Skip to main navigation Skip to main content
  • E-Submission

JKSPE : Journal of the Korean Society for Precision Engineering

OPEN ACCESS
ABOUT
BROWSE ARTICLES
EDITORIAL POLICIES
FOR CONTRIBUTORS
Regular

SHPB 실험에서 정렬 불량에 따른 파형 왜곡 분류를 위한 머신러닝 기반 접근법

A Machine Learning-based Approach for Classifying Waveform Distortion Due to Misalignment in SHPB Experiments

Journal of the Korean Society for Precision Engineering 2026;43(2):159-165.
Published online: February 1, 2026

1부산대학교 항공우주공학과

1Department of Aerospace Engineering, Pusan National University

#Corresponding Author / E-mail: greatkj@pusan.ac.kr, TEL: +82-51-510-2477
• Received: July 29, 2025   • Revised: August 22, 2025   • Accepted: August 29, 2025

Copyright © The Korean Society for Precision Engineering

This is an Open-Access article distributed under the terms of the Creative Commons Attribution Non-Commercial License (http://creativecommons.org/licenses/by-nc/3.0/) which permits unrestricted non-commercial use, distribution, and reproduction in any medium, provided the original work is properly cited.

  • 263 Views
  • 13 Download
prev next
  • The Split Hopkinson Pressure Bar (SHPB) experiment is commonly employed to assess the dynamic mechanical properties of materials under high strain-rate conditions (10²-10⁴ s-¹) through the propagation of elastic stress waves via pressure bars. The precision and dependability of SHPB measurements are heavily influenced by the alignment of the specimen with the bars. Misalignment can lead to flexural vibrations, causing waveform distortion and undermining the assumption of one-dimensional stress waves. While previous research has explored the impact of misalignment on waveform characteristics, pinpointing the specific sources of distortion from measured signals remains a challenge. This study introduces a machine learning-based classification method that extracts features from distorted SHPB waveforms to identify the type of misalignment. Incident wave signals under various misalignment scenarios were simulated using the commercial finite element software LS-DYNA, and the extracted features were utilized to create a training dataset. Several machine learning models, including XGBoost, were trained and evaluated, with XGBoost yielding the highest accuracy and F1-score. The trained model was then applied to experimentally measured distorted waveforms to validate its effectiveness. This proposed approach facilitates the automated diagnosis of distortion sources in SHPB data, reducing the need for manual interpretation and improving analysis efficiency.
재료의 물성은 제조 공정에서 기본적으로 고려되어야 하는 핵심 요소이며, 연구자와 엔지니어는 응력, 변형률, 변형률 속도와 같은 재료의 역학적 특성을 신중하게 검토해야 한다. 응력과 변형률은 변형률 속도의 변화에 따라 준정적(Quasi-static) 조건과 동적(Dynamic) 조건에서 상이하게 거동한다. 변형률 속도는 단위 시간당 변형률의 변화를 의미하며, 일반적으로 재료는 높은 변형률 속도에서 더 높은 항복 강도와 인장 강도를 나타내는 것으로 알려져 있다[1,2]. 이러한 현상은 변형률 속도 효과(Strain Rate Effect)로 정의되며, 각 재료의 동적 특성을 규명하고 실험 결과의 유효성을 확보하기 위해 목표 변형률 속도 범위에 따라 다양한 실험 방법이 연구되어 왔다. 폭굉(Detonation)이나 초고속 충격 현상을 제외하면, 일반적인 수송기의 충돌 시 발생하는 변형률 속도는 대략 104 s-1수준에 이른다. 이러한 변형률 속도 범위(102-104 s-1)에서 재료의 응력, 변형률, 변형률 속도를 측정하기 위해 가장 널리 사용되는 충격 실험 기법은 SHPB (Split Hopkinson Pressure Bar)이다. SHPB 실험은 1차원 응력파 전달 이론에 기반하며, 하중 센서 없이 봉을 통해 전파되는 탄성 응력파를 통해 다양한 재료의 동적 물성을 획득할 수 있어 관련 연구가 이어지고 있다[3,4]. SHPB 기법을 적용하기 위해서는 응력봉과 시편이 1축 응력 상태를 유지해야 하며, 시편 내부의 응력 및 변형률 분포가 시간에 따라 일정해야 한다. 1축 응력 상태를 확보하기 위해서는, 응력봉 직경의 최소 10배 이상이 되는 입사파를 사용하는 것이 권장되며, 봉의 길이(L) 대 직경(D)의 비율(L/D)은 20 이상이어야 한다. 또한, 충돌면에서의 마찰을 최소화하고 충격봉의 정렬을 유지하여 직진도를 확보하는 것이 중요하다.
기존 연구에서는 SHPB 실험에서 정렬 불량이 입사파 및 반사파 내에 굽힘 진동 모드(Flexural Mode of Vibration)를 유발하여 1차원 파동 이론을 위배하고 SHPB 실험의 신뢰도를 저해할 수 있음을 지적하였다. Wu 등은 충돌면의 기울기 및 함몰이 입사파의 상승 시간과 하강 시간을 연장시키고, 파형의 평탄부를 왜곡시키는 요인임을 제시하였다[5]. Panowicz와 Konarzewski는 충격면이 마모된 충격봉과 펄스 조정기(Pulse Shaper)가 포함된 3차원 유한요소해석 모델을 기반으로, 충격봉과 입력봉 간의 기울기 및 편심이 신호 품질에 미치는 영향을 분석하였다[6]. Kariem 등은 곡률, 편심, 기울기, 충돌면 형상 등 다양한 정렬 불량 유형에 대해 SHPB 신호 왜곡을 종합적으로 분석하고, 유형별 허용 오차 한계를 제시하였다[7]. 기존 연구들은 정렬 불량이 파형에 미치는 영향을 규명하고 그 원인을 분석하였으나, 실제 실험에서 계측된 왜곡 신호의 파형으로부터 정렬 불량 유형을 판별하는 데에는 한계가 존재한다.
본 연구에서는 SHPB 실험에서 계측된 왜곡 신호로부터 파형의 특성(Feature)값을 추출하고, 이를 활용하여 정렬 불량 유형을 분류하는 머신러닝 기반의 분류 프로세스를 제안한다. Fig. 1은 분류 프로세스를 나타낸 것이다. 먼저, 모델 학습을 위해 상용 유한요소 해석 소프트웨어인 LS-DYNA를 활용하여 정렬 불량 유형별 입사파 신호를 모사하고, 각 신호로부터 파형의 특성값을 추출하여 데이터 벡터를 생성하였다. 정렬 불량 유형 분류를 위해 머신러닝 기법을 적용하여 분류 모델의 성능을 비교 분석하였으며, XGBoost 모델이 정확도 및 F1-score를 포함한 평가 지표에서 우수한 성능을 나타냈다. 최종적으로, 개발된 머신러닝 분류 모델에 실제 실험에서 계측된 왜곡 신호를 입력하여 실효성을 평가하였다.
2.1 기본 이론
Fig. 2는 SHPB 장비 구성 개략도를 나타낸 것으로 충격봉(Striker Bar), 입력봉(Incident Bar), 출력봉(Trans-mitted Bar), 시편(Specimen), 그리고 데이터 수집 및 기록 시스템(Data Acquisition and Recording System)으로 구성된다. 입력봉과 출력봉 사이에는 시편이 배치되며, 충격봉이 입력봉 전면에 충돌하면 응력파가 발생하고, 이는 입력봉의 축 방향을 따라 전파된다. 생성된 응력파는 시편과의 경계면에 도달한 후, 봉과 시편 간의 임피던스 차이에 의해 일부는 입력봉 내로 반사되고, 나머지는 시편을 통과하여 출력봉으로 전달된다. 입력봉에 부착된 스트레인 게이지(Strain Gages)를 통해 계측되는 초기 신호는 입사파(Incident Pulse), 시편에 도달한 이후 경계에서 반사되어 되돌아오는 신호는 반사파(Reflected Pulse), 그리고 시편을 통과하여 출력봉에서 계측되는 신호는 투과파(Transmitted Pulse)로 정의된다. Fig. 3은 이러한 응력파가 봉 내부를 따라 전파되는 과정을 위치-시간 그래프로 나타낸 것이다. 반사파와 투과파는 시편의 동적 거동 정보를 포함하고 있으며, 이를 통해 시편의 응력(σS), 변형률(εS), 변형률 속도(·εS) 를 식(1)-식(3)을 통해 도출할 수 있다.
(1)
σS=EBABASεT
(2)
εS=2CBL00tεRdt
(3)
ε˙S=2CBL0εR
이때, EBAB는 봉의 탄성계수와 단면적, ASL0는 시편의 단면적 및 초기 길이, CB는 응력파의 전파 속도를 의미한다.
SHPB 실험에서 신뢰성 있는 결과를 확보하기 위해서는 신호에 왜곡을 유발할 수 있는 원인을 사전에 제어하는 것이 중요하다. SHPB 실험에서 발생할 수 있는 주요 신호 왜곡 원인으로는 스트레인 게이지의 부착 상태, 데이터 수집 시스템 간의 연결 상태, 봉의 정렬 상태 등이 있으며, 이 중 봉의 정렬 상태는 1차원 응력파 전달 이론이 성립하기 위해 가장 중요한 요소이다. 본 이론은 충격봉의 충돌로 발생한 응력이 봉 전체에 균일하게 분포하며, 파형의 분산 없이 전달된다고 가정한다. 이러한 가정을 충족시키기 위해서는 충격봉과 입력봉의 중립축(Neutral Axis)이 동축(Coaxial)이 되어 임피던스 불일치 없이 충돌해야 한다. 실제 실험에서 충격봉과 입력봉의 정렬이 맞지 않을 경우, 예를 들어 두 봉의 접촉면이 평행하지 않을 경우 임피던스 불일치에 의해 왜곡된 신호가 발생한다[7]. Fig. 4는 실험에서 계측된 왜곡된 입사파와 유한요소 해석을 통해 도출된 이상 정렬 상태의 입사파를 비교한 것이다. 비교의 용이성을 위해 왜곡된 입사파는 시간 축 기준으로 100 μs 이동되었다. 입사파의 왜곡은 반사파 및 투과파의 왜곡으로 이어지며, 결과적으로 시편의 응력, 변형률, 변형률 속도 계산에 오차를 발생시킨다.
2.2 비정렬 유형
본 연구에서는 SHPB 실험에서 신호 왜곡을 유발하는 정렬 상태를 유형별로 분류하였다. 이상적인 정렬 상태를 포함하여, 실험 과정에서 발생할 수 있는 비정렬 유형을 Fig. 5와 같이 세 가지로 구분하였다. 회전 비동축과 평행 비동축은 정렬 슬리브(Guide Sleeves)의 마모나 배치에 따라 발생할 수 있으며, 경사진 면이 포함된 비동축은 생산 품질과 직접적으로 연관되어 정렬 상태가 이상적일지라도 신호 왜곡을 유발한다. 이러한 비정렬 유형에 따른 실험 조건은 다음과 같다: 회전 비동축(Rotational non-coaxial, α = 0.1o / 0.3o / 0.4o / 0.5o / 1o), 평행 비동축(Parallel non-coaxial, λ = 0.1 / 0.3 / 0.4 / 0.5 mm), 경사진 면이 포함된 비동축(Non-coaxial with Inclined Surface, β = 0.1o / 0.3o / 0.4o / 0.5o / 1o). 해당 조건들은 비정렬 정도가 심화됨에 따른 왜곡 변화를 관찰하기 위해 선정하였으며, 각 조건의 상한값(α, β = 1o, λ = 0.5 mm)은 실제 실험 장비에서 발생 가능한 최대 오차 범위를 고려하여 설정한 것이다.
또한, 충격봉의 충돌 속도에 따라 응력파의 전파 속도가 달라지며 왜곡 파형이 변형된다. 따라서 실제 실험 장비의 작동 환경을 고려하여 인가 압력에 따른 충돌 속도를 구분했다. V = 12.5 m/s (0.5 bar), 17.5 m/s (1.0 bar), 22.5 m/s (1.5 bar).
2.3 Finite Element Method (FEM)
정렬 유형별 입사파의 파형 데이터를 획득하고 파형 왜곡을 정량적으로 분석하기 위해, 상용 유한요소 해석 소프트웨어인 LS-DYNA를 사용하여 유한요소 해석을 수행하였다. 해석 모델은 Fig. 6과 같이 충격봉과 입력봉으로 구성되었으며, 두 봉은 탄성 영역(Elastic Region) 내에서 거동하므로 탄성 물성만을 적용하였다. 두 봉은 동일한 직경(D), 밀도(Density), 탄성계수(Young’s Modulus), 푸아송 비(Poisson’s Ratio)를 가지며, 재료 물성 및 기하학적 치수는 각각 Tables 12에 제시하였다[8].
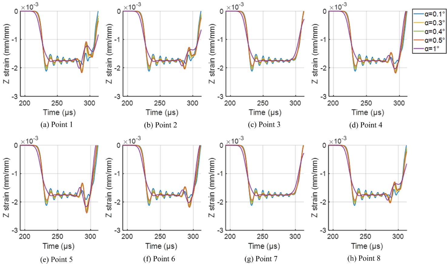
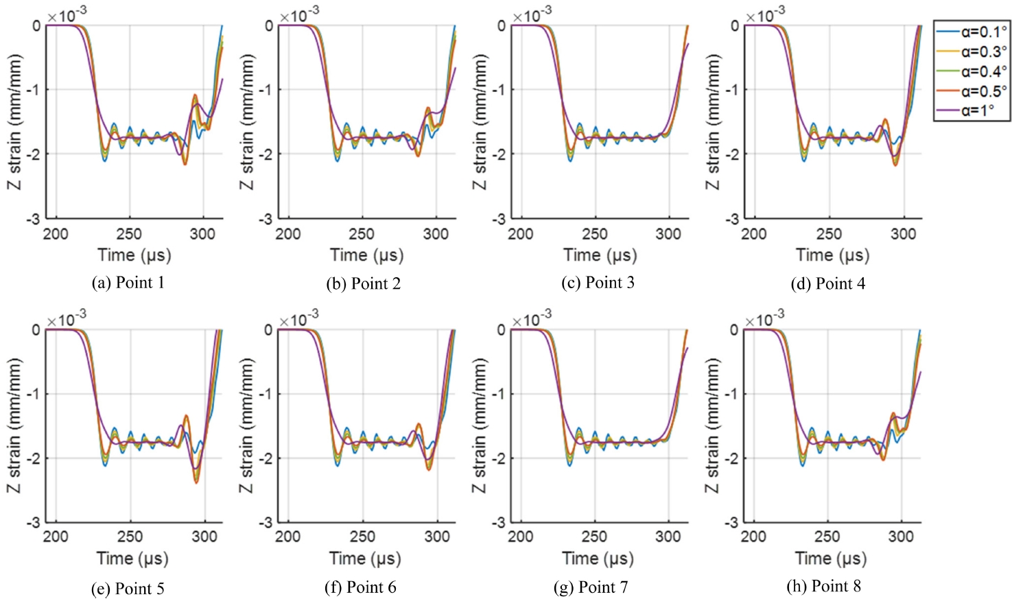
비정렬 상태에서는 충돌면으로부터 축 방향(Axial Direction)으로 동일한 거리에 위치하더라도 응력 분포가 균일하지 않기 때문에, 원주 방향(Circumferen-tial Direction)에 따라 입사파의 파형이 달라진다. 이에 따라 실제 스트레인 게이지 부착 위치를 고려하여, 충돌면으로부터 550 mm 떨어진 단면 상에 Fig. 6과 같이 0o부터 360o까지 45o 간격으로 총 8개의 출력 지점(Output Points)을 설정하였다. 총 339개의 파형 데이터가 획득되었으며, Fig. 7은 전체 파형 데이터 중 회전 비동축 조건 및 충돌 속도 17.5 m/s 하에서, 충격봉의 회전각(α)에 따른 각 출력 지점의 입사파 왜곡 파형을 나타낸 것이다. 정렬 불량은 1차원 응력파 전달 가정을 위배하며 신호 왜곡을 유발한다. Fig. 4의 이상적인 파형은 충격봉의 충돌로 발생한 축 방향 응력파와 푸아송 효과에 의해 형성된 반경 방향 응력파가 중첩되어 형성된다. 그러나 충돌면의 기울기와 같은 정렬 불량은 기존의 응력파 성분 외에 추가적인 굽힘 모드(Flexural Mode)를 유발하며 파형에 직접적인 영향을 미친다. Figs. 7(a)의 왜곡 파형은 굽힘 모드가 파형의 평탄부를 왜곡시킨 결과이며, 이는 4에 제시된 왜곡 파형과 유사한 양상을 보인다. 또한 회전각이 증가함에 따라 입사파의 초기 피크 진폭이 감소하고 평탄부의 왜곡이 심화되는 경향을 확인할 수 있으며, 이러한 평탄부 왜곡은 대칭적으로 나타난다. 예를 들어, 반대 위치(Point 1과 Point 5)에서 계측된 Figs. 7(a)7(e)의 평탄부 왜곡은 180o의 위상차를 가지며 대칭적인 형태를 보이는데, 이는 굽힘 모드의 전형적인 특정이다.
2.4 특성 추출
유한요소 해석을 통해 획득한 입사파의 파형 데이터를 머신러닝(Machine Learning, ML) 모델의 학습 데이터로 활용하기 위해, 각 파형으로부터 총 10개의 특성(Feature)를 추출하였다. 추출된 특성에는 파형의 평균값(μ), 최대/최소값(xmax/xmin), 제곱 평균근(Root Mean Square, RMS), 분산(σ2), 표준편차(σ), 파고율(Crest Factor, CF), 파형률(Shape Factor, SF), 누적면적(A), 초기 피크 지점과 최소 피크 지점 간의 시간차(∆t)가 포함된다. 모든 특성은 시간 영역에서 계산된 값으로 입사파의 물리적 의미를 내포한다. 이 중 파고율은 파형의 순간적인 진폭 변화 정도를 나타내는 지표로서, 임펄스(Impulse)와 같은 충격성 파형의 비율을 파악하는데 사용된다. 반면, 파형률은 파형의 평균 진동 특성을 나타내는 지표로, 파형의 에너지 분포 형태를 분석하는 데 활용된다. 이러한 특성들은 신호 처리 분야에서 일반적으로 활용되며, 식(4)식(5)를 통해 계산된다. 이때, 본 연구에 사용된 파형이 음의 값을 가지므로, 식(4)xpeak는 최소값인 xmin을 적용하였다. 추출된 특성값은 머신러닝 모델이 효과적으로 학습할 수 있도록 구조화된 벡터 형태로 저장되었으며, 각 데이터 벡터는 수치적 특성값과 해당 파형의 정렬 유형을 구분하는 레이블(Label)로 구성된 데이터셋을 형성하였다.
(4)
Crest Factor=xpeak=xminRMS
(5)
Shape Factor=RMSμ
3.1 분류 모델
본 연구의 목적은 왜곡된 입사파의 파형이 주어졌을 때, 머신러닝 기법을 활용하여 해당 파형의 왜곡 원인을 판별하는 것이다.
이는 입력 데이터 대한 출력 레이블이 존재하는 지도학습(Supervised Learning) 기반의 분류(Classification) 문제로 정의된다. 지도학습 기반 분류 모델은 입력 데이터와 그에 대응하는 출력 레이블을 바탕으로 학습하며, 모델이 학습을 완료한 뒤에는 새로운 입력에 대해 해당 입력이 속하는 레이블을 예측한다. 이러한 분류 모델을 구현하기 위해, 로지스틱 회귀(Logistic Regression), 결정 트리(Decision Tree), K-최근접 이웃(KNearest Neighbors, KNN), eXtreme Gradient Boosting(XGBoost)을 활용하였다.
로지스틱 회귀는 이진 분류 문제에 적합하며, 입력 변수의 선형 결합에 시그모이드 함수를 적용하여 확률을 예측한다[9]. 결정 트리는 조건에 따라 데이터를 분할하는 트리 구조로 직관성이 높고 비선형 데이터에도 높은 적합성을 보이지만, 과적합의 가능성이 있어 가지치기(Pruning) 등의 기법이 요구된다[10,11]. K-최근접 이웃(KNN)은 예측 시점에서 가장 가까운 K개의 데이터를 기준으로 분류를 수행하며, 학습 과정은 단순하나 예측 시 연산량이 많아 효율성이 떨어진다[12]. XGBoost는 결정 트리와 같은 약한 학습기를 순차적으로 결합하는 부스팅 기반 알고리즘으로, 높은 예측 정확도와 안정성을 제공한다[13].
3.2. 모델 성능 평가
총 339개의 파형 데이터로부터 10개의 특성을 추출한 후, 271개를 훈련 데이터로, 그 외 68개를 테스트 데이터로 활용하여 모델의 학습 및 성능을 평가하였다. 분류 성능 평가를 위해 정확도(Accuracy), 정밀도(Precision), 재현율(Recall), F1-score가 고려되었으며, 해당 지표 들은 혼동행렬(Confusion Matrix)을 기반으로 산출되었다.
모델의 분류 성능 결과는 Table 3에 제시되어 있으며, XGBoost 모델이 정확도 0.93, 정밀도 0.92, 재현율 0.93, F1-score 0.92로 가장 우수한 분류 성능을 나타냈다. 결정 트리와 K-최근접 이웃 모델은 정확도 0.84로 유사한 성능을 보였으며, 로지스틱 회귀 모델은 정확도 0.82로 상대적으로 가장 낮은 성능을 나타냈다. Fig. 8은 XGBoost 모델의 특성 중요도(Feature Importance) 분석 결과를 나타낸다. XGBoost의 특성 중요도는 주로 Weight, Gain, Cover와 같은 지표를 통해 산출된다. 본 연구에서는 모델 성능 향상에 기여한 정도를 직접적으로 반영하는 Gain을 기준으로 특성 중요도를 평가하였다. Gain은 분류 모델의 트리에서 각 특성이 분기(Split)에 사용될 때마다 예측 오류를 얼마나 감소시키는지를 정량화한 지표이다. 따라서 Gain 값이 높을수록 해당 특성이 모델의 예측 성능 향상에 더 크게 기여했음을 의미한다. 파형률은 중요도 점수 2.36으로 가장 높은 값을 기록하였으며, 파고율과 평균값은 각각 1.28, 1.11로 상대적으로 높은 중요도를 기록했다. 이를 통해 파형률, 파고율, 평균값이 파형 분류에 있어 주요 특성임을 확인하였다.
Figs. 4의 왜곡 파형은 실제 실험에서 획득된 결과이며, 7(a)의 파형과 유사한 왜곡 양상을 보인다. 해당 실험 파형을 XGBoost 모델에 입력한 결과, 회전 비동축에 의한 파형 왜곡으로 분류되었으며, 이를 통해 실제 실험 데이터를 활용한 머신러닝 분류 모델의 적용 가능성을 확인하였다.
본 연구에서는 SHPB 실험에서 계측된 왜곡 신호로부터 파형의 특성(Feature)값을 추출하고, 이를 활용하여 정렬 불량 유형을 진단하기 위해 머신러닝 기반의 분류 프로세스를 제안하였다. 정렬 불량의 대표적인 세 가지 유형(회전 비동축, 평행 비동축, 경사진 면이 포함된 비동축)에 대해 LS-DYNA를 활용한 유한요소 해석을 수행하고, 시뮬레이션을 통해 획득한 입사파의 파형으로부터 10개의 특성값을 추출하여 분류 모델의 학습 데이터를 구성하였다. 머신러닝 모델 중 XGBoost가 가장 우수한 분류 성능을 나타냈으며, 특성 중요도 분석을 통해 파형률, 파고율, 평균값이 파형 분류에서 주요한 영향을 미치는 것을 확인하였다. 또한, 실제 실험에서 계측된 왜곡 파형에 모델을 적용한 결과, 회전 비동축으로 분류되어 제안된 접근법의 실효성을 입증하였다. 제안된 머신러닝 기반 분류 방법은 SHPB 결과 분석의 신뢰성 향상에 기여할 수 있으며, 신호 품질 진단 및 자동화 분석의 기술로 활용될 수 있다. 향후에는 다양한 실험 조건을 반영한 데이터셋의 확대와 더불어 딥러닝 모델의 적용을 통해 파형 분류의 정밀도를 더욱 향상시킬 수 있을 것으로 기대된다.

ACKNOWLEDGEMENT

이 논문은 부산대학교 기본연구지원사업(2년)의 지원을 받아 수행된 연구이며, 교육부 및 한국연구재단의 4 단계 두뇌한국 21 사업 (4 단계 BK21 사업)의 지원을 받아 수행된 연구임. 이에 관계자 여러분들께 감사드립니다.

Fig. 1
Process of misalignment classification using ML in SHPB testing
JKSPE-025-100f1.jpg
Fig. 2
Schematic of SHPB apparatus
JKSPE-025-100f2.jpg
Fig. 3
location-time graph of stress wave propagation in SHPB
JKSPE-025-100f3.jpg
Fig. 4
Comparison of ideal and distorted waveform
JKSPE-025-100f4.jpg
Fig. 5
Classification of misalignment type in SHPB
JKSPE-025-100f5.jpg
Fig. 6
Configuration of output points on the cross section for incident wave measurement
JKSPE-025-100f6.jpg
Fig. 7
Distortion of incident waveforms at eight output points under under rotational non-coaxial and impact velocity of 17.5 m/s
JKSPE-025-100f7.jpg
Fig. 8
Feature importance scores of the XGBoost model for waveform classification
JKSPE-025-100f8.jpg
Table 1.
Material property of bar
Table 1.
Density [kg/m3] 7,850
Young’s modulus [GPa] 196
Yield strength [MPa] 1,550
Possion’s ratio 0.3
Table 2.
Dimensions of bar
Table 2.
L [mm] D [mm]
Striker bar 200 20
Incident bar 1,200 20
Table 3.
Classification performance of ML model
Table 3.
Model Logistic regression Decision tree KNN XGBoost
Accuracy 0.82 0.84 0.84 0.93
Precision 0.87 0.87 0.87 0.92
Recall 0.82 0.84 0.84 0.93
F1-score 0.83 0.85 0.85 0.92
  • 1. Khan, A. S., Suh, Y. S., and Kazmi, R., (2004), Quasi-static and dynamic loading responses and constitutive modeling of titanium alloys, International Journal of Plasticity, 20(12), 2233-2248.
  • 2. Khan, A. S., Pandey, A., Baig, M., and Tarigopula, V., (2012), Quasistatic and dynamic responses of advanced high strength steels: experiments and modeling, International Journal of Plasticity, 30, 1-17.
  • 3. Kolsky, H., (1963), Stress waves in solids. Dover Publications.
  • 4. Hopkinson, B., (1914), A method of measuring the pressure produced in the detonation of high explosives or by the impact of bullets, Philosophical Transactions of the Royal Society of London. Series A, Containing Papers of a Mathematical or Physical Character, 213(497-508), 437-456.
  • 5. Wu, X., Dai, H., Li, Y., Liu, Q., and Zhang, Z., (2015), Effects of imperfect experimental conditions on stress waves in SHPB experiments, Acta Mechanica Sinica, 31(6), 827-836.
  • 6. Panowicz, R., and Konarzewski, M., (2020), Influence of imperfect position of a striker and input bar on wave propagation in a split Hopkinson pressure bar (SHPB) setup with a pulse-shape technique, Applied Sciences, 10(7), 2423.
  • 7. Kariem, M. A., Beynon, J. H., and Ruan, D., (2012), Misalignment effect in the split Hopkinson pressure bar technique, International Journal of Impact Engineering, 47, 60-70.
  • 8. An, W. J., Woo, M. A., Noh, H. G., Kang, B. S., and Kim, J., (2016), Design and fabrication of Split Hopkinson Pressure Bar for acquisition of dynamic material property of Al6061-T6, Journal of the Korean Society for Precision Engineering, 33(7), 587-594.
  • 9. Jurafsky, D., Martin, J. H., (2025), Speech and language processing, 3rd Edition, Pearson Education.
  • 10. Quinlan, J. R., (1986), Induction of decision trees, Machine Learning, 1(1), 81-106.
  • 11. Ying, L. U., (2015), Decision tree methods: applications for classification and prediction, Shanghai Archives of Psychiatry, 27(2), 130-135.
  • 12. Cover, T., and Hart, P., (1967), Nearest neighbor pattern classification, IEEE Transactions on Information Theory, 13(1), 21-27.
  • 13. Chen, T., and Guestrin, C., (2016), XGBoost: A scalable tree boosting system. Proceedings of the 22nd ACM SIGKDD International Conference on Knowledge Discovery and Data Mining. 785-794.
Hyo Sung Hwang
JKSPE-025-100i1.jpg
M.Sc. candidate in the Department of Aerospace Engineering, Pusan National University. His research interest is acquisition of dynamic material properties.
Jeong Kim
JKSPE-025-100i2.jpg
Professor in the Department of Aerospace Engineering, Pusan National University. His research interest is high speed forming.

Download Citation

Download a citation file in RIS format that can be imported by all major citation management software, including EndNote, ProCite, RefWorks, and Reference Manager.

Format:

Include:

A Machine Learning-based Approach for Classifying Waveform Distortion Due to Misalignment in SHPB Experiments
J. Korean Soc. Precis. Eng.. 2026;43(2):159-165.   Published online February 1, 2026
Download Citation

Download a citation file in RIS format that can be imported by all major citation management software, including EndNote, ProCite, RefWorks, and Reference Manager.

Format:
Include:
A Machine Learning-based Approach for Classifying Waveform Distortion Due to Misalignment in SHPB Experiments
J. Korean Soc. Precis. Eng.. 2026;43(2):159-165.   Published online February 1, 2026
Close

Figure

  • 0
  • 1
  • 2
  • 3
  • 4
  • 5
  • 6
  • 7
A Machine Learning-based Approach for Classifying Waveform Distortion Due to Misalignment in SHPB Experiments
Image Image Image Image Image Image Image Image
Fig. 1 Process of misalignment classification using ML in SHPB testing
Fig. 2 Schematic of SHPB apparatus
Fig. 3 location-time graph of stress wave propagation in SHPB
Fig. 4 Comparison of ideal and distorted waveform
Fig. 5 Classification of misalignment type in SHPB
Fig. 6 Configuration of output points on the cross section for incident wave measurement
Fig. 7 Distortion of incident waveforms at eight output points under under rotational non-coaxial and impact velocity of 17.5 m/s
Fig. 8 Feature importance scores of the XGBoost model for waveform classification
A Machine Learning-based Approach for Classifying Waveform Distortion Due to Misalignment in SHPB Experiments
Density [kg/m3] 7,850
Young’s modulus [GPa] 196
Yield strength [MPa] 1,550
Possion’s ratio 0.3
L [mm] D [mm]
Striker bar 200 20
Incident bar 1,200 20
Model Logistic regression Decision tree KNN XGBoost
Accuracy 0.82 0.84 0.84 0.93
Precision 0.87 0.87 0.87 0.92
Recall 0.82 0.84 0.84 0.93
F1-score 0.83 0.85 0.85 0.92
Table 1. Material property of bar
Table 2. Dimensions of bar
Table 3. Classification performance of ML model