Skip to main navigation Skip to main content
  • E-Submission

JKSPE : Journal of the Korean Society for Precision Engineering

OPEN ACCESS
ABOUT
BROWSE ARTICLES
EDITORIAL POLICIES
FOR CONTRIBUTORS
REGULAR

휴대용 광학 장비의 시선 안정화 제어기 설계 시뮬레이션 연구

imulation Study on Line-of-sight Stabilization Controller Design for Portable Optical Systems

Journal of the Korean Society for Precision Engineering 2025;42(2):175-183.
Published online: February 1, 2025

1 연세대학교 기계공학과

2 이오시스템 종합연구소

1 Department of Mechanical Engineering, Yonsei University

2 Research & Development Center, EOsystem

#E-mail: junyoung.yoon@yonsei.ac.kr, TEL: +82-2-2123-2817
• Received: October 24, 2024   • Revised: November 9, 2024   • Accepted: November 13, 2024

Copyright © The Korean Society for Precision Engineering

This is an Open-Access article distributed under the terms of the Creative Commons Attribution Non-Commercial License (http://creativecommons.org/licenses/by-nc/3.0) which permits unrestricted non-commercial use, distribution, and reproduction in any medium, provided the original work is properly cited.

  • 155 Views
  • 7 Download
prev next
  • This paper presents a line-of-sight (LOS) stabilization control method for portable optical systems by analyzing fast steering mirror, image sensor, and gyro sensor system. To compensate for LOS errors caused by hand tremors in portable optical systems, we present the configuration of an image sensor-based LOS stabilization control system and a control strategy considering the phase delay effect caused by low sampling frequency of the image sensor. The phase delay effect of the image sensor caused restricted bandwidth, which limited the stabilization performance. To overcome such limitations, we present disturbance feedforward control using the gyro sensor and controller design method considering characteristics of the gyro sensor. Through overall system modeling, we constructed a control simulation model. The LOS stabilization performance against hand tremor disturbances was analyzed based on the proposed controller design. Simulation results demonstrated that integrating a gyro sensor-based disturbance feedforward control with the image sensor-based LOS stabilization control significantly enhanced the stabilization performance.
다양한 첨단 영상 및 광학 장비는 구조 진동 및 대기 외란 등의 외부 환경에서도 정밀한 목표 지향 및 높은 품질의 영상 획득을 위해 시선(Line-of-sight, LOS) 안정화 시스템이 요구된다[1-3]. 김발 시스템은 시선 안정화를 위한 가장 대표적인 장비로 많은 분야에서 널리 사용되지만, 상대적으로 큰 구동 부하로 인한 제한된 구동대역폭으로 안정화 성능의 한계점을 가지고 있다[1,4].
장비 요구 성능의 고도화와 소형/경량화 시스템 기술 개발의 필요성 증대로 개인이 휴대하여 운용할 수 있는 휴대용 광학 장비의 개발에 대한 소요가 점차 증가함에 따라서, 이를 위한 LOS 안정화 시스템 기술 개발도 활발히 진행 중에 있다[5-7]. 따라서 최근에는 고속 조준 거울(Fast Steering Mirror, FSM)과 센서를 탑재한 적응 광학 시스템을 통해서 광학계의 광 경로상에서 LOS 안정화를 직접적으로 수행하여 높은 LOS 안정화 성능을 확보하고자 하는 연구들이 활발히 진행 중에 있다[1,4,7,8].
휴대용 장비 운용 시 인체의 손 떨림에 의해 발생하는 진동 외란은 LOS 안정화 성능을 저해하는 주요 요인 중 하나이다. 이를 해결하기 위해서 적응 광학 시스템에서는 일반적으로 CCD 카메라 등의 이미지 센서를 활용하여 LOS 안정화 제어를 수행한다. 하지만, 이미지 센서는 상대적으로 낮은 샘플링 주파수와 그에 따른 높은 시간 지연을 가지며, 이는 안정화 대역폭의 범위를 제한하여 LOS 안정화 성능의 한계를 가지게 한다[9,10].
LOS 안정화 성능을 향상시키기 위해서 Sliding Mode Control (SMC), Linear Quadratic Gaussian (LQG), Disturbance Observer (DOB) 등의 제어 알고리즘을 적용하여 피드백 제어 성능을 향상시키고자 하는 많은 선행연구들이 있었다[10,11]. 이러한 제어기들은 제어 대역폭 내에서는 향상된 외란 저감 능력을 가지지만, 대역폭 밖의 고주파 영역에 존재하는 진동 외란 저감은 어렵다는 한계점을 가진다.
이를 해결하기 위해서 가속도계, 자이로 센서 등의 상대적으로 높은 샘플링 주파수를 가지는 관성 측정 센서 기반으로 외란 피드포워드 제어기를 추가하여 진동 외란을 보상하는 연구들이 제시되었다[9,12,13]. 외란 피드포워드 제어는 피드백 제어 시스템의 루프 안정성에 영향을 주지 않으면서도 넓은 주파수 영역에서 효과적인 외란 저감 성능을 가진다는 장점이 있지만, 효과적인 성능 확보를 위해서는 시스템 모델에 대한 이해와 이를 기반으로 한 정교한 설계가 필요하다. 해당 선행 연구들은 외란 피드포워드 제어기 설계 방안 연구에 집중하여 좋은 효과를 보여주었지만, 외란 억제를 위한 안정화 제어기 및 FSM 제어기 설계 방안, 그리고 시스템에 대한 분석 등의 통합적인 관점에서 제한적으로 기술되었다.
휴대용 광학 장비에 발생하는 저주파, 큰 진폭의 손 떨림 외란을 저감하여 정밀한 LOS 안정화 성능을 확보하기 위해서는 손 떨림 외란의 주파수보다 충분히 큰 안정화 대역폭과 외란 억제 성능이 요구된다. 이를 위해서는 광학 장비의 LOS 안정화 시스템에 대한 이해와 시스템 특성을 고려한 안정화 제어기 설계 방안이 필요하다. 따라서, 본 논문에서는 안정화 시스템을 구성하는 요소들의 특성, 모델링, 그리고 제어기 설계 방안에 대한 통합적인 분석을 통해 LOS 안정화 성능 확보 방안에 대해서 제시하였다. 휴대용 광학 장비의 손 떨림 진동에 대해 LOS 안정화 성능 확보를 위해서 LOS 안정화 시스템을 구성하는 FSM, 이미지 센서, 자이로 센서에 대한 통합적인 분석을 진행하였으며, 이를 기반으로 LOS 안정화에 필요한 FSM 제어기, LOS 안정화 제어기, 외란 피드포워드 제어기 설계 방안에 대해서 제시하였다. 또한, 각 시스템에 대한 모델링을 통해 제어 시뮬레이션 모델을 구축하여, 제어기 설계에 따른 손 떨림 외란에 대한 LOS 안정화 성능을 비교 분석하였다.
2.1 이미지 센서 기반 시선 안정화 제어기 설계
Fig. 1은 레이저를 이용한 휴대용 광학 장비의 LOS 안정화 시스템의 개략도를 보여주고 있다. LOS 안정화 시스템 내부에는 레이저를 목표에 지향하기 위한 반사 거울 등의 광학 부품들과 장비 휴대 시 손 떨림에 의해 발생하는 레이저의 LOS 오차를 관찰하기 위한 이미지 센서, 시스템의 진동을 측정하기 위한 자이로 센서, 그리고 외부 진동 상황에서 LOS를 안정화하기 위한 팁/틸트 구동을 하는 FSM으로 구성되어 있다.
Fig. 1

Schematic structure of LOS stabilization system

KSPE_2025_v42n2_175_f001.jpg
Fig. 2는 이미지 센서 기반의 LOS 안정화 제어 시스템의 블록 다이어그램을 보여주고 있다. LOS 안정화 제어 시스템은 이미지 센서 Himage(s)로부터 측정된 LOS 오차의 보상을 위해 LOS 안정화 제어기 CLOS(s)가 구성되어 있으며, 이 제어기로부터 계산된 지령을 빠르게 보상하기 위한 높은 제어 대역폭을 가지는 FSM 제어 루프가 내부에 구성된 이중 루프 형태를 가진다. FSM 피드백 제어 루프는 FSM 플랜트 PFSM(s)와 팁/틸트 회전 변위를 관찰하기 위한 센서 HFSM(s), 그리고 FSM의 피드백 제어기 CFSM(s)로 구성되어 있으며, FSM의 폐루프 전달함수 CLFSM(s)는 아래의 식(1)과 같다.
(1)
CLFSM(s)=θFSM(s)θCMD(s)=CFSM(s)PFMS(s)1+CFSM(s)PFSM(s)HFSM(s)
Fig. 2

Block diagram of LOS stabilization control loop

KSPE_2025_v42n2_175_f002.jpg
손 떨림 외란에 해당하는 D(s)는 Gd(s)의 전달함수를 통해서 시스템에 외란으로 작용하며, 이때 LOS 안정화 시스템의 외란 억제 능력은 아래의 식(2)의 민감도 함수 S1(s)와 같다.
(2)
S1(s)=θLOS(s)D(s)=Gd(s)1+LLOS(s)=Gd(s)1+CLFSM(s)CLOS(s)Himage(s)
외란에 대한 민감도 함수의 크기가 작을수록 높은 외란 억제 능력을 가지므로, LOS 안정화 성능은 LOS 안정화 시스템의 루프 전달 함수 LLOS(s)로부터 결정된다. 주어진 FSM 피드백 제어 시스템과 이미지 센서에 대해서 LOS 안정화 제어기의 설계를 통해 LLOS(s)의 크기를 크게 만들어줄수록 높은 외란 억제 능력을 가질 수 있으며, LLOS(s)의 크로스오버 주파수의 크기를 크게 만들수록 더 넓은 LOS 안정화 주파수 대역폭을 가질 수 있다.
이미지 센서는 이미지의 SNR (Signal-to-noise Ratio)을 높이기 위해서 긴 노출시간과 이미지 처리 시간이 필요로 하기 때문에, 낮은 샘플링 주파수와 그에 따른 높은 시간 지연을 가진다. f1의 샘플링 주파수를 가지는 이미지 센서는 T1 = 0.5/f1의 시간 지연을 가지며, 전달함수는 다음의 식(3)과 같이 표현된다.
(3)
Himages=e-0.5/f1s=e-T1s
이미지 센서가 가지는 시간 지연은 주파수 영역에서의 위상 지연을 발생시키며, Fig. 3은 이미지 센서의 샘플링 주파수에 따른 주파수 영역에서의 위상 지연을 보여주고 있다. 60 Hz의 샘플링 주파수를 가지는 이미지 센서의 경우 10 Hz에서 약 30 deg의 위상 지연 효과를 가지며, 샘플링 주파수가 낮아질수록 지연 효과는 더욱 커지게 된다. 이러한 위상 지연 효과는 LLOS(s)의 위상 여유를 확보하는 데에 큰 방해로 작용을 하여, 크로스오버 주파수의 크기와 그에 따른 LOS 안정화 제어 대역폭의 범위를 제한하게 된다.
Fig. 3

Phase delay in the frequency domain depending on the sampling frequency of the image sensor

KSPE_2025_v42n2_175_f003.jpg
2.2 자이로 센서 기반 외란 피드포워드 제어기 설계
Fig. 4는 이미지 센서의 낮은 샘플링 주파수에 따른 LOS 안정화 제어 성능의 한계를 극복하기 위해서 상대적으로 높은 샘플링 주파수를 가지는 자이로 센서를 활용해 외란 피드포워드 제어기가 추가된 LOS 안정화 제어 시스템의 블록 다이어그램을 보여주고 있다. 자이로 센서 Hgyro(s)는 레이저의 LOS를 직접 관측하는 것이 아닌 안정화 시스템에 전달되는 진동을 측정하며, 이는 외란 피드포워드 제어기 CFF(s)를 통해서 LOS 안정화 피드백 제어 시스템에 인가된다. 본 연구에서 손 떨림 외란에 의한 LOS 진동과 자이로 센서가 측정하는 진동 성분은 서로 동일하다 가정하였다. 이때, 외란 피드포워드 제어기가 추가된 LOS 안정화 제어 시스템의 외란 억제 능력은 식(4)의 민감도 함수 S2(s)와 같다.
Fig. 4

Block diagram of LOS stabilization control loop with disturbance feedforward control

KSPE_2025_v42n2_175_f004.jpg
(4)
S2(s)=1-CLFSM(s)CFF(s)Hgyro(s)1+CLFSM(s)CLOS(s)Himage(s)Gd(s)=S1(s)(1-CLFSM(s)CFF(s)Hgyro(s))=S1(s)Sf(s)
식(4)에서 외란에 대한 민감도 S2(s)는 기존 LOS 안정화 시스템의 민감도 S1(s)에 외란 피드포워드 제어 루프에 의한 민감도 Sf(s)가 추가된 것을 확인할 수 있다. 외란 피드포워드 제어기 CFF(s)의 설계를 통해 Sf(s)의 크기를 작게 만들어 |Sf(s)| < 1을 만족한다면, LOS 안정화 시스템의 외란에 대한 민감도는 |S2(s)| < |S1(s)|을 만족하며 기존보다 향상된 외란 억제 성능을 가질 수 있다. 따라서, 자이로 센서 기반 외란 피드포워드 제어기를 추가함으로써 기존 이미지 센서만을 활용한 LOS 안정화 제어 시스템보다 향상된 LOS 안정화 성능을 확보할 수 있음을 알 수 있다.
외란 피드포워드 제어기가 추가된 LOS 안정화 시스템의 외란 억제 성능을 최대화하기 위해서는 Sf(s)의 크기를 최대한 0에 근접하게 만들어야 하며, 이를 만족하는 피드포워드 제어기는 식(5)와 같다.
(5)
CFFs=1HgyrosCLFSMs
자이로 센서는 시스템의 진동을 측정할 수 있는 주파수 범위에 해당하는 측정대역폭 wgyro을 가지며, 측정한 신호를 처리하여 f2의 샘플링 주파수로 출력한다. 따라서, 자이로 센서의 전달함수는 다음의 식(6)과 같이 표현할 수 있다.
(6)
Hgyros=wgyros+wgyrose-0.5/f2ss
자이로 센서의 측정대역폭에 따른 Dynamics와 각속도 신호 출력 과정을 모델링하기 위해 1차 시스템에 s를 추가하였으며, 샘플링 주파수에 따른 시간 지연 효과를 식(3)과 동일하게 추가하였다. 자이로 센서의 측정대역폭과 샘플링 주파수는 일반적으로 본 연구에서 목적으로 하는 손 떨림의 주파수 영역에 비해 매우 높기 때문에, 식(6)의 오른쪽 항과 같이 s로 근사를 할 수 있다. 또한, FSM의 피드백 제어 시스템 CLFSM(s)도 손 떨림의 주파수 영역에 비해서 매우 높은 구동대역폭을 가지고 있기 때문에 CLFSM(s) ≈ 1 로 근사를 할 수 있다. 따라서, 피드포워드 제어기는 CLFF(s) ≈ 1/s 과 같이 적분기 형태로 설계를 할 수 있다. 하지만, 실제 운용 환경에서 자이로 센서의 노이즈 성분에 의한 드리프트 등의 현상들을 방지하기 위해서는 고역 필터(High Pass Filter)가 필요하다. 따라서, 피드포워드 제어기는 차단주파수 whpf를 가지는 고역 필터와 함께 다음의 식(7)과 같이 설계가 되어야 한다.
(7)
CFF(s)=ss+whpf1s=1s+whpf
고역 필터의 차단주파수의 설계에 따라서도 LOS 안정화 성능은 달라지며, 그에 대한 자세한 내용은 다음 장에서 기술한다.
3.1 시뮬레이션 모델 구성
Fig. 5는 시선 안정화 시스템의 손 떨림 외란에 대한 안정화 성능을 비교 분석하기 위해 SIMULINK를 통해 설계한 제어 시뮬레이션 모델을 보여주고 있다. 시뮬레이션 모델을 Fig. 2Fig. 4의 제어 블록 다이어그램과 동일하게 내부에는 FSM 피드백 제어 루프, 외부에는 이미지 센서 기반의 LOS 안정화 피드백 제어 루프가 구성된 이중 루프 형태로 구성하였으며, 자이로센서 기반의 외란 피드포워드 제어 루프를 추가하여 제어기 설계에 따른 성능 비교를 할 수 있도록 구성하였다. 본 시뮬레이션은 FSM의 팁/틸트 축이 서로 디커플링되어 있다는 가정하에 하나의 축에 대해서 진행하였다.
Fig. 5

LOS stabilization simulation model designed by SIMULINK

KSPE_2025_v42n2_175_f005.jpg
휴대용 시선 안정화 시스템에 외란으로 작용하는 손 떨림 진동은 10 Hz 미만의 상대적으로 저주파 영역의 성분을 가지며, 시스템에 전달되는 전달함수는 Gd(s) = 1 로 가정하였다. 이를 보상하기 위한 안정화 시스템의 FSM은 ±2.5 mrad의 구동 범위를 가지며, 무부하 상태에서 2000 Hz의 공진주파수를 가지는 S-330.4SL(Physik Instrumente, PI)를 기준으로 모델링을 진행하였다.
본 시뮬레이션에 적용한 이미지 센서의 샘플링 주파수는 60 Hz으로 설정하였고, 자이로 센서의 샘플링 주파수 그리고 측정대역폭은 각각 1000과 480 Hz 설정하였다. 추가적으로 상용 제품을 참고하여 각 센서의 측정 분해능(Resolution)을 설정하였고, 이에 상응하는 크기의 노이즈를 각 시뮬레이션 모델에 추가하였다. 시뮬레이션에 사용한 모델들에 대한 상세 정보는 Table 1에 정리하였다.
Table 1

Parameters of the LOS stabilization simulation model

Table 1
Fast steering mirror
(PI S-330.4SL)
Max. Tip/Tilt Angle ±2.5 mrad
Resonant frequency (Unloaded) 2000 Hz
Resolution 0.25 urad
Moment of inertia (Unloaded) 1530 g·mm2
Image sensor Sampling frequency 60 Hz
Resolution 20 urad
Gyro sensor Bandwidth 480 Hz
Sampling frequency 1000 Hz
Resolution 766 urad
3.2 시선 안정화 성능 비교 분석

3.2.1 FSM 제어 시스템 설계

LOS 안정화 루프의 안정화 제어기로부터 계산된 지령을 빠르게 보상하기 위해서는 내부 루프에 위치한 FSM 제어 시스템은 높은 구동대역폭과 정밀한 추종 성능을 가져야 한다. 따라서, 먼저 FSM 제어 루프의 설계 및 그에 따른 제어 성능 검증을 진행하였다.
FSM은 레이저 빔 반사를 위해 구동부에 반사경이 부착되며, 반사경 부하로 인해서 시스템의 특성이 변화한다. 구동부에 직경 25, 두께 5 mm의 거울을 장착하는 것을 시뮬레이션에 반영하였으며, 그에 따른 FSM 플랜트는 1711 Hz의 공진주파수, 2089 g·mm2의 관성모멘트를 가진다. 본 시뮬레이션에서 FSM 구동을 위한 전력 증폭기와 내부 센서 신호 증폭기의 Dynamics는 고려하지 않았다. 따라서, HFSM(s) ≈ 1 로 가정하였고, 센서 노이즈에 따른 외란을 모사하기 위해서 센서의 측정 분해능에 해당하는 0.25 urad의 신호 노이즈를 시뮬레이션에 추가하였으며, 샘플링 주파수는 10 kHz로 설정하였다.
Fig. 6은 FSM 플랜트와 제어기 설계에 따른 시스템의 주파수 응답을 보여주고 있다. FSM의 피드백 제어기는 PI 제어기로 기본 설계를 진행하였으며, 공진 완화 및 노이즈 저감을 위해 노치 필터와 저역 필터를 추가하여 아래 식(8)과 같이 설계하였다. 시뮬레이션에 사용한 제어기 파라미터에 대한 상세 정보는 Table 2에 정리하였다.
(8)
CFSM(s)=(Kp1+KI1s)s2+ζ1wn1s+wn12s2+Q1ζ1wn1s+wn12wlpf2s2+2wlpfs+wlpf2
Fig. 6

Bode plot of plant, loop, and closed-loop of the fast steering mirror equipped with the mirror of size Φ25 × 5T

KSPE_2025_v42n2_175_f006.jpg
Table 2

Controller parameters of the LOS stabilization simulation

Table 2
FSM feedback controller PI controller kp 1 13.98 V/mrad
kI 1 52726 Vs-1/mrad
Notch filter wn 1 10744 rad/s
ζ 1 0.2
Q 1 10
Low-pass filter wlpf 9425 rad/s
LOS feedback controller PI controller kp 2 0.1487
kI 2 93.4 s-1
Notch filter wn 2 5403 rad/s
ζ 2 0.5
Q 2 5
Feedforward controller High-pass filter whpf 3.14 rad/s
피드백 제어기 설계에 따른 파란색 실선의 루프 전달 함수는 500 Hz의 크로스오버 주파수를 가지며, 위상 여유와 이득 여유는 각각 60.8 deg, 6.22 dB이다. 그에 따른 FSM 폐루프의 구동 대역폭(-3 dB)은 1245 Hz이다. 손 떨림의 주파수 영역에 비해서 FSM의 피드백 제어 시스템은 매우 높은 구동대역폭을 가지고 있음을 확인할 수 있다.

3.2.2 시선 안정화 제어기 설계 및 성능 비교 분석

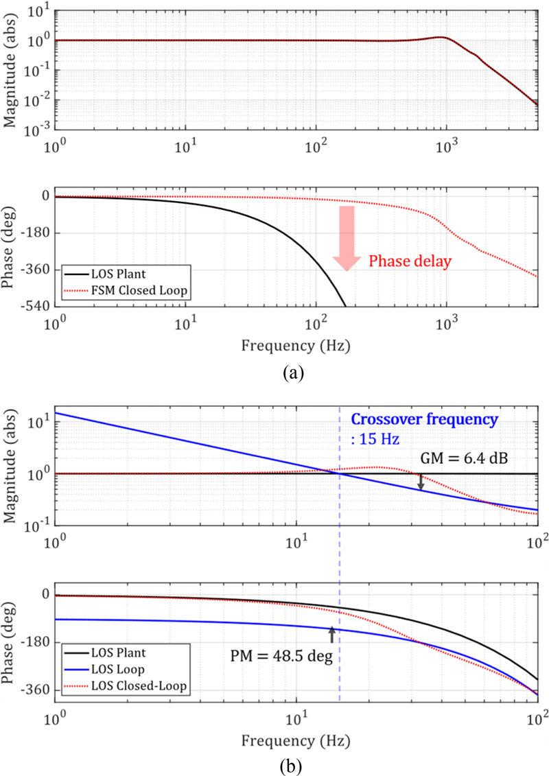
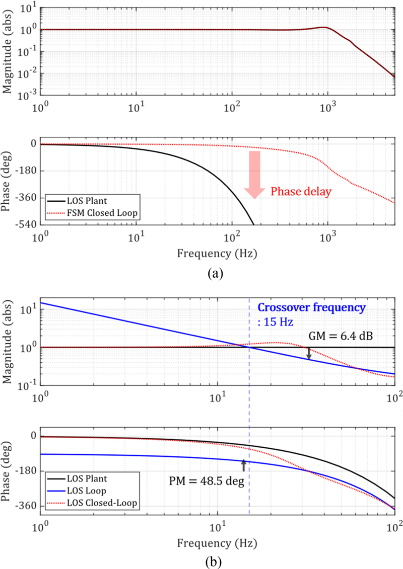
Fig. 7은 위에서 설계한 FSM 제어 시스템을 내부 루프로 가지는 이미지 센서 기반의 LOS 안정화 제어 시스템의 주파수 응답을 보여주고 있다. 먼저 Fig. 7(a)는 LOS 안정화 제어 시스템에서 플랜트(LOS Plant)의 주파수 응답을 보여주고 있다. LOS 안정화 제어 관점에서 플랜트는 FSM 폐루프 시스템과 이미지 센서가 결합된 전달함수 CLFSM(sHimage(s)로 정의하였으며, Fig. 7(a)의 검정색 실선에 해당한다. 이미지 센서의 낮은 샘플링 주파수로 인해서 주파수가 증가함에 따라 위상 지연 효과가 급격하게 증가하는 것을 확인할 수 있다.
Fig. 7

Bode plot of the line-of-sight stabilization (LOS) control loop with the image sensor having sampling frequency of 60 Hz. (a) LOS plant combined with the image sensor, and (b) LOS loop and closed-loop with the stabilization controller

KSPE_2025_v42n2_175_f007.jpg
Fig. 7(b)는 LOS 안정화 제어기 설계에 따른 LOS 안정화 루프 전달 함수(파란색 실선, LOS Loop)와 그에 따른 폐루프(빨간색 점선, LOS Closed-Loop)을 보여주고 있다. LOS 안정화 제어기의 경우 FSM에서와 동일하게 PI 제어기와 노치 필터를 기반으로 루프 성형 기법을 활용해 아래 식(9)와 같이 설계하였고, 제어기 파라미터에 대한 상세 정보는 Table 2에 정리하였다.
(9)
CLOS(s)=(Kp2+KI2s)s2+ζ2wn2s+wn22s2+Q2ζ2wn2s+wn22
이미지 센서의 위상 지연에 의한 위상 여유 확보의 어려움으로 LOS 안정화 루프의 크로스오버 주파수는 15 Hz로 설계하였고, 그때의 위상 여유와 이득 여유는 각각 48.5 deg, 6.4 dB이다. 그에 따른 LOS 안정화 폐루프의 구동대역폭(-3 dB)은 37 Hz으로 설계가 되었다.
다음으로 자이로 센서를 이용한 외란 피드포워드 루프 설계 과정을 진행하였다. 외란 피드포워드 제어기는 식(7)에서와 같이 적분기에 고역 필터를 추가한 형태로 설계를 진행하였고, Fig. 8은 고역 필터의 차단주파수에 따른 손 떨림 외란의 각 주파수 성분에 대한 LOS 안정화 성능을 보여주고 있다. LOS 안정화 성능은 손 떨림 외란에 대한 LOS의 실효 값(Root-mean-square, RMS)을 통해서 확인하였고, Fig. 8에서는 성능 비교를 위해서 LOS 값을 표준화하여 나타내었다. 그 결과, 손 떨림이 5 Hz의 주파수를 가진 경우, 차단주파수가 0.2 Hz일 때 가장 우수한 LOS 안정화 성능을 보여주고 있으며, 손 떨림이 10 Hz인 경우에는 0.8 Hz의 차단주파수에서 LOS 안정화 성능이 가장 우수하게 나타났다.
Fig. 8

Line-of-sight stabilization performance against the cut-off frequency of the high-pass filter of the feedforward controller

KSPE_2025_v42n2_175_f008.jpg
이에 대한 원인은 적분기에서 발생하는 신호 노이즈에 의한 드리프트로 인해 LOS 안정화 성능이 저하되기 때문에 이를 보상하기 위해서는 충분한 크기의 차단주파수가 필요로 하지만, 차단주파수가 저감하고자 하는 외란 진동 주파수와 비교하여 상대적으로 높은 경우에는 저감하고자 하는 진동 신호의 왜곡을 일으켜 성능을 악화시키기 때문이다.
고역 필터의 차단주파수가 0.5 Hz일 때, 5와 10 Hz의 외란에 대해서 모두 준수한 LOS 안정화 성능을 가질 수 있음을 알 수 있다. 따라서, 본 연구에서는 10 Hz 미만의 주파수 영역에 존재하는 손 떨림 외란에 대해서 LOS 안정화 성능의 강건성 확보를 위해서 피드포워드 제어기 고역 필터의 차단주파수를 0.5 Hz로 선정하였다.
Fig. 9는 외란 피드포워드 루프에 따른 외란에 대한 시선의 민감도 변화를 보여주고 있다. 파란색 실선은 이미지 센서 기반의 LOS 안정화 제어만 적용하였을 때의 민감도 S1(s)에 해당하며, 빨간색 실선은 자이로 센서를 통한 외란 피드포워드 루프가 추가되었을 때의 민감도 S2(s)에 해당한다. LOS 안정화 제어만 이루어지고 있을 때, 외란을 보상할 수 있는 주파수 대역폭은 약 13 Hz로 안정화 루프의 크로스오버 주파수에 해당하는 15 Hz보다 약간 작은 수준이다. 외란 피드포워드 루프 추가에 따라서 저주파 영역에서 민감도가 크게 감소한 것을 확인할 수 있으며, 외란 억제 대역폭 또한 약 130 Hz 수준으로 크게 향상된 것을 알 수 있다.
Fig. 9

Bode plot of the sensitivity function of line-of-sight to disturbance with or without the disturbance feedforward loop

KSPE_2025_v42n2_175_f009.jpg
Fig. 10은 LOS 안정화 제어기에 따른 손 떨림 외란에 대한 시선 안정화 성능을 보여주고 있다. 먼저 주파수 성분에 따른 시선 안정화 성능을 비교 분석하기 위해서 1.5 mrad 크기를 가지는 정현파 외란을 LOS에 인가하였고(Figs. 10(a): 5, 10(b): 10 Hz), LOS 안정화 성능은 LOS의 실효 값(RMS)을 통해서 확인하였다. Fig. 10(a)의 5 Hz의 손 떨림 외란에 대해서 이미지 센서 기반의 LOS 안정화 제어는 LOS 피드백 제어를 통해서 파란색 실선의 외란이 저감된 LOS를 보여주고 있으며, 353.3 urad(RMS)의 안정화 성능을 가진다. 하지만, 외란 주파수가 증가함에 따라 안정화 대역폭의 한계로 외란 억제 성능은 저하되며, Fig. 10(b)의 10 Hz 외란에 대해서 안정화 성능은 681.1 urad(RMS)로 크게 저하되는 것을 확인할 수 있다.
Fig. 10

LOS stabilization performance of image sensor feedback and gyro feedforward controller at the hand vibration frequency of (a) 5, (b) 10, and (c) range of 1-10 Hz

KSPE_2025_v42n2_175_f010.jpg
여기에 설계한 외란 피드포워드 제어기를 추가함에 따라 빨간색 실선에서 볼 수 있듯이 5와 10 Hz 외란에 대해서 모두 외란 억제 성능이 크게 향상된 것을 확인할 수 있다. 그에 따른 LOS 안정화 성능은 36.1, 38.7 urad (RMS)로 이미지 센서 기반 LOS 안정화 제어만 적용하였을 때보다 각각 89.8, 94.3% 향상된 성능을 보여주고 있으며, 그 결과는 Table 3에 정리하였다.
Table 3

Comparison of LOS stabilization performance

Table 3
Vibration frequency LOS performance (RMS)
Feedback Feedback + feedforward Reduction rate
5 Hz 353.3 urad 36.1 urad 89.80%
10 Hz 681.1 urad 38.7 urad 94.30%
Range (1-10 Hz) 255.7 urad 51.8 urad 79.70%
다음으로, Fig. 10(c)는 1-10 Hz의 주파수 범위를 가지는 손떨림 외란이 LOS에 인가되었을 때의 시선 안정화 성능을 보여 주고 있다. 본 시뮬레이션의 손 떨림 외란은 1-10 Hz 범위에서 특정 주파수 성분을 가지는 정현파들을 결합하여 생성하였으며, 해당 외란에 의해서 발생하는 LOS 진동은 551.1 urad (RMS)이다. 이미지 센서 피드백 제어만 사용하였을 경우 LOS 안정화 성능(파란색 실선)은 255.7 urad (RMS)이지만, 외란 피드포워드 제어기까지 적용한 경우 안정화 성능(빨간색 실선)은 51.8 urad(RMS)으로 79.7% 향상된 성능을 보여주고 있다. 이를 통해서 자이로 센서 기반 외란 피드포워드 루프 적용 시 외란 억제 성능이 대폭 향상됨을 실증하였다.
본 논문에서는 시선 안정화 시스템을 구성하는 FSM, 이미지 센서, 자이로 센서 시스템에 대한 분석을 통해 휴대용 광학 장비의 LOS 안정화 제어기 설계 방안에 대해서 제시하였다. 휴대용 광학 장비의 손 떨림에 의해 발생하는 LOS 오차를 보상하기 위해서 이미지 센서 기반의 LOS 안정화 제어 시스템의 구성 방안과 이미지 센서의 낮은 샘플링 주파수에 의해 발생하는 위상 지연 효과를 고려한 제어기 설계 방안에 대해서 제시하였다. 이미지 센서의 위상 지연 효과에 의해 제한된 안정화 대역폭에 따른 시선 안정화 성능의 한계를 극복하기 위해서 자이로 센서를 활용한 외란 피드포워드 제어 루프의 구성 방안을 제시하였고, 자이로 센서의 특성을 고려한 제어기 설계 방안에 대해서 제시하였다. 시스템 모델링을 통해서 제어 시뮬레이션 모델을 구축하여, 위의 제어기 설계 방안에 따른 손 떨림 외란에 대한 시선 안정화 성능을 비교 분석하였다. 그 결과, 이미지 센서 기반 LOS 안정화 제어와 자이로 센서 기반 외란 피드포워드 제어를 통해서 대폭 향상된 외란 안정화 성능을 확인하였다.
이 논문은 2022년도 정부(방위사업청)의 재원으로 국방기술진흥연구소의 지원을 받아 수행된 연구임(No. 21-107-F00-016).
  • 1.
    Hilkert, J. M., (2008), Inertially stabilized platform technology concepts and principles, IEEE Control Systems Magazine, 28(1), 26-46.
    10.1109/MCS.2007.910256
  • 2.
    Masten, M. K., (2008), Inertially stabilized platforms for optical imaging systems, IEEE Control Systems Magazine, 28(1), 47-64.
    10.1109/MCS.2007.910201
  • 3.
    Gillmer, S. R., Smeaton, C. V., Burnside, J. W., Torres, J., Hubbard, W., Bennett, C., DeVoe, C., Wellman, J. A., Rey, J. J., Zervas, M. J., (2021), Demonstration of a modular, scalable, laser communication terminal for manned spaceflight missions, SPIE Optics and Photonics 2021.
    10.1117/12.2599014
  • 4.
    Xia, Y., Bao, Q., Liu, Z., (2018), A new disturbance feedforward control method for electro-optical tracking system line-of-sight stabilization on moving platform, Sensors, 18(12), 4350.
    10.3390/s18124350
  • 5.
    Kang, S.-H., (2024), The development trend and future direction of laser-based individual combat firearm weapon systems, Journal of the Korea Academia-Industrial cooperation Society, 25(6), 544-552.
    10.5762/KAIS.2024.25.6.544
  • 6.
    Song, G., Jelly, E. T., Chu, K. K., Kendall, W. Y., Wax, A., (2021), A review of low-cost and portable optical coherence tomography, Progress in Biomedical Engineering, 3(3), 032002.
    10.1088/2516-1091/abfeb7
  • 7.
    Bae, H., Jang, H., Park, D., Kim, H., (2021), Development of moving mirror assembly in the spectroscopic sensor for remote gas monitoring, Journal of the Korean Society for Precision Engineering, 38(8), 581-587.
    10.7736/JKSPE.021.025
  • 8.
    Li, Q., Liu, L., Ma, X., Chen, S.-L., Yun, H., Tang, S., (2018), Development of multitarget acquisition, pointing, and tracking system for airborne laser communication, IEEE Transactions on Industrial Informatics, 15(3), 1720-1729.
    10.1109/TII.2018.2868143
  • 9.
    Wen, L., Xu, T., Ruan, Y., Tang, T., Yang, H., (2022), Disturbance feedforward control of tip-tilt mirror with gyro measuring for large-amplitude vibration rejection, IEEE Sensors Journal, 22(16), 16351- 16358.
    10.1109/JSEN.2022.3190134
  • 10.
    Tang, T., Niu, S., Chen, X., & Qi, B., (2018), Disturbance observer-based control of tip-tilt mirror for mitigating telescope vibrations, IEEE Transactions on Instrumentation and Measurement, 68(8), 2785-2791.
    10.1109/TIM.2018.2869437
  • 11.
    Tang, T., Niu, S., Ma, J., Qi, B., Ren, G., Huang, Y., (2019), A review on control methodologies of disturbance rejections in optical telescope, Opto-Electronic Advances, 2(10), 190011.
    10.29026/oea.2019.190011
  • 12.
    Bian, Q., Wang, Y., Ruan, Y., Tang, T., (2023), Accelerometer-assisted disturbance feedforward control of an inertially stabilized platform, IEEE Sensors Journal, 23(9), 9880-9888.
    10.1109/JSEN.2023.3259446
  • 13.
    Wen, L., Ruan, Y., Yang, H., Tang, T., (2023), Adaptive high-frequency feedforward control with accelerometer measurement of tip-tilt mirror for line-of-sight stabilization, IEEE Transactions on Instrumentation and Measurement, 72, 1-10.
    10.1109/TIM.2023.3309359
Jae Woo Jung
KSPE_2025_v42n2_175_bf001.jpg
Received the B.S. degree in mechanical engineering in 2020 from Yonsei University, Seoul, South Korea, where he is currently working toward the Ph.D. degree in mechanical engineering. His research interests include mechatronic systems for manufacturing, electromagnetic and electromechanical machine design, and precision motion control.
Sang Won Jung
KSPE_2025_v42n2_175_bf002.jpg
Received The B.S. degree in mechanical engineering from Yonsei University, Seoul, South Korea, in 2020. He is currently working toward the Ph.D. degree in mechanical engineering at Yonsei University. His research interests include analytical modeling and design of electromagnetic machine, manufacturing mechatronics and precision motion control.
Jae Hyun Kim
KSPE_2025_v42n2_175_bf003.jpg
Received the B.S. degree in mechanical engineering from Yonsei University, Seoul, South Korea, in 2021. He is currently working toward the Ph.D. degree in mechanical engineering at Yonsei University. His research interests include analytical modeling and design optimization of electromagnetic machines.
Seonbin Lim
KSPE_2025_v42n2_175_bf004.jpg
Is graduate school student in mechanical engineering at Yonsei University and currently majoring in Structural Vibration. He is especially interested in vibration transmissions in electric vehicles.
Youngjin Park
KSPE_2025_v42n2_175_bf005.jpg
Received the B.S. degree in mechanical engineering from Soongsil University, Seoul, South Korea, in 2020. He is currently working toward the Ph.D. degree in mechanical engineering at Yonsei University. His research interests include mechanical vibration, haptic, and structural vibration.
Onemook Kim
KSPE_2025_v42n2_175_bf006.jpg
Is graduate school student in mechanical engineering at Soongsil University and currently majoring Structural Vibration in Yonsei University. He is especially interested in vibration analysis of actuator.
Jaehyun Lim
KSPE_2025_v42n2_175_bf007.jpg
Received the B.S degree in mechanical engineering from Gachon University, Seongnam, South Korea, in 2024. He is currently working toward the M.S degree in mechanical engineering at Yonsei University. His research interests include mechanical vibration, vibroacoustics, and structural vibration.
Jae Ho Jin
KSPE_2025_v42n2_175_bf008.jpg
Received the master's degree in control and measurement engineering from Chonbuk National University in 2002. He is a research engineer at R&D Center, EOSystem. His research interests include mechatronic systems for manufacturing, electromagnetic and electromechanical machine design, and precision motion control.
No-Cheol Park
KSPE_2025_v42n2_175_bf009.jpg
Received B.S., M.S., and Ph.D. degrees from Yonsei University in 1986, 1988, and 1997, respectively. He is currently a professor at the department of mechanical engineering in Yonsei University. His research interest is in Vibration & Optics.
Jun Young Yoon
KSPE_2025_v42n2_175_bf010.jpg
Received the B.S. degree in mechanical engineering from Yonsei University, Seoul, South Korea, in 2009 and the M.S. and Ph.D. degrees in mechanical engineering from the Massachusetts Institute of Technology (MIT), Cambridge, MA, USA, in 2011 and 2017, respectively.
He is currently an Associate Professor at the Department of Mechanical Engineering, Yonsei University. From 2017 to 2019, he was a postdoctoral researcher in mechanical engineering and biological engineering at MIT. His research interests include manufacturing mechatronics and robotics system design, electromagnetic and electromechanical machine design, mechatronic devices for biomedical applications, and precision motion control.

Download Citation

Download a citation file in RIS format that can be imported by all major citation management software, including EndNote, ProCite, RefWorks, and Reference Manager.

Format:

Include:

imulation Study on Line-of-sight Stabilization Controller Design for Portable Optical Systems
J. Korean Soc. Precis. Eng.. 2025;42(2):175-183.   Published online February 1, 2025
Download Citation

Download a citation file in RIS format that can be imported by all major citation management software, including EndNote, ProCite, RefWorks, and Reference Manager.

Format:
Include:
imulation Study on Line-of-sight Stabilization Controller Design for Portable Optical Systems
J. Korean Soc. Precis. Eng.. 2025;42(2):175-183.   Published online February 1, 2025
Close

Figure

  • 0
  • 1
  • 2
  • 3
  • 4
  • 5
  • 6
  • 7
  • 8
  • 9
imulation Study on Line-of-sight Stabilization Controller Design for Portable Optical Systems
Image Image Image Image Image Image Image Image Image Image
Fig. 1 Schematic structure of LOS stabilization system
Fig. 2 Block diagram of LOS stabilization control loop
Fig. 3 Phase delay in the frequency domain depending on the sampling frequency of the image sensor
Fig. 4 Block diagram of LOS stabilization control loop with disturbance feedforward control
Fig. 5 LOS stabilization simulation model designed by SIMULINK
Fig. 6 Bode plot of plant, loop, and closed-loop of the fast steering mirror equipped with the mirror of size Φ25 × 5T
Fig. 7 Bode plot of the line-of-sight stabilization (LOS) control loop with the image sensor having sampling frequency of 60 Hz. (a) LOS plant combined with the image sensor, and (b) LOS loop and closed-loop with the stabilization controller
Fig. 8 Line-of-sight stabilization performance against the cut-off frequency of the high-pass filter of the feedforward controller
Fig. 9 Bode plot of the sensitivity function of line-of-sight to disturbance with or without the disturbance feedforward loop
Fig. 10 LOS stabilization performance of image sensor feedback and gyro feedforward controller at the hand vibration frequency of (a) 5, (b) 10, and (c) range of 1-10 Hz
imulation Study on Line-of-sight Stabilization Controller Design for Portable Optical Systems
Fast steering mirror
(PI S-330.4SL)
Max. Tip/Tilt Angle ±2.5 mrad
Resonant frequency (Unloaded) 2000 Hz
Resolution 0.25 urad
Moment of inertia (Unloaded) 1530 g·mm2
Image sensor Sampling frequency 60 Hz
Resolution 20 urad
Gyro sensor Bandwidth 480 Hz
Sampling frequency 1000 Hz
Resolution 766 urad
FSM feedback controller PI controller kp 1 13.98 V/mrad
kI 1 52726 Vs-1/mrad
Notch filter wn 1 10744 rad/s
ζ 1 0.2
Q 1 10
Low-pass filter wlpf 9425 rad/s
LOS feedback controller PI controller kp 2 0.1487
kI 2 93.4 s-1
Notch filter wn 2 5403 rad/s
ζ 2 0.5
Q 2 5
Feedforward controller High-pass filter whpf 3.14 rad/s
Vibration frequency LOS performance (RMS)
Feedback Feedback + feedforward Reduction rate
5 Hz 353.3 urad 36.1 urad 89.80%
10 Hz 681.1 urad 38.7 urad 94.30%
Range (1-10 Hz) 255.7 urad 51.8 urad 79.70%
Table 1 Parameters of the LOS stabilization simulation model
Table 2 Controller parameters of the LOS stabilization simulation
Table 3 Comparison of LOS stabilization performance