Skip to main navigation Skip to main content
  • E-Submission

JKSPE : Journal of the Korean Society for Precision Engineering

OPEN ACCESS
ABOUT
BROWSE ARTICLES
EDITORIAL POLICIES
FOR CONTRIBUTORS
REGULAR

이동로봇의 분산점 칼만 필터 기반 옥외용 위치평가

Unscented Kalman Filter based Outdoor Localization of a Mobile Robot

Journal of the Korean Society for Precision Engineering 2019;36(2):183-190.
Published online: February 1, 2019

1 제주대학교 대학원 메카트로닉스공학과

2 제주대학교 메카트로닉스공학과

1 Department of Mechatronics Engineering, Graduate School, Jeju University

2 Department of Mechatronics Engineering, Jeju University

#E-mail: jhlim@jejunu.ac.kr, TEL: +82-64-754-3712
• Received: February 1, 2018   • Revised: August 13, 2018   • Accepted: September 5, 2018

Copyright © The Korean Society for Precision Engineering

This is an Open-Access article distributed under the terms of the Creative Commons Attribution Non-Commercial License (http://creativecommons.org/licenses/by-nc/3.0) which permits unrestricted non-commercial use, distribution, and reproduction in any medium, provided the original work is properly cited.

  • 23 Views
  • 0 Download
  • 4 Crossref
  • 4 Scopus
prev next
  • This paper proposes a practical method, for evaluating positioning of outdoor mobile robots using Unscented Kalman Filter (UKF). Since the UKF method does not require the linearization process unlike EKF localization, it can minimize effects of errors caused by linearization of non-linear models for position estimation. This method enables relatively high performance position estimation, using only non-inertial sensors such as low-precision GPS and a digital compass. Effectiveness of the UKF localization method was verified through actual experiments and performance of position estimation was compared with that of the existing EKF method. Experimental results revealed the proposed method has better performance than the EKF method, and it is stable regardless of initial error size, and observation period.
위치평가 기술은 이동로봇에 있어서 가장 핵심적인 기술로서 무인 자동차나 안내로봇, 인간 추종 로봇 등 다양한 분야에 있어서 로봇의 자율 주행을 위해 활발히 연구되고 있다. 자율 주행을 위해서는 로봇 또는 자동차의 현재 위치, 그리고 목표지점의 위치와 그 지점까지의 효율적인 이동경로 등이 필요한데, 이 모든 동작의 기본이 되는 것이 로봇 자신의 정밀한 위치평가(Localization)이다.1,2
이동로봇의 위치평가 정밀도는 주행 환경이 실내 환경인지 옥외 환경인지 여부에 따라 위치 정밀도가 달라진다. 실내 환경은 일반적으로 벽면이나 사물들이 확실하게 구별되는 환경으로 로봇이 주행 가능한 공간과 장애물의 구분이 비교적 용이하다. 따라서 사용자가 로봇에게 목표지점을 설정하였을 때, 로봇 스스로가 목표지점까지의 이동경로를 생성하고 동시에 장애물 회피를 수행하며 최종 목표지점에 도달하는 자율 주행을 구성하는 것이 비교적 수월하다. 아울러 실내 환경에서는 벽면과 사물 등의 뚜렷한 장애물들을 이용하여 현재 수 cm 단위의 정밀도로 위치평가가 가능하다. 이와 같은 실내 이동로봇은 주로 초음파, 레이저 센서 및 카메라 등을 이용하여 주변 환경을 인식한다.3-6
옥외환경은 일반적으로 벽면이나 사물들로 뚜렷하게 구별되는 구조화된 환경이 아니므로 로봇이 이동 가능한 자유공간과 장애물의 구별이 용이하지 않다. 또한 옥외환경은 활동공간이 넓고 수시로 변화하는 환경이기 때문에 실내에서 주로 사용하는 환경지도를 이용하는 방법이나 위치센서를 설치하는 방법은 적용하기 어렵다. 아울러 옥외의 지면은 일반적으로 평탄하지 못하기 때문에 위치평가 시에 오차가 심하게 발생한다. 따라서 옥외 위치평가는 기존 실내 위치평가 방법을 그대로 적용할 수 없으며 위치평가 성능 또한 실내보다 떨어진다.
옥외 환경에서 GPS (Global Positioning System)는 쉽게 위치정보를 획득할 수 있는 수단으로서 옥외용 이동로봇의 위치추정에 널리 이용되고 있다. 그러나 GPS는 인공위성의 궤도 이탈, 시계오차, 위성 신호 수신 시 전리층이나 대류층에서의 굴절, 잡음의 간섭, 다중 경로(Multi-Path) 오차 등에 기인한 무작위적 오차가 발생하므로 위치정보의 신뢰성이 떨어질 수 있다. 따라서 GPS 단독에 의한 이동로봇의 위치평가는 적합하지 않으므로 다른 센서와의 융합을 통해 위치오차를 보정해줄 필요가 있다.
Ji7는 저가의 단일 카메라 영상에서 추출된 차선정보를 지도상에의 차선정보와 정합함으로써 GPS 정보를 보정하였다. Choi8는 GPS 수신의 3개의 GPS 수신기를 사용하여 얻은 위치정보와 INS(Inertial Navigation System)를 융합하는 위치 추정 시스템을 제안하였다. Kim9은 자기장의 영향을 받지 않는 1축 자이로 센서 3개를 이용하여 얻은 자세 정보와 GPS, 엔코더 등을 통해 얻은 정보를 융합하였다. Kang10은 INS/GPS/SPR (Single Photo Resection) 통합 알고리즘을 구현하였다. Lim11은 저 정밀도 저가의 GPS와 디지털 컴퍼스 및 로봇 바퀴에 부착된 엔코더 정보를 이용한 위치평가를 제안하였으며, 곡선경로 및 GPS 신호가 수신되지 못하는 곳에서도 위치평가 신뢰성이 보장됨을 보였다.
이러한 연구들은 서로 다른 센서들간의 융합을 위해 확장 칼만 필터(Extended Kalman Filter, EKF)를 이용한다. EKF는 비선형 시스템 모델을 테일러 시리즈 전개를 이용하여 1차항으로 선형화하여 고차 항을 생략하는 선형화 과정을 거치는 방법이다. EKF는 구성이 간단하고 처리 속도는 빠르지만 선형화 과정으로 인해 오차가 발생하며 관측구간이 커지거나 초기오차가 큰 경우에는 위치평가 정밀도와 오차 수렴성이 떨어진다고 알려져 있다. 12
반면 파티클 필터(Particle Filter, PF)를 이용하면 이러한 EKF의 단점을 보완할 수 있다. PF는 입력된 관측 값들과 시스템 모델로부터 랜덤한 다수의 파티클을 구하고 그에 대한 가중치를 이용하여 사후확률밀도함수에 의해 현재 상태 변수들의 기대 값, 분산 등을 추정해내는 방법이다.13 PF는 파티클의 개수가 많을수록 더 정밀한 위치를 구할 수 있지만, 파티클의 개수가 증가함에 따라 계산 양이 늘어나 메모리 소모가 크고 처리속도가 늦어지는 단점이 있다.14 PF와 유사한 방법으로 몬테카를로 위치평가(Monte Carlo Localization, MCL)가 있다.15 MCL은 무작위로 다수의 샘플을 추출한 뒤 각종 센서정보를 활용하여 이 샘플들이 수렴하는 위치로 로봇의 위치를 추정한다. 하지만 MCL 역시 이동로봇의 실시간 위치추정에 이용하기에는 비교적 높은 연산부하를 가져온다.16
한편 분산점 칼만 필터(Unscented Kalman Filter, UKF)는 선형화 과정 없이 이전 상태 공분산에서 확률분포를 통해 비교적 적은 개수의 시그마 포인트들을 추출하고 비선형 모델 자체를 통해 변환한 뒤 가중치를 부여하여 평균과 공분산을 계산하는 방법으로써 UT (Unscented Transform)에 기반을 둔 방법이다.17 이 방법은 EKF와 같은 선형화 과정을 거치지 않으므로 추정 오차가 작아지며 자코비안의 유도가 필요 없다.18 그리고 초기 오차에 대해 안정성이 크며 관측 주기가 긴 경우에도 빠르게 수렴한다고 보고되고 있다.19 아울러 이 방법은 PF나 MCL에 비해 적은 개수의 시그마 포인트를 사용하므로 이동로봇의 실시간 위치추정에도 적합하다.
본 논문에서는 UKF를 이용하는 옥외용 이동로봇의 실용적인 위치평가 방법을 제안한다. 이 방법은 이동로봇의 위치평가에 UKF를 이용함으로써 비선형성이 큰 모델의 선형화에 수반되는 오차의 영향을 최소화할 뿐만 아니라 정밀도가 낮은 저가의 GPS, 엔코더, 디지털 컴퍼스와 같은 비관성 센서들을 이용하더라도 비교적 높은 성능의 위치평가가 가능하다. 아울러 많은 개수의 분산점을 이용하는 PF나 MCL과 달리 6개의 분산점만을 이용함에도 충분한 위치평가가 가능한지를 분석한다. 실제 실험을 통하여 UKF 위치평가 방법의 초기오차 크기 및 관측주기에 대한 안정성을 검증하고 기존의 EKF 방법과의 위치평가 성능을 비교 평가한다.
본 연구에서는 실용적인 위치평가를 위하여 고가, 고성능 센서를 사용하지 않고 저가의 GPS와 디지털 컴퍼스와 같은 비 관성센서를 이용한다. UKF 기반 위치평가는 이전 위치로부터 일정 개수의 시그마 포인트를 추출 및 변환하여 현재 위치를 추정하는 위치추정 단계, 그리고 GPS와 디지털 컴퍼스의 정보를 이용하여 추정된 위치를 갱신하는 위치갱신 단계로 구성된다.
2.1 시스템 모델
Fig. 1은 로봇이 시간 t−1 위치에서 시간 t 위치로 이동한 상태를 나타낸다. 로봇의 위치를 나타내는 상태변수를 X = [x, y, θ]T로 정의하고, 엔코더 기반 추측항법으로부터의 제어입력은 ut= [dt, Δθt]T이며, dt는 이동거리, 그리고 Δθt는 회전 증분으로 정의한다. 제어입력 ut에 따라 변하는 로봇의 위치 Xt에 대한 시스템 모델은 Fig. 1에 의해 다음 식(1)과 같다.11
(1)
Xt=FXt-1,ut+vt
Fig. 1

System model

KSPE_2019_v36n2_183_f001.jpg
여기서 F(Xt−1, ut)는 비선형 상태천이함수이고, vt는 평균이 0이고 공분산이 Qt인 가우시안 잡음으로서 각 상태변수의 오차의 분산으로 구성되는 로봇 이동 관련 행렬이다.
상태천이함수 F(Xt−1, ut)는 Fig. 1과 같은 관계에 의해 다음 식(2)와 같이 표현된다.
(2)
FXt-1,ut=xt-1+dtcosθt-1+θtyt-1+dtsinθt-1+θtθt-1+θt
2.2 측정 모델
로봇에 사용된 센서인 GPS와 디지털 컴퍼스의 측정값인 위치 및 방위 정보와 현재 로봇의 위치를 관계 짓는 측정 모델 Zt는 다음 식(3)과 같이 표현된다.
(3)
Zt=HXt+Wt
여기서 H(Xt)는 비선형 상태천이함수이고, Wt는 평균이 0이고 공분산이 Rt인 측정에 관련된 가우시안 잡음이며, Rt는 각 측정변수의 오차의 분산으로 구성되는 행렬이다.
GPS 및 디지털 컴퍼스의 측정값은 로봇의 특정 위치와 아무런 기하학적 관계가 없고 단지 현재 위치에 측정 잡음만 개입되므로 상태천이함수 H(Xt)는 다음 식(4)와 같이 단순히 두 센서의 측정값으로 구성된다.
(4)
HXt=xGPS,tyGPS,tθCOMPASS,t
2.3 위치 추정 단계
일반적인 UT에서 평균과 분산점 사이의 거리는 상태 벡터의 차원이 증가할 수록 커지며, 음반정치(Negative Semi-Definite)가 되는 문제가 발생할 수 있다.19 이를 해결하기 위한 방법이 Scaled UT인데, 이 방법은 매개변수 αβ를 이용하여 분산점의 크기를 조절함으로써 음반정치를 해결하는 것으로서, 본 연구에서는 이 방법을 이용한다.20
먼저 이전 상태 t−1에서의 공분산 행렬 Pt−1로부터 다음을 만족하는 제곱근 행렬 L을 구한다.
(5)
n+λ=Pt-1=LLT
여기서 n은 상태 벡터의 차원으로써 본 연구에서는 n = 3이고 λ는 다음 식(6)과 같이 정의된다.20
(6)
λ=α2n+κ-n
여기서 0 ≤ α ≤ 1이고 κ ≥ 0이며, 본 논문에서는 α = 0.5, κ = 0의 값을 사용하였다.
다음으로 이전 상태 t−1에서의 시그마 포인트 χt−1,i를 다음과 같이 계산한다. 여기서 Lij는 행렬 L의 요소이며 i는 행, j는 열을 나타낸다.
(7)
χt-1,0=X^t-1=x^t-1y^t-1θ^t-1χt-1,i=x^t-1y^t-1θ^t-1+L1iL2iL3ifor i=1,2,,nχt-1,i=x^t-1y^t-1θ^t-1-L1i-nL2i-nL3i-nfor i=n+1,2,,n
다음은 앞서 구한 시그마 포인트 χt−1,i와 제어입력 ut로부터 식(2)를 이용하여 다음 식(8)과 같이 변환된 시그마 포인트 χt,i를 계산한다.
(8)
χt,i=fχt-1,i,ut=χt-1,i,x+dtcosχt-1,i,θ+θtχt-1,i,y+dtsinχt-1,i,θ+θtχt-1,i,θ+θt
여기서 i = 0,1,...,2n이고 χt−1,i,xχt−1,ix 방향 성분, χt−1,i,yy 방향 성분, χt−1,i,θθ 방향 성분을 나타낸다.
변환된 시그마 포인트 χt,i의 평균이 현재 상태 t의 예측된 상태 X^t가 되며 다음 식(9)와 같이 계산한다.
(9)
X^t=i=02nωiχt,i=i=02nωi=χt-1,i,x+dtcosχt-1,i,θ+θtχt-1,i,y+dtsinχt-1,i,θ+θtχt-1,i,θ+θt
여기서 ωi는 평균값 계산을 위한 각 시그마 포인트들의 가중치로서 다음 식(10)과 같이 정의된다.
(10)
ω0=λn+λωi=12n+λfor i1
앞에서 계산한 변환된 각각의 시그마 포인트 χt,i와 예측값 X^t의 차이로 구성되는 오차의 공분산 Pt를 계산한다.
(11)
Pt=i=02nωicχt,i-X^tχt,i-X^tT+Qt
여기서 각 가중치 ωic는 다음 식(12)와 같이 정의된다.
(12)
ω0c=λn+λ+1-α2+βωic=12n+λfor i1
위 식에서 상태 벡터의 특성이 가우시안이므로 β = 2이다.20 또한 Qt는 현재 상태 t의 이동 증분 dt과 회전 증분 Δθt를 반영하여 구한다.
2.4 측정값 예측
측정 벡터 예측을 위하여 앞에서 구한 현재 상태 공분산 Pt를 이용하여 다음을 만족하는 제곱근 행렬 Lo를 구한다.
(13)
n+λPt=LoLoT
앞에서 예측한 상태 벡터 X^tLo를 이용하여 Pt로 표현되는 공분산 범위 내 2n+1개의 관측값 예측을 위한 시그마 포인트 χto를 구한다.
(14)
χt,0o=X^t=x^ty^tθ^tχt,io=x^ty^tθ^t+L1ioL2ioL3iofor i=1,,nχt,io=x^ty^tθ^t-L1i-noL2i-noL3i-nofor i=n+1,,2n
여기서 Lijo는 제곱근 행렬 Lo의 요소이다.
각 시그마 포인트 χto식(4)의 관측모델을 통해 변환된 관측 시그마 포인트 γt,i를 다음 식(15)와 같이 구한다.
(15)
γt,i=Hχt,io=χt,i,xoχt,i,yoχt,i,θo
여기서 i는 0에서 2n까지의 값을 같고 χt,i,xox 방향 성분, χt,i,yoy 방향 성분, χt,i,θoθ 방향 성분을 나타낸다.
변환된 관측 시그마 포인트들의 평균이 예측 관측값 Z^t가 되며 다음 식(16)과 같이 계산한다.
(16)
Z^t=i=02nωiγt,i=i=02nωiγt,i,xγt,i,yγt,i,θ
여기서 가중치 ωi의 계산은 식(10)과 동일하다.
2.5 신뢰성 평가 및 위치 갱신
DGPS (Differential GPS) 및 디지털 컴퍼스는 다양한 요인에 의해 측정 시 오차가 크게 발생할 수 있다. 따라서 현재 측정값이 위치갱신에 유용한 정도의 신뢰성을 가지고 있는지를 평가할 필요가 있다. 각 센서에 대응되는 실제 측정값과 예측 관측값의 차로 구성되는 Innovation행렬 Γt를 다음 식(17)과 같이 구한다.
(17)
Γt=Zt-Z^t=xGPS,tyGPS,tθCOMPASS,t-Z^t,xZ^t,yZ^t,θ
위 식에서 Zt는 DGPS 및 디지털 컴퍼스로부터 측정된 실제 측정값이고 Z^t식(16)과 같이 예측된 예측 관측 값이다.
측정값의 유효성을 평가하는 Validation Gate Gt는 다음 식(18)과 같이 계산한다.
(18)
Gt=ΓtTPt,ZZ-1Γt<γ
여기서 γ는 측정값의 유효성 범위를 설정하는 설계변수다. 만약 측정값이 식(18)를 만족한다면 유효한 측정값으로서 상태 벡터 및 공분산 갱신에 이용된다. 반면에 식(18)을 만족하지 못하는 측정값은 유효하지 못한 측정값으로 간주하여 식(9)로 구한 상태벡터와 식(11)로 구한 공분산이 그대로 다음 단계의 갱신 값이 된다.
상태 벡터 및 공분산 갱신을 위한 칼만 이득 Kt 및 칼만 이득 계산을 위한 Pt,XZPt,ZZ는 다음 식(19)-(21)로 구한다.
(19)
Kt=Pt,XZZPt,ZZ-1
(20)
Pt,XZ=i=02nωcχt,i-X^tγt,i-Z^tT
(21)
Pt,ZZ=i=02nωcγt,i-Z^tγt,i-Z^tT+Rt
마지막으로 식(18)를 만족하는 측정값에 대해 다음 식(22), (23)과 같이 상태 t에서의 위치 및 공분산을 갱신한다.
(22)
Xt=X¯t+KtΓt
(23)
Pt=P¯t-KtPt,ZZKtT
3.1 실험방법
Table 1은 실험에 이용된 DGPS와 디지털 컴퍼스의 사양을 나타낸다. 실험 환경은 Fig. 2와 같으며 로봇이 이동할 전체 경로의 길이는 약 415 m이다. 그림에 표시된 X는 실제경로 계산을 위한 기준위치로서, 로봇 이동경로 내의 모든 위치의 실제 좌표는 알기 힘들기 때문에 사전에 6곳의 실제 좌표를 측정한 후 이것을 연결하여 기준경로를 설정한 것이다.
Table 1

Specifications of DGPS and digital compass

Table 1
DGPS Digital Compass
Accuracy 2.5 m ±3o
Sampling Rate 1 Hz 100 Hz
Fig. 2

Experimental environment

KSPE_2019_v36n2_183_f002.jpg
실험은 리모컨을 이용하여 로봇이 기준경로를 따라 주행시킨 후 기준경로에 대한 DGPS 및 EKF, 그리고 UKF의 위치평가 결과를 비교 분석하는 방법으로 수행되었다. 로봇의 이동 속력은 평균 0.6 m/s이며, DGPS의 경위도 좌표계는 로봇의 좌표계와 통일시키기 위해 TM (Transverse Mercator) 좌표계로 환산하였다. 제안된 방법의 성능 비교를 위한 기존의 EKF 기반 위치평가 방법은 Ref. 11과 동일하다.
3.2 주행 실험 결과
EKF 및 UKF를 이용한 위치평가 실험 결과를 Fig. 3에 나타냈다. 그림에서 X 표시를 포함하는 가는 점선은 기준경로, 일점쇄선은 DGPS, 점선은 EKF 위치평가 결과, 그리고 실선은 UKF 위치평가 결과를 나타내며, 위도 126o33'53'', 경도 33o27'28''를 원점으로 설정하였다. EKF 및 UKF 위치평가 결과는 DGPS 단독의 경우보다는 향상된 성능을 보인다. 또한 그림에서 보여지는 바와 같이 일부 구간에서는 EKF 위치평가 결과가 더 나은 부분도 있지만 전체적으로 UKF 위치평가 방법이 EKF 방법보다는 양호하다는 것을 알 수 있다. 사용된 센서들의 오차가 무작위 한 특성을 갖기 때문에 위치평가 결과 오차 또한 무작위 한 특성을 가지므로 부분적으로 EKF 결과가 UKF 결과보다 양호한 부분이 발생할 수 있다.
Fig. 3

Experimental results

KSPE_2019_v36n2_183_f003.jpg
각 위치평가 방법의 오차 특성을 정량적으로 비교하기 위해 Fig. 4에 기준경로에 대한 각각의 위치오차를 나타내었다. 사각형선은 DGPS 위치오차, 삼각형 선은 EKF의 위치오차, 그리고 원형 선은 UKF의 위치오차를 나타낸다. 그림에서 알 수 있듯이 UKF오차특성이 DGPS나 EKF특성보다 현저히 양호함을 나타내고 있다. Table 2는 각 오차의 통계학적 특성을 나타낸다. DGPS의 위치오차는 최대 3.74 m, 평균 2.01 m이었으며, EKF 기반 위치평가는 최대 1.71 m, 평균 0.81 m의 결과를 보였다. 반면에 UKF 기반 위치평가는 위치오차가 최대 0.78 m, 평균 0.37 m로서 DGPS나 EKF에 비해 양호한 오차특성을 보인다. 따라서 UKF 위치평가 방법을 이용함으로써 기존의 EKF 기반 위치평가방법보다 더 우수한 위치평가가 가능하다고 판단된다.
Fig. 4

Comparison of RMS error

KSPE_2019_v36n2_183_f004.jpg
Table 2

Characteristics of RMS error

(unit : m)
Table 2
Method Max. Avg. Std.
DGPS 3.74 2.01 0.76
EKF 1.71 0.81 0.41
UKF 0.78 0.37 0.11
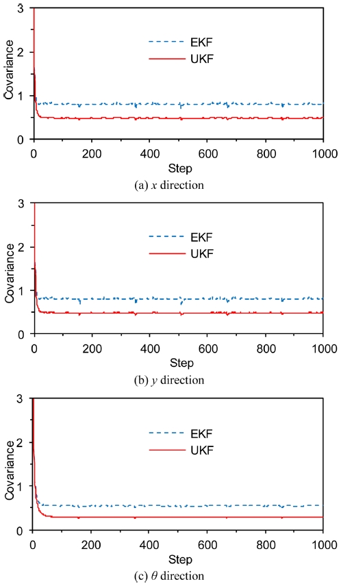
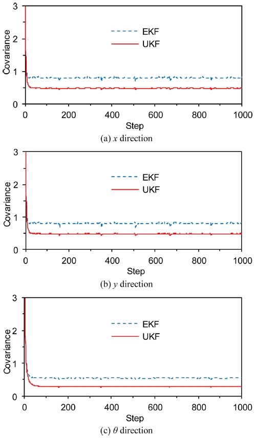
제안된 UKF 방법의 오차 수렴성 및 안정성을 확인하기 위해 관측단계에 따른 각 공분산을 Fig. 5에 나타냈다. 그림에서 점선은 EKF 기반 위치평가의 오차 공분산을 나타내고, 실선은 UKF 기반 위치평가의 오차 공분산을 나타낸다. 실험에서 초기 오차 공분산은 Table 1에 나타낸 바와 같은 DGPS와 디지털 컴퍼스의 특성을 기준으로 설정하였다. 실험 결과 EKF 기반 위치평가는 xy 방향 오차 공분산은 0.8, 각도에 대한 오차 공분산은 0.5에 수렴했으며, UKF 기반 위치평가는 xy 방향 오차 공분산은 0.5, 각도에 대한 오차 공분산은 0.3으로 수렴하였다. 오차 공분산은 불확실성 범위를 나타낸다고 볼 수 있으므로 UKF 기반 위치평가가 EKF 기반 위치평가보다 더 신뢰성이 있다고 볼 수 있다.
Fig. 5

Error covariance

KSPE_2019_v36n2_183_f005.jpg
제안된 방법의 초기오차 크기에 대한 수렴성 및 안정성을 알아보기 위해 x 방향과 y 방향, 그리고 θ 방향의 초기 오차 크기를 각각 다르게 설정하여 위치평가를 수행하였으며 Fig. 6은 그 결과를 나타낸다. 그림에서 위치 및 각도 오차 크기는 오차의 표준편차를 의미하고, 총 1000 개 이상의 위치평가 단계 중 30 단계까지만을 나타냈으며, 그 이후로는 일정한 값으로 수렴하였다. 실험 결과 각 오차 공분산은 초기오차의 크기에 상관없이 10 단계 이내에 빠르게 수렴함을 확인하였다.
Fig. 6

Error covariance according to the size of initial error

KSPE_2019_v36n2_183_f006.jpg
Fig. 7은 UKF와 EKF 위치평가 방법의 초기오차에 따른 수렴성을 비교한 결과로서 오차 공분산의 x 방향 성분만을 나타냈으며 y 방향과 θ 방향도 비슷한 결과를 보였다. 그림에서 알 수 있듯이 EKF 기반 위치평가와 UKF 기 반 위치평가는 수렴 속도에 있어서는 별다른 차이를 보이지 않았다. 그러나 초기오차 크기에 상관없이 EKF 기반 위치평가는 0.8에, 그리고 UKF 기반 위치평가는 0.5에수렴하였다. 이것은 UKF 방법과 EKF 방법이 수렴속도에 측면에서는 별 차이가 없지만 정밀도 측면에서는 UKF 방법이 EKF 방법보다 우수함을 나타낸다.
Fig. 7

Comparison of convergence speed for error covariance

KSPE_2019_v36n2_183_f007.jpg
다음으로 제안된 방법의 관측주기에 따른 성능 및 안정성을 확인하기 위하여 관측주기를 1 초, 2 초, 3 초로 설정하여 UKF 및 EKF 위치평가를 수행하였으며, 기준경로에 대한 위치오차 특성을 Table 3에 나타냈다. 실험 결과 EKF 기반 위치평가는 관측주기가 길어질 수록 위치오차가 조금씩 커지는 반면, UKF 기반 위치평가는 관측주기가 커짐에도 별다른 변화가 없는 것을 확인하였다. 따라서 제안된 방법은 관측주기의 크기에 대해서도 안정성을 보인다고 판단된다.
Table 3

RMS error according to sampling time

(unit : m)
Table 3
Max. Avg. Std.
EKF 1 sec 1.64 0.76 0.41
2 sec 1.65 0.79 0.41
3 sec 1.74 0.81 0.42
UKF 1 sec 0.72 0.37 0.11
2 sec 0.71 0.37 0.11
3 sec 0.71 0.38 0.11
본 논문에서는 UKF 기반 위치평가 방법을 옥외용 로봇의 자율주행을 위한 위치평가에 실용적으로 적용하는 방법을 제시하고 그 성능을 실험을 통하여 정량적으로 분석 및 평가하였다. 실험 결과 UKF 기반 위치평가 방법은 EKF 기반 위치평가 방법보다 위치평가 성능이 우수함을 보였다. 또한 제안된 방법은 관측주기가 길어지거나 초기오차가 커짐에도 안정적인 성능을 보여주었으며, 오차 수렴속도는 EKF 방법에 비해 별다른 차이를 보이지 않았다. 따라서 제안된 방법을 이용함으로써 저가 센서를 이용한 실용적인 옥외 위치평가가 가능할 것으로 사료된다.
이 논문은 2017년도 정부(교육부)의 재원으로 한국연구재단의 지원을 받아 수행된 기초연구 사업임(No. 2017R1D1A1B03034373).
  • 1.
    Lim, J. H. and Leonard, J. J., “Mobile Robot Relocation from Echolocation Constraints,” IEEE Transactions on Pattern Analysis and Machine Intelligence, Vol. 22, No. 9, pp. 1035-1041, 2000.
    10.1109/34.877524
  • 2.
    Lim, J.-H., “A Study on a Localization System for Tour Guide Robot,” Journal of the Korean Society for Precision Engineering, Vol. 29, No. 7, pp. 762-769, 2012.
    10.7736/KSPE.2012.29.7.762
  • 3.
    Buhmann, J., Burgard, W., Cremers, A. B., Fox, D., Hofmann, T., et al., “The Mobile Robot Rhino,” Ai Magazine, Vol. 16, No. 2, pp. 31-38, 1995.
  • 4.
    Thrun, S., Beetz, M., Bennewitz, M., Burgard, W., Cremers, A. B., et al., “Probabilistic Algorithms and the Interactive Museum Tour-Guide Robot Minerva,” The International Journal of Robotics Research, Vol. 19, No. 11, pp. 972-999, 2000.
    10.1177/02783640022067922
  • 5.
    Maxwell, B. A., Meeden, L. A., Addo, N., Brown, L., Dickson, P., et al., “Alfred: The Robot Waiter Who Remembers You,” Proc. of the AAAI Workshop on Robotics, pp. 1-12, 1999.
  • 6.
    Simmons, R., Goldberg, D., Goode, A., Montemerlo, M., Roy, N., et al., “Grace: An Autonomous Robot for the AAAI Robot Challenge,” Ai Magazine, Vol. 24, pp. 51-72, 2003.
    10.21236/ADA434943
  • 7.
    Ji, Y.-H., Bae, J.-H., Song, J.-B., Ryu, J.-K., and Baek, J.-H., “Outdoor Localization Through GPS Data and Matching of Lane Markers for a Mobile Robot,” Journal of Institute of Control, Robotics and Systems, Vol. 18, No. 6, pp. 594-600, 2012.
    10.5302/J.ICROS.2012.18.6.594
  • 8.
    Choi, S.-H., Kim, Y.-K., Hwang, Y.-S., Kim, H.-W., and Lee, J.-M., “EKF Based Outdoor Positioning System Using Multiple GPS Receivers,” Journal of Korea Robotics Society, Vol. 8, No. 2, pp. 129-135, 2013.
    10.7746/jkros.2013.8.2.129
  • 9.
    Kim, J.-Y., Lee, J.-H., Byun, J.-M., and Kim, S.-H., “Localization Performance Improvement for Mobile Robot Using Multiple Sensors in Slope Road,” Journal of the Institute of Electronics Engineers of Korea System and Control, Vol. 47, No. 1, pp. 67-75, 2010.
  • 10.
    Kang, B. Y., Han, J. h., and Kwon, J. H., “Analysis of Factors Affecting Performance of Integrated INS/SPR,” Journal of the Korean Society of Surveying, Geodesy, Photogrammetry and Cartography, Vol. 32, No. 6, pp. 599-606, 2014.
    10.7848/ksgpc.2014.32.6.599
  • 11.
    Lim, J. and Kang, S., “Non-Inertial Sensor-Based Outdoor Localization for Practical Application of Guide Robots,” Journal of the Korean Society for Precision Engineering, Vol. 34, No. 5, pp. 315-321, 2017.
    10.7736/KSPE.2017.34.5.315
  • 12.
    Baek, J.-H., Park, S.-Y., Park, E.-S., Choi, K.-H., Lim, H.-C., et al., “Real-Time Trajectory Estimation of Space Launch Vehicle Using Extended Kalman Filter and Unscented Kalman Filter,” Journal of Astronomy and Space Sciences, Vol. 22, No. 4, pp. 501-512, 2005.
    10.5140/JASS.2005.22.4.501
  • 13.
    Jeong, J. Y. and Kim, H. S., “A Study on the GPS/INS Integration and GPS Compensation Algorithm Based on the Particle Filter,” Journal of the Institute of Electronics and Information Engineers, Vol. 50, No. 6, pp. 267-275, 2013.
    10.5573/ieek.2013.50.6.267
  • 14.
    Choi, S.-H., Kim, G.-J., Kim, Y.-K., and Lee, J.-M., “Outdoor Positioning Estimation of Multi-GPS/INS Integrated System by EKF/UPF Filter Conversion,” Journal of Institute of Control, Robotics and Systems, Vol. 20, No. 12, pp. 1284-1289, 2014.
    10.5302/J.ICROS.2014.13.0014
  • 15.
    Kümmerle, R., Triebel, R., Pfaff, P., and Burgard, W., “Monte Carlo Localization in Outdoor Terrains Using Multilevel Surface Maps,” Journal of Field Robotics, Vol. 25, Nos. 6?7, pp. 346-359, 2008.
    10.1002/rob.20245
  • 16.
    Bae, J.-H., Song, J.-B., and Choi, J.-H., “Outdoor Localization of a Mobile Robot Using Weighted GPS Data and Map Information,” Journal of Korea Robotics Society, Vol. 6, No. 3, pp. 292-300, 2011.
    10.7746/jkros.2011.6.3.292
  • 17.
    Julier, S. J. and Uhlmann, J. K., “Unscented Filtering and Nonlinear Estimation,” Proc. of the IEEE, Vol. 92, No. 3, pp. 401-422, 2004.
    10.1109/JPROC.2003.823141
  • 18.
    Julier, S. J. and Uhlmann, J. K., “New Extension of the Kalman Filter to Nonlinear Systems,” Proc. of the Signal Processing, Sensor Fusion, and Target Recognition VI, pp. 182-194, 1997.
    10.1117/12.280797
  • 19.
    Baek, J. H., “Real Time Trajectory Estimations of Space Launch Vehicle Using the Extended Kalman Filter and the Unscented Kalman Filter,” M.Sc. thesis, Department of Astronomy and Space Science, Yonsei University, 2004.
  • 20.
    Julier, S. J., “The Scaled Unscented Transformation,” Proc. of the American Control Conference, pp. 4555-4559, 2002.
    10.1109/ACC.2002.1025369
Woo Seok Lee
KSPE_2019_v36n2_183_bf001.jpg
M.Sc. candidate in the Department of Mechatronics Engineering, Jeju National University. His research interest is Intelligent Robot.
Jong Hwan Lim
KSPE_2019_v36n2_183_bf002.jpg
Professor in the Department of Mechatronics Engineering, Jeju National University. His research interest is Intelligent Robot.

Download Citation

Download a citation file in RIS format that can be imported by all major citation management software, including EndNote, ProCite, RefWorks, and Reference Manager.

Format:

Include:

Unscented Kalman Filter based Outdoor Localization of a Mobile Robot
J. Korean Soc. Precis. Eng.. 2019;36(2):183-190.   Published online February 1, 2019
Download Citation

Download a citation file in RIS format that can be imported by all major citation management software, including EndNote, ProCite, RefWorks, and Reference Manager.

Format:
Include:
Unscented Kalman Filter based Outdoor Localization of a Mobile Robot
J. Korean Soc. Precis. Eng.. 2019;36(2):183-190.   Published online February 1, 2019
Close

Figure

  • 0
  • 1
  • 2
  • 3
  • 4
  • 5
  • 6
Unscented Kalman Filter based Outdoor Localization of a Mobile Robot
Image Image Image Image Image Image Image
Fig. 1 System model
Fig. 2 Experimental environment
Fig. 3 Experimental results
Fig. 4 Comparison of RMS error
Fig. 5 Error covariance
Fig. 6 Error covariance according to the size of initial error
Fig. 7 Comparison of convergence speed for error covariance
Unscented Kalman Filter based Outdoor Localization of a Mobile Robot

Specifications of DGPS and digital compass

DGPS Digital Compass
Accuracy 2.5 m ±3o
Sampling Rate 1 Hz 100 Hz

Characteristics of RMS error

(unit : m)

Method Max. Avg. Std.
DGPS 3.74 2.01 0.76
EKF 1.71 0.81 0.41
UKF 0.78 0.37 0.11

RMS error according to sampling time

(unit : m)

Max. Avg. Std.
EKF 1 sec 1.64 0.76 0.41
2 sec 1.65 0.79 0.41
3 sec 1.74 0.81 0.42
UKF 1 sec 0.72 0.37 0.11
2 sec 0.71 0.37 0.11
3 sec 0.71 0.38 0.11
Table 1 Specifications of DGPS and digital compass
Table 2 Characteristics of RMS error (unit : m)
Table 3 RMS error according to sampling time (unit : m)