Skip to main navigation Skip to main content
  • E-Submission

JKSPE : Journal of the Korean Society for Precision Engineering

OPEN ACCESS
ABOUT
BROWSE ARTICLES
EDITORIAL POLICIES
FOR CONTRIBUTORS
REGULAR

온도보상형 압력센서의 제조공정에 관한 연구

A Study on the Manufacturing Processes of a Pressure Sensor with Temperature Compensation

Journal of the Korean Society for Precision Engineering 2017;34(10):701-706.
Published online: October 1, 2017

1 한국산업기술대학교 일반대학원 기계공학과

2 한국산업기술대학교 기계공학과

1 Department of Mechanical Engineering, Graduate School, Korea Polytechnic University

2 Department of Mechanical Engineering, Korea Polytechnic University

#E-mail: seojun0920@gmail.com, TEL: +82-31-8041-0403, FAX: +82-31-8041-0419
• Received: October 17, 2016   • Revised: May 8, 2017   • Accepted: June 18, 2017

Copyright © The Korean Society for Precision Engineering

This is an Open-Access article distributed under the terms of the Creative Commons Attribution Non-Commercial License (http://creativecommons.org/licenses/by-nc/3.0) which permits unrestricted non-commercial use, distribution, and reproduction in any medium, provided the original work is properly cited.

  • 10 Views
  • 0 Download
  • 1 Scopus
prev next
  • Pressure sensors are widely used in industries, including cars and coolers. Highly accurate pressure sensors are capable of corresponding to changes in the surrounding temperature. Additionally, the manufacturing process of pressure sensors greatly impacts the cost and degree of precision. This study undertook to examine the manufacturing process of pressure sensors, especially those using ceramic diaphragm. Ruthenium oxide (RuO2) was used instead of strain gauge for piezoresistance. TC thermistor (temperature coefficient) resistance compensated for changes in outdoor air temperature. Furthermore, thick-film resistors were precisely adjusted with laser trimming technology. These processes resulted in the production of a high accuracy diaphragm pressure sensor having an ability to correspond to changes in outdoor temperatures.
압력센서는 가전제품을 비롯하여 자동차, 의료기기, 소방설비, 냉동기 등 산업분야에 널리 사용된다. 이러한 압력센서는 높은 신뢰성, 안전성, 고성능화, 가격경쟁력이 중요하다.1
스트레인게이지를 저항체로 이용하는 압력센서의 경우는 생산 공정에서 불량 발생률이 높고 생산 원가가 비싸다. 이에 비해 후 막저항 인쇄 기술과 소결 기술이 이용된 압력센서는 불량률이 적고, 생산 원가도 낮출 수 있다. 또한 후막저항형 압력센서는 출력 특성도 안정적이다.
일반적으로 압력센서는 다이어프램의 위에 부착된 휘스톤브릿지의 저항변화를 검출하며, 이 저항은 온도에 따라서 변한다. 특히 영점(Zero), 영점에 대한 온도계수(Temperature Coefficient of Zero), 감도(Sensitivity), 감도에 대한 온도 계수(Temperature Coefficient of Sensitivity)의 보상이 필요하다.2 그러나 실용적으로는 이들 각각을 보상하는 방법보다는 온도에 따른 저항 변화를 통합하여 보상한다.
일반적으로 온도보상은 주변온도에 따라서 저항값이 반비례 특성을 갖는 써미스터(Thermistor)와 OP엠프(Operational Amplifier) 회로를 이용한다.3 특히 Metallux사는 Fig. 1과 같이 압력센서의 수압부에 NTC 써미스터(Negative Temperature Coefficient Thermistor)를 설치하여 온도를 보상하였다.4 이러한 방식은 신속한 온도보상은 가능하지만 생산공정이 복잡해지고 생산단가가 비싸진다.
Fig. 1

Temperature compensation structure (Metallux ltd.)

KSPE_2017_v34n10_701_f001.jpg
저항패턴의 재료는 은잉크(Sliver Paste), 탄소나노튜브가 혼합된 잉크, 그리고 산화루테늄(RuO2)이 이용된다.5-8
본 연구에서는 후막저항을 이용한 압력센서의제조공정과 그 특성에 대하여 조사하였다. 수압부인 다이아프램 소재는 가공성과 신뢰성이 우수한 세라믹을 이용하고 후막저항의 재료는 산화루테늄을 사용하였다. 이 재료를 인쇄, 소결, 그리고 레이저 가공하여 정밀한 출력특성을 갖는 압력센서를 개발하였다. 특히 써미스터를 브릿지 회로에 추가하여 온도 변화에 따른 출력 변화를 보상하도록 이들을 레이저 트리밍 가공한다.
2.1 센서설계
압력센서의 회로 설계는 Fig. 2와 같이 4개의 후막저항이 이용된 휘스톤브릿지회로(①, ②)에 2개의 써미스터(③, Temperature Compensation Bridge)를 직렬로 연결하여 외부온도에 따라 보상된 값이 합성 출력되도록 하였다.
Fig. 2

Structure of 4 wheastone bridges and 2 temperature compensation bridges

KSPE_2017_v34n10_701_f002.jpg
휘스톤브릿지 회로는 다이아프램의 중심에 후막 저항 2개를 배열(①)하고, 나머지2개의 저항은 미소 변위를 측정할 수 있는 가장자리에 배치(②) 하였다. 그리고 외측에 써미스터를 배치(③)시켜 외부 온도의 변화에 따른 출력 변화가 보상될 수 있도록 설계하였다. 또한, 영점조절저항(Offset Adjustment Resistor)을 회로에 추가(④)시켰다.9
휘스톤 브릿지와 영점조절용 저항을 트리밍 가공하여 합성저항값(휘스톤브릿지저항과 써미스터저항)이 평형되도록 하였다. 이를 통해서 오프셋(Offset)과 온도 보상이 가능하게 된다. 이와 같은 센서 설계방식으로 제작된 온도 보상형 압력센서의 제원은 Table 1과 같다.
Table 1

Specification of a pressure sensor

Table 1
Items Specification
Materials Thick-Film on ceramic
Diaphram ø18 × 6.35 mm
Supply voltage 5 V
Output signal 0.5-4.5 V
Temperature range -20~100°C
Fig. 3은 플립칩(Flip-Chip)의 솔더링(Soldering) 공정을 나타낸 것이다. 플립칩 공정은 IC-칩(Chip)의 밑면과 회로기판을 마주 보게 한 후 전기적, 기계적으로 연결시키는 것이다. 이와 같은 방식으로 센서를 제작하면 와이어본딩(Wire-Bonding) 공정 비용을 줄일 수 있다. 또한, 제조공정을 단순화시킴으로써 생산 수율을 높여서 전체 생산비도 절감 할 수 있다.
Fig. 3

Fabrication processes of the flip-chip

KSPE_2017_v34n10_701_f003.jpg
다이아프램형 압력센서는 수압부에 적합한 소재 위에 고유 기능이 구현된 소자를 결합시켜서 하나의 모듈로 설계하는 것이 중요하다. 다이아프램 재료는 세라믹(Al2O3, 96%)을 사용하였고, 니플(Nipple) 재질은 다양한 유체에 적용할 수 있는 황동을 사용하였다. 또한 유체가 밖으로 누출되지 않도록 2중으로 O-Ring을 배치하고, 상단에는 스냅링(Snap Ring)을 사용하였다.
2.2 제조공정

2.2.1 후막 인쇄 및 소결 공정

Fig. 4는 후막 인쇄공정, 소결공정, 그리고 온도보상을 위한 트리밍가공 공정을 나타낸 것이다.
Fig. 4

Manufacturing processes of thick-film printing, sintering, and laser trimming

KSPE_2017_v34n10_701_f004.jpg
세라믹 다이아프램 위에 저항들을 연결하는 회로를 인쇄한다. 이때 펜(Squeegee)의 각도를 45도로 유지하면서 인쇄한다. 마스크와 다이아프램 사이는 약 1.5 mm 정도 간격을 유지하여야 각각의 저항 오차를 최소화 시킬 수 있다.10
후막 저항은 폭과 길이의 편차가 최대 15 μm 이내, 두께 편차 30-50 μm 안에 들어가도록 인쇄한다. 인쇄 1시간 후 저항값을 DMM (Digital Multi-Meter, HP34401A Agilent)으로 측정하여 저항값 분포가 50-80% 이내인지 확인한다. 이는 트리밍 후 저항값이 인쇄 후 초기 저항값 보다 1.7배 이상 차이가 날 경우 후막 저항이 제 기능을 하지 못하기 때문이다. 저항체의 트리밍가공은 CO2 레이저(ALS300GM, Direct Ind.)를 이용하였다. 이 때, 사용된 레이저의 출력은 1.8 W, 50 Hz 이다.
후막저항은 건조시킬 때 모든 후막저항을 인쇄한 후 건조를 진행해야 저항 값의 변동이 줄어든다. 건조가 완료되면 인쇄된 브릿지를 보호하기 위해서 보호막용 폴리머를 인쇄하고, 다시 한번 건조시킨 후 노(Furnace)에서 소결공정을 수행한다. 소결이 완료된 브릿지 회로는 온도보상용 저항을 트리밍시키고, 최종적으로 교정을 통해 후막인쇄 공정을 마친다. 후막저항과 보호막을 인쇄한 후에는 상온에서 5-15분간 방치시키는 레벨링(Leveling)작업을 수행한다. 이것은 인쇄된 후막저항과 보호막 폴리머의 미세한 구멍(Pin Hole)을 제거하여 표면거칠기를 향상시키고 들뜸을 방지(즉, 접착력의 강화)할 수 있다.
후막인쇄 제조공정 중의 하나인 소결공정은 노의 소결온도와 사이클이 센서품질에 큰 영향을 준다. Fig. 5는 시간의 따른 소결온도를 나타낸 것이다. 850°C까지 가열하는데 걸리는 시간은 약 30분이고, 850°C에서 약 10분간 저항체를 소결시킨다. 소결 후 약 20분의 시간을 두고 저항에 균열이 생기지 않도록 상온까지 냉각시킨다.11
Fig. 5

Temperature profile of sintering processes

KSPE_2017_v34n10_701_f005.jpg

2.2.2 조립공정

Fig. 6은 압력센서의 조립공정을 나타낸 것이다. 깨끗하게 세척된 니플을 준비(Fig. 5(a))하고, 2개의 O-Ring을 알맞은 홈에 위치(Fig. 5(b))시킨다. 후막을 인쇄한 후, 칩과 다이아프램을 플립칩 방식으로 결합시킨 검출회로가 부착된 세라믹 셀을 니플 안에 삽입(Fig. 5(c))시킨다. 그리고 스냅링와 가이드링을 사용하여 니플과 압력센서를 결합(Fig. 5(d))시킨 후, 커버를 씌우고, 에폭시를 사용하여 밀봉(Fig. 5(e))한다.
Fig. 6

Fabrication processes of the nipple and PCB-chip

KSPE_2017_v34n10_701_f006.jpg

2.2.3 온도보상 방법

Fig. 7은 브릿지 회로와 써미스터 회로를이용하여 온도를 보상하는 회로를 나타낸다. 미소변위를 측정하는 압저항 4개와 써미스터 저항 2개를 추가하여 -20~100°C의 온도 변화를 보상한 합성된 출력 값을 얻도록 하였다.
Fig. 7

Structure of temperature-compensated circuit

KSPE_2017_v34n10_701_f007.jpg
Fig. 8은 온도보상형 압력센서의 레이저 트리밍 가공 순서이다. Fig. 8(a)와 같이 브릿지 회로를 구성한 후, Fig. 8(b)와 같이 미소 변위를 측정하는 압저항을 레이저 트리밍하여 정밀한 압저항 값을 구현한다. 또한 Fig. 8(c)와 같이 온도를 변화시키는 챔버에서 써미스터 저항을 레이저 트리밍하여 온도 보상된 합성저항값이 출력되도록 가공한다. 마지막으로 Fig. 8(d)와 같이 영점 조절 저항을 레이저 트리밍하여 출력 값의 영점을 조절한다.
Fig. 8

Flow of laser trimming in order to compensate temperature (Trimming target : Red box)

KSPE_2017_v34n10_701_f008.jpg
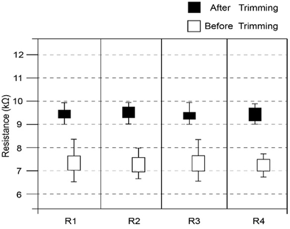
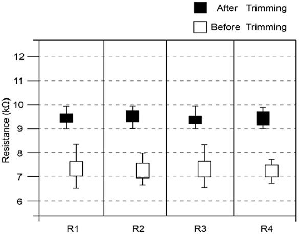
Fig. 9는 저항체의 트리밍 전후 저항값의 변화를 나타낸 것이다. 트리밍 전의 저항값은 최소 6.53에서 최대 8.35 kΩ에서 트리밍 후에는 최소 9.01에서 최대 9.94 kΩ으로 증가시켜 목표저항값을 얻을 수 있었다. 이는Table 1과 같이 압력에 따른 출력전압값(0.5-4.5 V)을 맞추기 위함이다. 또한 이와 같은 작업을 통해 저항값의 변동폭도 1.82에서 0.93 kΩ으로 약 50% 줄일 수 있었다.
Fig. 9

Changes in resistance before and after trimming

KSPE_2017_v34n10_701_f009.jpg
Figs. 109와 같이 제작된 후막 저항을 이용하여 얻은 출력 특성을 나타낸 것이다. 후막 저항을 레이저로 트리밍하여 정밀하게 교정한 후 입력전압 5 V를 인가하고 압력에 따른 출력을 측정하였다. 압력센서의 출력은 선형적인 특성을 나타냈다.
Fig. 10

Output voltage of the thick-film pressure sensor

KSPE_2017_v34n10_701_f010.jpg
압력센서의 교정은 고정도 디지털 압력조정기(Druck Pace 5000, GE)를 사용하였다. 압력을 0 kgf/cm2에서 최대 정격압력인 50 kgf/cm2까지 5 kgf/cm2씩 증가시키면서 출력 전압을 DMM으로 측정하였고, 다시 50 kgf/cm2에서 0 kgf/cm2까지 단계적으로 감소시키면서 출력 값을 측정하였으며, PGA308Sensor Amplifier를 사용하여 출력 값을 증폭하였다.
실험결과, 측정된 출력값은 0.1-10.8 mV이었으며, 감도(Sensitivity)를 계산하면 약 2.14 mV/V FS이었다.
Fig. 11은 외부 온도 변화(-20~100°C)에 따른 압력센서의 성능을 시험하기 위한 항온항습기에서 시편이 설치된 것을 나타낸다. 이와 같은 성능시험을 통해 외부 온도의 변화에 대응하지 못하는 압력 센서가 있는지 확인하면 조립 공정에서 발생되는 압력센서의 품질 불량을 최소화 할 수 있다.
Fig. 11

Test apparatus of sensor performance

KSPE_2017_v34n10_701_f011.jpg
Fig. 12는 레이저 트리밍으로 온도를 보상한 후 후막저항의 온도 의존성을 보여준 것이다. 이는 20°C에서 출력저항값을 초기값(8.7116 kΩ)으로 설정하고, 130°C(8.7936 kΩ)까지 외부 온도를 10°C씩 변화시키면서 저항 값의 변화를 측정한 것이다. 그 결과, 외부 온도를 20에서 130°C까지 110°C 증가 할 때 저항이 820 Ω증가하였다.따라서 온도변동에 따른 저항변동값(820 Ω)을 초기저항값(8.7116 kΩ)으로 나눈 저항값 변화율은 약 0.94%으로 대폭 줄어들었다. 또한 이와 같이 줄어든 저항값 변화율도 온도에 따른 출력전압의 오차가 생길 수 있기 때문에 써미스터를 이용하여 보상되어야한다.
Fig. 12

Resistance of thick-film by temperature variation

KSPE_2017_v34n10_701_f012.jpg
Figs. 1314식(1)을 이용하여 외부 온도 변화와 압력 변화에 따른 출력 전압의 편차(Deviation)를 나타낸 것이다.
(1)
Deviation%=Vr-VmVa×100
Fig. 13

Output voltage deviation before trimming accrding to outside temperature variation

KSPE_2017_v34n10_701_f013.jpg
Fig. 14

Output voltage deviation after trimming according to outside temperature variation

KSPE_2017_v34n10_701_f014.jpg
위 식에서 Vr은 기준전압(Reference Voltage), Vm은 측정된 전압(Measured Voltage), Va는 인가전압(Applied Voltage)이다.
측정결과, 외부 온도 -20~100°C의 변화에 따른 온도보상 트리밍 전의 최대 편차는 100°C일 때 최대 5.6%FS 이었으며, 트리밍후에는 최대 1.04%FS로 대폭 개선되었다.
Fig. 15는 외부 온도변화에 따른 보상 전의 출력전압이고, Fig. 16은 보상 후의 출력전압이다. 이것은 온도 변화에 따른 저항 변화를 레이져 트리밍 가공으로 보정하더라도 0.94%의 오차(Fig. 12)를 갖게 된다. 이러한 오차는 Fig. 16과 같이 써미스터를 통해 보상이 필요하다.
Fig. 15

Output voltage variation before trimming

KSPE_2017_v34n10_701_f015.jpg
Fig. 16

Output voltage variation using thermistor compensation after trimming

KSPE_2017_v34n10_701_f016.jpg
실험결과, 온도 100°C, 압력 0 kgf/cm2 일 때 오프셋 저항값은 Fig. 15와 같이 0.326 V에서 Fig. 16과 같이 0.5 V로서 58% 이상으로 보상되었다. 또한, 압력이 25 kgf/cm2 일 때 출력전압의 변동폭이 온도보상 전(Fig. 15) 0.197 V에서 보상 후(Fig. 16)에는 0.057 V로 345% 개선되었다.
본 논문에서는 휘스톤 브릿지 저항과 영점조절저항 그리고 써미스터 저항들을 레이저 트리밍 가공하여 온도를 보정한 후 압력 센서의 출력 특성을 분석한 결과, 다음과 같은 결론을 얻었다.
첫째로, 후막저항 인쇄 및 소결기술과 트리밍 가공기술을 이용하여 외부 온도의 변동이 보상될 수 있는 압력센서를 개발하였다.
둘째로, 센서감도는 2.14 mV/V FS이었으며, 출력전압의 편차는 트리밍가공 전에는 5.6%FS이었으나, 트리밍 가공 후에는 1.04%FS로 개선되었다.
셋째로, 외부온도 +100°C, 인가압력 0 kgf/cm2 일 때 오프셋저항은 0.326에서 0.5 V로 58% 이상 개선되었다.
넷째로, 브릿지회로와 써미스터를 트리밍 가공하고, 써미스터를 통한 외부 온도변동을 보상한 결과, 25 kgf/cm2의 압력에서 출력전압의 변동폭이 345% 개선되었다.
본 연구는 중소기업청 산학연 공동기술개발사업인 “산업용 냉각시스템을 위한 압력센서 및 디지털 부품 개발”과 ㈜그린시스템(www.digipressure.com)의 지원으로 수행되었습니다. 관계자 여러분의 후원에 감사드립니다.
  • 1.
    Jang, J.-S., Kang, T.-H., Song, H.-W., Park, Y.-K., and Kim, M.-S., “High-Performance Multimodal Flexible Tactile Sensor Capable of Measuring Pressure and Temperature Simultaneously,” J. Korean Soc. Precis. Eng., Vol. 31, No. 8, pp. 683-688, 2014.
    10.7736/KSPE.2014.31.8.683
  • 2.
    Lee, S.-J., Park, H.-Y., Kim, J.-K., and Min, N.-K., “Temperature Compensation Approach of Offset and Span for Piezo Type Pressure Sensor,” Proc of the Korean Institute of Electrical Engineers Conference, pp. 14-16, 2004.
  • 3.
    Jung, Y.-B., “Thermal Compensation Circuit with Improved Compensation Characteristic for Power Amplifier,” Journal of Institude of Korean Electrical and Electronics Engineers, Vol. 16, No. 3, pp. 177-181, 2012.
    10.7471/ikeee.2012.16.3.177
  • 4.
    Gadini, C. and Bigliati, M., “A Sensor Device, in Particular a Pressure Sensor,” CA Patent, WO 2016103171 A1, 2016.
  • 5.
    Choi, H. S. and Kang, S. B., “Development of Pressure Sensor for Underwater Environment Using Printed Electronics Method,” Proc. of KSPE Spring Conference, pp. 553-554, 2012.
  • 6.
    Lee, S. J., Park, H. Y., and Min, N. K., “Thick-Film Strain-Gage Ceramic Pressure Sensor,” Journal of the Korean Institute of Electrical and Electronic Material Engineers, Vol. 14, No. 12, pp. 987-993, 2001.
  • 7.
    Tamborin, M., Piccinini, S., Prudenziati, M., and Morten, B., “Piezoresistive Properties of RuO2-Based Thick-Film Resistors: The Effect of RuO2 Grain Size,” Sensors and Actuators A: Physical, Vol. 58, No. 2, pp. 159-164, 1997.
    10.1016/S0924-4247(96)01407-0
  • 8.
    Nielsen, H., “The Thick Film Strain Gage,” Experimental Techniques, Vol. 12, No. 1, pp. 19-22, 1988.
    10.1111/j.1747-1567.1988.tb02089.x
  • 9.
    Lee, S.-J., Park, H.-Y., Kim, J.-S., Yoo, J.-T., and Min, N.-K., “A Study of Output Characteristics of Pressure Sensor Based on Arrangement Pattern of Gages,” Proc. of the Korean Institute of Electrical Engineers Conference, pp. 1497-1499, 2002.
  • 10.
    Horvath, E., Harsanyi, G., Henap, G., and Torok, A., “Mechanical Modelling and Life Cycle Optimisation of Screen Printing,” Journal of Theoretical and Applied Mechanics, Vol. 50, No. 4, pp. 1025-1036, 2012.
  • 11.
    Lefort, M., Djafari, V., Jouffrey, B., and Savary, C., “Thick Film Piezoresistive Ink: Application to Pressure Sensors,” International Journal of Microcircuits and Electronic Packaging, Vol. 23, No. 2, pp. 191-202, 2000.

Download Citation

Download a citation file in RIS format that can be imported by all major citation management software, including EndNote, ProCite, RefWorks, and Reference Manager.

Format:

Include:

A Study on the Manufacturing Processes of a Pressure Sensor with Temperature Compensation
J. Korean Soc. Precis. Eng.. 2017;34(10):701-706.   Published online October 1, 2017
Download Citation

Download a citation file in RIS format that can be imported by all major citation management software, including EndNote, ProCite, RefWorks, and Reference Manager.

Format:
Include:
A Study on the Manufacturing Processes of a Pressure Sensor with Temperature Compensation
J. Korean Soc. Precis. Eng.. 2017;34(10):701-706.   Published online October 1, 2017
Close

Figure

  • 0
  • 1
  • 2
  • 3
  • 4
  • 5
  • 6
  • 7
  • 8
  • 9
  • 10
  • 11
  • 12
  • 13
  • 14
  • 15
A Study on the Manufacturing Processes of a Pressure Sensor with Temperature Compensation
Image Image Image Image Image Image Image Image Image Image Image Image Image Image Image Image
Fig. 1 Temperature compensation structure (Metallux ltd.)
Fig. 2 Structure of 4 wheastone bridges and 2 temperature compensation bridges
Fig. 3 Fabrication processes of the flip-chip
Fig. 4 Manufacturing processes of thick-film printing, sintering, and laser trimming
Fig. 5 Temperature profile of sintering processes
Fig. 6 Fabrication processes of the nipple and PCB-chip
Fig. 7 Structure of temperature-compensated circuit
Fig. 8 Flow of laser trimming in order to compensate temperature (Trimming target : Red box)
Fig. 9 Changes in resistance before and after trimming
Fig. 10 Output voltage of the thick-film pressure sensor
Fig. 11 Test apparatus of sensor performance
Fig. 12 Resistance of thick-film by temperature variation
Fig. 13 Output voltage deviation before trimming accrding to outside temperature variation
Fig. 14 Output voltage deviation after trimming according to outside temperature variation
Fig. 15 Output voltage variation before trimming
Fig. 16 Output voltage variation using thermistor compensation after trimming
A Study on the Manufacturing Processes of a Pressure Sensor with Temperature Compensation

Specification of a pressure sensor

Items Specification
Materials Thick-Film on ceramic
Diaphram ø18 × 6.35 mm
Supply voltage 5 V
Output signal 0.5-4.5 V
Temperature range -20~100°C
Table 1 Specification of a pressure sensor