Skip to main navigation Skip to main content
  • E-Submission

JKSPE : Journal of the Korean Society for Precision Engineering

OPEN ACCESS
ABOUT
BROWSE ARTICLES
EDITORIAL POLICIES
FOR CONTRIBUTORS
REGULAR

PZT 구동기를 이용한 다이어프램 변형시험 장치 개발

Development of a Test Equipment for Diaphragm Deflection Using a PZT Actuator

Journal of the Korean Society for Precision Engineering 2017;34(12):927-932.
Published online: December 1, 2017

1 부산대학교 기계공학부

1 Department of Precision Engineering, Pusan National University

#E-mail: jhwahn@pusan.ac.kr, TEL: +82-51-510-3087
• Received: May 24, 2017   • Revised: September 28, 2017   • Accepted: October 24, 2017

Copyright © The Korean Society for Precision Engineering

This is an Open-Access article distributed under the terms of the Creative Commons Attribution Non-Commercial License (http://creativecommons.org/licenses/by-nc/3.0) which permits unrestricted non-commercial use, distribution, and reproduction in any medium, provided the original work is properly cited.

  • 11 Views
  • 0 Download
  • 2 Scopus
prev next
  • The aim of this paper is the development of a PZT-driven apparatus for testing the force-deflection behavior of thin 0.1/0.5-mm-thick plates. Thin plates are widely used as the diaphragm of pressure sensors, as they are much stronger than the thin films with thicknesses of up to several tens of ? that are used in MEMS applications. Therefore, a proper PZT actuator should be selected to acquire the static- and dynamic-material properties of these thin plates to perform testing in terms of the force and frequency responses. Based on the investigation of the PZT characteristics, a test apparatus is developed. It is verified for the Hastelloy C-276 that the static-force deflection, acquired through sample testing, is compatible with the theoretical one; moreover, the dynamic test is available up to approximately 20 Hz.

Vpp

Maximum voltage of the amplifier

fmax

Maximum frequency of triangle wave in the amplifier

Ia

Average current of the amplifier

C

Capacitance of PZT actuator

E

Modulus of elasticity

b

Width of thin plate

h

Thickness of thin plate

L

Length of thin plate

δ max

Maximum deflection amount

F

Load
광스위치, 에어백 센서, 기타 각종 MEMS 관련장치에 많이 사용되는 부품은 두께가 대개 수십 μm 이하이기 때문에 재료 성질이 매크로 크기일 때와 많이 달라서 별도로 마이크로 소재의 물성치 시험을 하여야 한다. 이들 박막부품의 변형거동을 조사하기 위해 PZT 구동기를 이용한 변형시험 장치를 개발하고자 하는 연구가 많이 시도되어 왔다.1-12 박막은 변형에 큰 힘이 필요하지 않아 수십 N 이면 충분하고, 특히 동적 특성을 시험할 경우 필요한 입력 변위/하중의 가속도나 주파수가 비교적 커서 기존의 재료시험기로는 다루기 어렵기 때문이다.
미세 힘-변형 시험기는 미세 구동기, 미세 힘 측정기, 미세 변위 측정기, 미세 시편 고정부, 미세 시편 등이 주요 요소로 구성되고, 이들은 시험 대상과 범위에 따 적절히 잘 선택되고 설계되어야 한다. 과거 연구에서 각각의 요소에 대한 좋은 방법들이 다양하게 연구되어 왔는데, 비접촉식 변형률 측정,3-5 시편 설계 및 제작,4,5 피로시험 방식,2,5-7 주파수 가변에 의한 시편의 동적 특성,2 하중제어10,11 등에 관한 주제가 대부분이다. 구동기로서는 비교적 저주파수 구동이 필요하면 PZT 구동기가 이용되지만 고주파수 구동이 필요하면 Voice Coil, 스피커, 전자식 가진기(Electro-Magnetic Shaker)등이 이용되었다.3-6,8,9
그러나 압력센서에 많이 사용되는 다이어프램은 박막보다 훨씬 두꺼운 박판(0.1-1.0 mm)이기 때문에 하중 크기가 박막시험기의 구동기로 감당할 수 없을 만큼 커 박판에 맞는 시험기가 필요하다. 나아가서 일반적으로 하중이 커지면 구동기의 차단 주파수(Cut-Off Frequency)가 작아지는 경향이 있기 때문에 박판의 동적 변형을 조사하기에 적절한 주파수를 파악할 필요가 있다. 본 연구에서는 이런 것들을 고려하여 박판 재료의 시험장치를 개발하고자 한다.
다이어프램 같은 박판을 미세변형 시키고 작용력을 측정할 수 있는 시험장치의 주요 구성요소는 시편 고정부, PZT 구동부, 레이저 변위 측정부, 힘 측정부이고, 제작한 장치는 Fig. 1과 같다.
Fig. 1

Test equipment for thin plate deflection

KSPE_2017_v34n12_927_f001.jpg
2.1 레이저 변위 측정기
이 연구에서 박막의 변형량 측정을 위해 사용할 레이저 변위 센서는 LK-G35로서 해당 모델은 고속/고정도 CCD 레이저 변위 센서이며 센서 헤드 와이드 타입이다. 655 nm 3R 등급의 적색 반도체 레이저를 사용한다.
2.2 PZT 구동기와 앰프
박막에 압력이 가해지는 것을 모사하기 위해 힘을 가할 수 있는 구동기가 필요하다 이 연구에서는 두께 0.5 mm 이하, 폭 10 mm 이하, 길이 10 mm 이하의 박판을 대상으로 최대 변형량을 50 μm, 최대 작용력 1,000 N 으로 설정하였기 때문에 최대 이동량이 60 μm, 최대 작용력이 3000 N인 PZT 구동기 P-844.40(PI사)을 선택하였다. 그리고 PZT 앰프는 고출력형인 E–617(PI사)을 사용하였다. 이 구동기는 강성(Stiffness)이 57 N/μm이기 때문에 이론적으로 최대 작용력 1,000 N일 때 PZT 수축을 고려하면 변형이 적어도 40 μm정도 발생할 것으로 예상되어 박판의 힘-변형 시험에 적절한 것으로 생각된다.
2.3 Load Cell 힘 측정기
박막에 가해지는 힘 측정을 위해 저항변화형 하중센서, 즉 Load Cell 센서(FUTEK, 모델명:LCM300)를 사용하였다. 중량의 신뢰성 확보를 위해 검증된 분동과 로드셀을 사용하여 교정(Calibration)한 결과, 하중과 로드셀 센서 출력전압은 선형 관계식을 보이고 있다(Fig. 2).
Fig. 2

Load-Voltage calibration curve of load cell

KSPE_2017_v34n12_927_f002.jpg
3.1 전압-변위 정특성
PZT 구동기의 전압-변위 정특성을 측정하였다. 입력 전압을 0 V에서 100 V까지 10 V 간격으로 주면서 레이저 변위센서로 변위를 측정한 결과 Fig. 3처럼 거의 선형적 관계식을 얻었다. 무부하일 때는 최대 변위가 70 μm까지 발생하였다.
Fig. 3

Voltage-Displacement characteristic of PZT actuator

KSPE_2017_v34n12_927_f003.jpg
3.2 전압-변위 동특성
PZT 구동기의 동적 특성(Dynamic Characteristics)을 구하기 위해 Step파를 입력하여 미세변위의 거동을 조사하였다.

3.2.1 Step 응답

PZT 구동기는 입력전압의 크기에 따라 변형량이 다르므로 전압크기에 따른 변위 특성을 조사할 필요가 있다. 여기서는 3가지(10 V, 50 V, 100 V) step 입력에 대해 충/방전 변위 특성을 실험하였는데 100 V의 결과는 Fig. 4와 같고, 나머지도 거의 유사한 특성을 보였다. 측정 데이터를 바탕으로 계산한 충/방전 시상수(Time Constant, τ)는 Table 1와 같다. 입력전압이 클수록 작고, 충전보다 방전 때 더 작지만, 큰 차이가 없으므로 가장 클 때가 대략 4.15 ms이므로 차단주파수는 약 40 Hz라고 볼 수 있다.
Fig. 4

PZT actuator response to step input on charge/discharge

KSPE_2017_v34n12_927_f004.jpg
Table 1

Time constant of piezoelectric actuator (Charge/Discharge)

Table 1
Voltage(V) Time constant (τ)
Charge Discharge
10 4.14 4.06
50 4.08 4.05
100 4.05 4.00

3.2.2 삼각파 응답

PZT의 주파수 응답을 조사하기 위해 사인파 대신에 삼각파를 사용하였다. PZT 앰프의 자료집에 의하면 삼각파의 최대주파수는 fmax1CIaVPP(앰프의 평균 전류 Ia = 700 mA, 앰프의 최대 전압 Vpp = 120 V, PZT 구동기의 Capacitance C = 24 μF) 이므로 Fmax ≒ 240 Hz로서 Step 응답에서 구한 PZT 구동기의 차단주파수의 6배 정도로 앰프로서 충분하다.
0-100 V 사이를 증가하고 감소하는 삼각파를 입력으로 하여, 주파수를 변화시키며 PZT의 출력 특성을 측정한 결과는 Fig. 5와 같다. 1 Hz 에서는 50 μm의 진폭이지만 20 Hz에서 3 μm로 줄어든다. 따라서 이 시험 장치에서는 박판의 동적변형을 조사할 수 있는 최대 주파수는 PZT 구동기의 시상수에 의한 차단주파수보다 훨씬 작은 20 Hz까지 정도라고 볼 수 있다.
Fig. 5

Response of PZT actuator VS frequency of triangle input

KSPE_2017_v34n12_927_f005.jpg
4.1 박판의 힘-변형 시뮬레이션
Fig. 1 장치의 시편 고정부를 자세히 나타내면 Fig. 6(a)과 같이 14 mm 폭의 지지대 위에 시편을 올려 놓고 판재로 움직이지 않도록 고정한다. 박판의 변형을 이론적으로 해석하기 위해 Fig. 6(b)처럼 양단에 고정되고 중앙에 집중하중을 받는 것으로 단순화시켜 모델링한다. 최대 변형량은 중앙에서 생기는데 식(1)로 표현되고, 하중 대비 변형량(Compliance)은 식(2)와 같이 표현된다. 시편의 재질은 HASTELLOY C-276 인데 니켈-크롬-몰리브뎀 합금으로 내환경성, 내부식성이 뛰어나서 극한 환경의 부품에 널리 사용되며, 탄성계수(E) 205GPa이다. 시편의 단면형상이 폭(b) 10 mm, 두께(h) 0.1/0.5 mm, 길이(L) 14 mm 일 때 이론 식(2)에 의한 하중대비 변형량, 즉 기울기는 0.1 mm에서는 83.7 μm/N, 0.5 mm에서는 0.6 μm/N이다.
(1)
δc=FL3192EII=bh312
(2)
δcF=L316E bh3
(3)
Fmax=4bh2 σmax3L
Fig. 6

Thin plate specimen fixture (a) and concentrated load modeling of both ends fixed specimen (b)

KSPE_2017_v34n12_927_f006.jpg
4.2 박판의 정적변형 시험
시편의 탄성한계 범위 내에서 시험을 하기 위해 탄성한계응력(σmax = 355 MPa)을 식(3)에 대입하여 이론적인 최대 하중을 구하면 박판 두께별로 Table 2과 같다. 이는 Fig. 7에 나타낸 FEM 해석결과와 거의 일치하였다.
Table 2

Maximum load and deflection causing elastic limit

Table 2
h
(mm)
Mmax
(N·mm)
Fmax
(N)
δmax
(mm)
0.1 5.92 3.38 0.283
0.5 147.92 84.53 0.057
1.0 591.67 338.10 0.028
Fig. 7

FEM results of maximum elastic deflection of thin plates

KSPE_2017_v34n12_927_f007.jpg
박판의 정적 힘-변형 특성을 조사하기 위해 박판 시편을 시편 고정부에 고정하고 높이를 미세 조정하여 PZT 구동기의 작용점에 1 N 정도의 예압이 걸릴 정도로 밀착시킨 상태에서 구동전압을 10 V씩 100 V까지 가하면서 박판 중앙부의 변위와 힘을 측정하였다. 측정한 결과는 Fig. 8의 “◇” 로 표시된 것과 같다.
Fig. 8

Comparison of theoretical and experimental values of deflection for thin plate with a concentrated load varied

KSPE_2017_v34n12_927_f008.jpg
시편의 두께별로 하중 대비 변형량은 차이를 보였다. 그 기울기는 0.1 mm에서는 73 μm/N, 0.5 mm에서는 0.66 μm/N 로 나타났다. 식(2)를 그래프에 표시한 푸른 실선과 비교하면 0.1 mm에서는 약간 작게 나타나지만 0.5 mm에서는 거의 동일하게 나타났다. 시편의 오차, 최대변형 측정 위치의 오차 등을 고려하면 개발한 시험기로 박판의 정적변형 시험을 비교적 정밀하고 안정적으로 할 수 있음을 알 수 있다. 만약 미지의 재료에 대해 이 기울기를 측정할 수 있으면 식(2)에 의해 탄성계수(E)를 구할 수 있을 것이다.
4.3 박판의 동적변형 시험
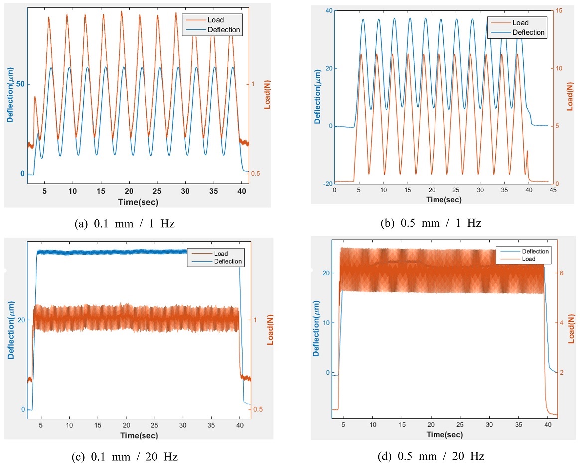
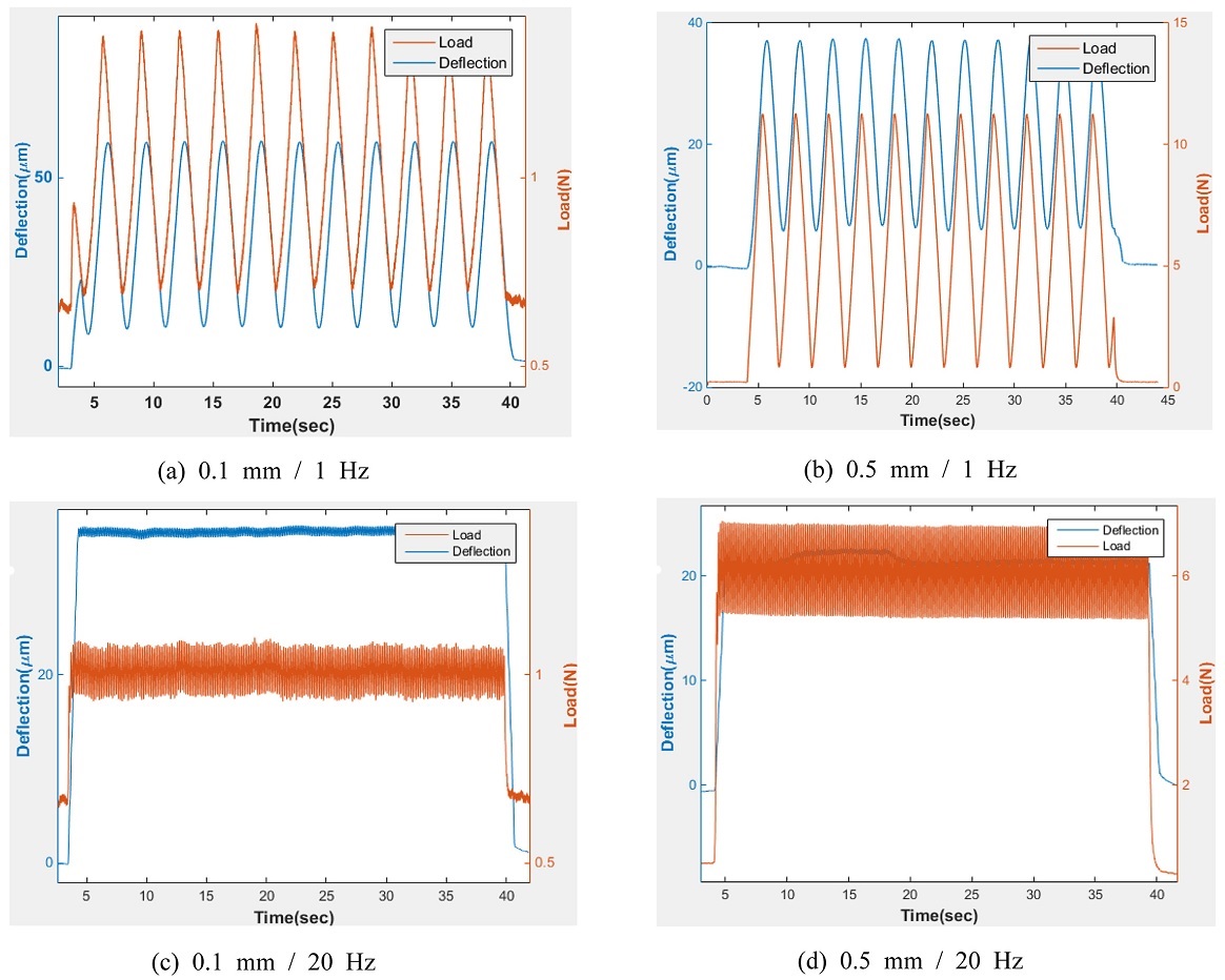
다음은 박판의 동적 힘-변형 특성을 조사하기 위해 삼각파 구동전압을 입력하여 변위와 힘을 측정하였다. 정적변형 시험처럼 박판에 PZT 구동기의 작용점을 밀착시켜 인접하게 박판을 위치 시킨 후 전압진폭 100 V, 입력 주파수를 1 Hz와 20 Hz로 하여 동적 시험을 하였다. 박판의 동적 힘-변형 특성은 Fig. 9와 같이 측정되었다. 1 Hz의 경우, 0.1 mm 두께에서는 59.7 μm 변위를 발생하는데 1.4 N의 힘이 사용되었으며, 0.5 mm에서는 37 μm 변위를 발생하기 위해 11.2 N정도의 힘이 사용되었으며, 20 Hz의 경우에는 0.1 mm 두께에서는 35 μm 변위를 발생하는데 1 N의 힘이 사용되었으며, 0.5 mm에서는 21.5 μm 변위를 발생하기 위해 약 7 N 정도의 힘이 사용되었다.
Fig. 9

Dynamic load-deflection characteristics of thin plate with cycled excitation

KSPE_2017_v34n12_927_f009.jpg
동적변형시험은 재료의 피로 파괴를 조사하는데 활용할 수 있을 것이지만 최대 주파수를 높이기 위한 방법이 강구되어야 보다 효율적인 시험기가 될 것으로 생각된다. 이에 대한 후속 연구가 필요하다.
다이어프램과 같은 박판 소재의 정적/동적 힘-변위 특성을 조사하기 위해 PZT 구동기를 이용한 미세변위 시험기를 개발하였고, 내부식성이 뛰어난 HASTELLOY C-276을 시편으로 하여 박판의 정적 및 동적 힘-변형 특성을 구하였다. 결론은 다음과 같다.
(1) PZT 충방전 특성이 동적 시험의 입력 주파수범위를 제한 하는 것으로 보이며, 본 연구에서 제작한 장치의 동적변형 시험용 최대 주파수는 20 Hz이다.
(2) 정적변형 시험을 통해 박판의 하중대비 변형량(Compliance)을 측정할 수 있었고, 두께 0.1 mm, 0.5 mm 시편에 대한 측정값이 이론값과 비교하여 87.9% 정도 일치하였다.
(3) 1 Hz 삼각파 입력을 통한 동적 시험에서 두께 0.1 mm, 0.5 mm 시편의 최대변형과 힘은 각각 (59.7 μm, 1.4 N), (37 μm, 11.2 N) 이었다.
(4) 20 Hz 삼각파 입력을 통한 동적 시험에서 두께 0.1 mm, 0.5 mm 시편의 최대변형과 힘은 각각 (35 μm, 1 N), (21.5 μm, 7 N) 이었다.
(5) 다이어프램의 효과적인 피로 시험장치 개발을 위해 차후 연구에서는 구동기의 최대 주파수를 높여 박판에 더 많은 횟수의 압력을 가하는 것과 스트레인 게이지와 같은 다른 변위 측정방법을 사용하여 박판 변형량의 좀 더 정밀한 측정을 할 것이다.
이 논문은 부산대학교 기본연구지원사업(2년)에 의하여 연구되었음.
  • 1.
    Hommel, M., Kraft O., Baker, S. P., and Arzt, E., “Micro-Tensile and Fatigue Testing of Copper Thin Films on Substrates,” MRS Online Proceedings Library Archive, No. 546, p. 133, 1988.
    10.1557/PROC-546-133
  • 2.
    Lee, J. P., Lee, H. J., Hwang, J. H., Lee, N. K., and Bae, J. S., “A Study on a Micro Dynamic Tester Development for a Micro Property Measurement of a Micro Metal Specimen,” Proc. of the Korean Society for Noise Vibration Engineering, No. 11, pp. 166-171, 2006.
  • 3.
    Ahn, H. G., Lee, H. J., and Oh, C. S., “Development and Application of Material Testers for the Thin Film,” J. Korean Soc. Precis. Eng., Vol. 23, No. 3, pp. 163-170, 2006.
  • 4.
    Kwon, Y. H., Kang, D. I., and Joo, J. W., “Calculation of Rated Output in Diaphragm Type Miniature Load Cell,” J. Korean Soc. Precis. Eng., Vol. 7, No. 2, pp. 58-64, 1990.
  • 5.
    Kim, C. Y. and Sharpe, W. N., “Development of a Fatigue Testing System for Micro-Specimens,” Transactions of the Korean Society of Mechanical Engineers A, Vol. 34, No. 9, pp. 1201-1207, 2010.
    10.3795/KSME-A.2010.34.9.1201
  • 6.
    Park, J. H., “Micro/Nano Material Fatigue Test Method and Future Study Direction,” Journal of the Korean Society of Manufacturing Technology Engineers, Vol. 49, No. 5, pp. 32-39, 2009.
  • 7.
    Park, J. H. and Kim, Y. J., “A Novel Tensile Specimen and Tester for Mechanical Properties of Thin Films,” Transactions of the Korean Society of Mechanical Engineers A, Vol. 31, No. 6, pp. 644-650, 2007.
    10.3795/KSME-A.2007.31.6.644
  • 8.
    Kim, S. M., Kim, M. S., Shin, C. W., Lim, W. S., and Cha, S. W., “Development of Contact Point Estimation Algorithm of Dry Type Clutch with Considering the Friction Pad Wear,” Journal of the Korean Society of Manufacturing Technology Engineers, Vol. 20, No. 6, pp. 692-696, 2011.
  • 9.
    Bae, J. S., Oh, C. S., Park, K. S., Kim, S. K., and Lee, H. J., “Development of a High Cycle Fatigue Testing System and Its Application to Thin Aluminum Film,” Engineering Fracture Mechanics, Vol. 75, No. 17, pp. 4958-4964, 2008.
    10.1016/j.engfracmech.2008.06.015
  • 10.
    Kim, C. Y., Song, J. H., and Lee, D. Y., “Development of a Fatigue Testing System for Thin Films,” International Journal of Fatigue, Vol. 31, No. 4, pp. 736-742, 2009.
    10.1016/j.ijfatigue.2008.03.010
  • 11.
    Kim, B. C., Ha, S. J., Kim, K. B., Song, K. H., and Cho, M. W., “Analysis of Performance of Piezo Actuator Dispenser Using Multi-Body Dynamic Analysis,” Proc. Korean Society of Manufacturing Technology Engineers, pp. 225-225, 2016.
  • 12.
    Bagdahn, J. and Sharpe, W. N., “Fatigue of Polycrystalline Silicon under Long-Term Cyclic Loading,” Sensors and Actuators A: Physical, Vol. 103, No. 1, pp. 9-15, 2003.
    10.1016/S0924-4247(02)00328-X

Download Citation

Download a citation file in RIS format that can be imported by all major citation management software, including EndNote, ProCite, RefWorks, and Reference Manager.

Format:

Include:

Development of a Test Equipment for Diaphragm Deflection Using a PZT Actuator
J. Korean Soc. Precis. Eng.. 2017;34(12):927-932.   Published online December 1, 2017
Download Citation

Download a citation file in RIS format that can be imported by all major citation management software, including EndNote, ProCite, RefWorks, and Reference Manager.

Format:
Include:
Development of a Test Equipment for Diaphragm Deflection Using a PZT Actuator
J. Korean Soc. Precis. Eng.. 2017;34(12):927-932.   Published online December 1, 2017
Close

Figure

  • 0
  • 1
  • 2
  • 3
  • 4
  • 5
  • 6
  • 7
  • 8
Development of a Test Equipment for Diaphragm Deflection Using a PZT Actuator
Image Image Image Image Image Image Image Image Image
Fig. 1 Test equipment for thin plate deflection
Fig. 2 Load-Voltage calibration curve of load cell
Fig. 3 Voltage-Displacement characteristic of PZT actuator
Fig. 4 PZT actuator response to step input on charge/discharge
Fig. 5 Response of PZT actuator VS frequency of triangle input
Fig. 6 Thin plate specimen fixture (a) and concentrated load modeling of both ends fixed specimen (b)
Fig. 7 FEM results of maximum elastic deflection of thin plates
Fig. 8 Comparison of theoretical and experimental values of deflection for thin plate with a concentrated load varied
Fig. 9 Dynamic load-deflection characteristics of thin plate with cycled excitation
Development of a Test Equipment for Diaphragm Deflection Using a PZT Actuator

Time constant of piezoelectric actuator (Charge/Discharge)

Voltage(V) Time constant (τ)
Charge Discharge
10 4.14 4.06
50 4.08 4.05
100 4.05 4.00

Maximum load and deflection causing elastic limit

h
(mm)
Mmax
(N·mm)
Fmax
(N)
δmax
(mm)
0.1 5.92 3.38 0.283
0.5 147.92 84.53 0.057
1.0 591.67 338.10 0.028
Table 1 Time constant of piezoelectric actuator (Charge/Discharge)
Table 2 Maximum load and deflection causing elastic limit