11)에서 지시계 B와 TC 1을 조합한 식(11)을 빼면 식(14)를 얻는다.
(14)
tind,A,1-tind,B,1=1S0CStrtr,A'-tr,B'+δE,AEtr-δE,BEtr
또, 지시계 A와 TC 2를 조합한 식(11)에서 지시계 B와 TC 2를 조합한 식(11)을 빼면 식(15)를 얻는다.
(15)
tind,A,2-tind,B,2=1S0CStrtr,A'-tr,B'+δE,AEtr-δE,BEtr
식(14)식(15)의 우변은 열전대 의존성 없이 지시계 A와 지시계 B의 특성 차이에만 의존하고 그 값이 동일하다. 따라서, tind,A, 1tind,B, 1tind,A, 2tind,B, 2는 이 모델에 의하면 같은 이어야 한다. 실제 지시 값의 차이를 이용하여 두 값을 계산한 결과를 Table 2의 두 번째, 세 번째 열에 나타내었다. 두 값간의 차이가 거의 없거나 지시계의 분해능인 0.1°C 이내에서 잘 일치하는 것을 확인하였다.
Table 2

Characteristic differences between Indicator A and Indicator B as estimated from measurements using two different thermocouple sensors

Table 2
tr (°C) tind,A, 1tind,B, 2 (C) tind,A, 2tind,B, 2 (°C) tA – ∆tB (°C)
8 −0.7 −0.8 −0.8
15 −0.7 −0.7 −0.6
23 −0.5 −0.5 −0.3
30 −0.4 −0.4 −0.1
38 −0.1 −0.2 0.1
4.2 지시계 측정 단자를 단락할 때 상온 지시 값
환경 온도가 변화할 때 상온 보상을 위한 내부 온도 센서의 정확도가 지시계와 열전대를 이용한 온도 측정에 영향을 미친다는 것을 확인하기 위하여 추가 실험을 진행하였다. 이 실험에서는 지시계의 열전대 연결 단자대에 짧은 구리선을 연결하여 단락시켜서 외부 열전대에서 발생하는 열기전력을 0 μV인 상황으로 만들었다. 이 때 지시계의 지시온도는 이상적으로는 내부 상온 보상 온도계가 측정한 온도 tr 그대로가 되지만, 실제로는 이상적인 값과 식(9)의 ∆t에 해당하는 만큼 차이가 난다. Figs. 5(a)5(b)에 지시계 A와 B에 대해서 이 측정을 수행한 결과를 표시하였다.
Fig. 5

Temperature difference between the indicated value and the reference temperature when the thermocouple junction of the indicator was shorted

KSPE_2025_v42n1_39_f005.jpg
식(9)를 이용하여 지시계 A로 이 실험을 했을 때의 상온 지시 값과 기준 상온값의 차이인 ∆tA와, 지시계 B로 이 실험을 했을 때의 상온 지시 값과 기준 상온값의 차이인 ∆tB의 차이를 구하면 식(16) 같다.
(16)
ΔtA-ΔtB=δE,AE0-δE,BE0Str+tr,A'-tr,B'
한편 0에서 38°C 구간에서 K형 열전대 제벡 계수가 39.45 μV/°C에서 40.94 μV/°C로 거의 변동이 없으므로 [5] 본 실험 온도 구간에서의 K형 열전대의 제벡 계수는 거의 일정하다고 가정할 수 있다. 따라서, S(0°C)≈S(tr)로 근사하면 식(14)식(15)의 우변을 식(17)과 같이 좀 더 간단하게 나타낼 수 있다.
(17)
tr,A'-tr,B'+δE,AEtr-δE,BEtrStr
식(17)식(16)을 종합하면, 4.1절의 실험에서 tind,A, 1tind,B, 1 혹은 tind,A, 2tind,B, 2와 4.2절의 실험의 ∆tA – ∆tB의 차이는 다음과 같다.
(18)
1StrδE,AEtr-δE,BEtr-δE,AE0-δE,BE0
이 항은 열전대 온도 지시계가 기전력을 부정확하게 측정하기 때문에 생기는 항으로써 tr = 0일 때 0이며, tr이 커질수록 그 값이 커지는 항이다.
4.2절의 실험에서 관찰한 ∆tA – ∆tBTable 2의 마지막 열에 나타내었다. 두번째, 세번째 열의 값과 비교해보면 예상과 같이 이 값은 tr이 낮을 때에는 (0에 가까울 때에는) 서로 비슷하거나 지시계의 분해능인 0.1°C 정도 차이가 발생하는 것을 확인하였다. 그러나, 상온인 23°C를 기준으로 높은 tr에서 마지막 열의 값이 두번째, 세번째 열의 값과 0.2에서 0.3°C의 차이로 조금씩 벌어지는 것을 관찰할 수 있다. 이는 식(18)에 표시한 차이 값이 커질수록 0에서 멀어지기 때문이며, 이로써 본 실험에서 수립한 모델이 일관성 있게 성립함을 보여주고 있다.
4.3 불확도 평가
열전대 온도 지시계를 교정하거나 지시계를 이용하여 온도를 측정할 때, 내부 상온 보상 온도 센서로 인한 불확도 인자를 측정하는 두 가지 방법을 제시하였다.
4.1절에 제시한 첫번째 방법은 빙점을 이용하여 다양한 환경 온도에서 0°C를 측정할 때 지시 값의 변화를 이용하는 방법이다. 예를 들어, (8-38)°C 영역에서 TC 1을 이용하여 본 논문의 지시계 A를 측정한 결과, 23°C의 상온에 비해 −0.2~0.3°C의 편차가 관찰되었다. 이때, 양 극단의 편차 중 절대값이 큰 값인 0.3°C를 반폭으로 하는 직사각형 분포를 사용하여 내부 상온 보상 온도 센서에 대한 불확도 평가를 수행할 수 있다. 그러나, 이 방법은 빙점을 측정할 때 사용하는 열전대의 특성에 따라 결과가 다소 달라질 수 있다. 만약 TC 2를 이용하여 동일한 방식으로 불확도 평가를 수행했다면, 상온에 비해 −0.2~0.1°C의 편차가 관찰되어 0.2°C를 반폭으로 하는 직사각형 분포를 사용하여 불확도 평가를 할 수 있을 것이다. IEC 60584 등에서[5-7] 정한 규준 함수를 잘 따르는 열전대를 선별해 놓고 불확도 평가에 사용하는 것도 한 방법이다. 이 방법의 장점은 환경 온도 tr을 정확하게 결정할 필요가 없다는 점이다.
4.2절에 제시한 두 번째 방법은 지시계의 열전대 입력 단자를 단락하여 지시계의 지시 값과 기준 온도계로 측정한 상온을 비교하는 방법이다. 이 방법은 빙점을 따로 준비할 필요가 없다는 장점이 있지만, 환경 온도 tr을 지시계의 지시 값과 직접 비교해야 하기 때문에 환경 온도 측정의 정확도가 불확도 인자의 크기를 결정하는 데 직접적으로 영향을 미친다는 단점이 있다. 즉, 이 방법에서는 기준 온도를 측정하는 데 있어서 0.1°C의 편차가 내부 상온 보상 온도계로 인한 측정의 편차 0.1°C로 이어진다. 하지만, 부피가 있는 열전대 온도 지시계 내부에서 상온 보상 온도계가 위치한 지점의 온도를 0.1°C의 불확도로 측정하는 것은 어려운 일이다. 따라서, 이 방법을 교정에 직접 적용할 경우, 기준 온도의 정확한 측정을 위해 단열 챔버의 온도가 안정할 때까지 오래 기다려야 하므로 교정에 소요되는 시간이 더 증가할 수 있다.
본 연구에서는 다양한 환경 온도에서 열전대 온도 지시계 내부에 있는 상온 보상 온도계가 온도 측정에 미치는 영향을 실험적으로 보임으로써 온도 지시계를 교정할 때 불확도 인자를 산출하는 방법을 연구하였다. 교정된 열전대 온도 지시계를 사용할 때도 논문에서 제시한 실험 방법으로 이 인자를 산출하고 교정 불확도에 추가하여 사용에서의 불확도를 평가할 수 있을 것이다.
실험 결과, 정해진 지시계와 열전대의 조합에 대해서 빙점 측정 시 환경 온도가 변할 때 지시 값이 반복성 있게 변화하는 것을 확인하였다. 측정 결과의 일관성을 확인하기 위해 4.1절에서 측정한 결과를 이용하여 센서 간의 특성 차이와 지시계 간의 특성 차이에 대한 비교를 한 결과, 모델에서 예측한 값과 실제 지시 값을 이용해 계산한 값 사이의 차이가 거의 없거나 지시계의 분해능 내에서 일치함을 확인하였다. 4.2 절의 측정 결과와 4.1절의 측정 결과를 비교했을 때 측정 모델에서 예측한 바와 같이 발생하는 열기전력이 커질수록 열전대 온도 지시계의 기전력 측정 오차가 커지고 두 측정 결과가 예측 가능한 경향을 보이며 차이나는 것도 확인하였다. 이런 결과들은 본 연구의 2장에서 서술한 모델이 실험 결과를 일관성 있게 설명하는 데 적합하다는 것을 보여준다.
이 연구의 결과로 내부 상온 보상 온도 센서로 인한 불확도 인자를 결정하는 방법으로는 4.1 절에 제시한 대로 표준 규준함수를 잘 따르는 특성을 가진 열전대를 이용하여 환경 온도에 따른 빙점 지시 값의 변화를 읽는 방법을 권장한다. 아울러, 본 방법으로 상온 보상 온도 센서로 인한 불확도 인자를 평가했는지 여부와 관계없이, 열전대 지시 온도계를 교정할 때 명시된 환경 온도를 벗어나서 사용하는 경우 교정 결과가 불확도 내에서 유효하지 않을 수 있음을 교정성적서에 명시하는 것이 바람직하다. 만약 교정 당시의 환경 온도에서 벗어난 온도에서 측정을 하게 된다면, 해당 온도에서 빙점 측정을 통해 교정성적서에서 제시한 보정값에서 얼마나 벗어나는지를 산출하여 추가 불확도에 반영하는 것이 좋은 한 방법이다.
이 논문은 2024 년도 한국표준과학연구원의 ‘음향기체온도계 기반 열역학 온도 측정’의 지원을 받아 연구되었음(No.24011029).
  • 1.
    European Association of National Metrology Institute (EURAMET), (2011), Guidelines on the Calibration of Temperature Indicators and Simulators by Electrical Simulation and Measurement, (EURAMET cg-11). https://www.euramet.org/publications-media-centre/calibration-guidelines
  • 2.
    Oh, K.-S., Lee, W.-H., (2016), A study on the calibration technique of an electrical temperature calibrator, Journal of Institute of Control, Robotics and Systems, 22(11), 944-951.
    10.5302/J.ICROS.2016.16.0151
  • 3.
    Chen, X., Sun, L., Ling, Y., (2018), A calibration method for thermocouple-temperature calibrator based on cold junction calibrator, Proceedings of IEEE 8th Annual International Conference on CYBER Technology in Automation, Control, and Intelligent Systems, 1118-1121.
    10.1109/CYBER.2018.8688253
  • 4.
    Wu, J., Ma, Z., Gao, W., Ma, W., Zhu, C., Zhong, Y., (2022), Temperature indicators field calibration method based on an integrated thermostat with cold junction compensation, Journal of Physics: Conference Series, 2229(012019), 944-951.
    10.1088/1742-6596/2229/1/012019
  • 5.
    IEC 60584-1, (2013), Thermocouples - Part 1: EMF specifications and tolerances.
  • 6.
    ASTM E1751/E1751M-20, (2020), Standard guide for temperature electromotive force (emf) tables for non-letter designated thermocouple combinations.
  • 7.
    ASTM E230/E230M-17, (2017), Standard specification for temperature-electromotive force (emf) tables for standardized thermocouples.
Joo Gyeong Kang
KSPE_2025_v42n1_39_bf001.jpg
Ph.D. candidate in the Department of Precision Measurement, University of Science and Technology. Her research interest is precision engineering.
Young Hee Lee
KSPE_2025_v42n1_39_bf002.jpg
Principal Research Engineer in the Thermometry and Fluid Flow Metrology Group, Korea Research Institute of Standards and Science. Her research interest is calibration of contact thermometers.
Inseok Yang
KSPE_2025_v42n1_39_bf003.jpg
Professor in the Department of Precision Measurement, University of Science and Technology. Principal Research Scientist in the Thermometry and Fluid Flow Metrology Group, Korea Research Institute of Standards and Science. His research interest is international temperature scale and thermodynamic temperature measurement.

Download Citation

Download a citation file in RIS format that can be imported by all major citation management software, including EndNote, ProCite, RefWorks, and Reference Manager.

Format:

Include:

Effect of the Internal Thermometer for Room Temperature Compensation on the Calibration Uncertainty of Thermocouple Indicators
J. Korean Soc. Precis. Eng.. 2025;42(1):39-45.   Published online January 1, 2025
Download Citation

Download a citation file in RIS format that can be imported by all major citation management software, including EndNote, ProCite, RefWorks, and Reference Manager.

Format:
Include:
Effect of the Internal Thermometer for Room Temperature Compensation on the Calibration Uncertainty of Thermocouple Indicators
J. Korean Soc. Precis. Eng.. 2025;42(1):39-45.   Published online January 1, 2025
Close

Figure

  • 0
  • 1
  • 2
  • 3
  • 4
Effect of the Internal Thermometer for Room Temperature Compensation on the Calibration Uncertainty of Thermocouple Indicators
Image Image Image Image Image
Fig. 1 Measurement model of temperature indications in thermocouple indicators calculated using room temperature compensation. The symbols used are defined in the main text
Fig. 2 Experimental setup for calibrating temperature indicators using an environmental temperature chamber
Fig. 3 Deviation of indicated temperature from 0°C for the combination of (a) indicator A with TC 1 and (b) indicator B with TC 2
Fig. 4 Deviation of indicated temperature from 0°C for the combination of (a) indicator A with TC 2 and (b) indicator B with TC 1
Fig. 5 Temperature difference between the indicated value and the reference temperature when the thermocouple junction of the indicator was shorted
Effect of the Internal Thermometer for Room Temperature Compensation on the Calibration Uncertainty of Thermocouple Indicators

Characteristic differences between TC 1 and TC 2 as estimated from measurements using two different indicators

tr (°C) tind,A, 1tind,A, 2 (°C) tind,B, 1tind,B, 2 (°C)
8 0.2 0.1
15 0.2 0.2
23 0.2 0.2
30 0.3 0.3
38 0.4 0.4

Characteristic differences between Indicator A and Indicator B as estimated from measurements using two different thermocouple sensors

tr (°C) tind,A, 1tind,B, 2 (C) tind,A, 2tind,B, 2 (°C) tA – ∆tB (°C)
8 −0.7 −0.8 −0.8
15 −0.7 −0.7 −0.6
23 −0.5 −0.5 −0.3
30 −0.4 −0.4 −0.1
38 −0.1 −0.2 0.1
Table 1 Characteristic differences between TC 1 and TC 2 as estimated from measurements using two different indicators
Table 2 Characteristic differences between Indicator A and Indicator B as estimated from measurements using two different thermocouple sensors