Skip to main navigation Skip to main content
  • E-Submission

JKSPE : Journal of the Korean Society for Precision Engineering

OPEN ACCESS
ABOUT
BROWSE ARTICLES
EDITORIAL POLICIES
FOR CONTRIBUTORS
REGULAR

TV 구동 메커니즘 적용을 위한 웜 기어의 수명 예측 해석 방법론 연구

Study on the Life Prediction Analysis Methodology of Worm Gear for the TV Driving Mechanism

Journal of the Korean Society for Precision Engineering 2025;42(8):595-602.
Published online: August 1, 2025

1 LG전자 MS사업본부 TV CAE팀

1 TV CAE Team, Division of Media Entertainment Solution, LG Electronics Inc. JFIFddDuckydqhttp://ns.adobe.com/xap/1.0/ Adobed     ! 1AQa"q 2#w8B36v7XRr$9bCt%u&Ws'(xy4T5fH  !1AQaq"2B Rbr#u67Ѳ3sTt5v8Sc$4ĂCÔ%UӅFV ?_Aנj- H>>,m*>fzp"TrKkr^r.|_&]|*vPuܶvoQ1mwVJUhu-I"=LniAƕ8"۲ k*ҿ[yu:.vUQ+)%F DHyVBk>Hy8jݹ q~9D4KRmzQ)^ʔ.J%k_tVi5NTjg!'ky|5asOȻ)R۸ߩFMԿ3L4j6dڜ#NIwUF]JqB/(FafJRzq3\G՛ ?~\ 6)6W4m[O^L0E&rRMض*C .]Unl-1 1r#Rj/&QɈ׉˩s6Rj=5Tg.y.·Pӡ:JJS:C8-2u]d&vUz;7p9 5VnL֢"y)">iי(IDDd| Yj0; LRfS:ktYK%*N2^m|&dğth":ey)uPQZW)gcC3Pv&MMWd&Ŵ۲mvTRoժM03*F3Yd6\8,\hݻ kߔi<k NTwSԪmljj[>->ptU%'LR>&EBH$MQAUx[$Z6vi&_a.KIQ{hyƒ j"JOC9eFҝfj;˚Ω<[3_m% lQ@4g=5$(J]Yc-OMq<Ǎ wSzڗ)k$7VIP붾ͯnV+卵*t]iЎD31~SA1éC2u)ʼnQn-Uoi3:grI8ؓWm*G zܕ)ZקJ}Y YlGeJ6cB2I NS3Q>k=KTBT]W6+SOXQgGR? telˊ%-Re\hѯ2TF"C/OJΩ6r[N.0{SpljjX1“jOsӥ;ҭhe}xu`Ք&.)yO̒ Fߑ.$Qw;9Iw2o+RVJMSOj[SoҌZ%;`d$blQ{Ro{Imڌ>3egf\O֝Uzx"䢸g+mv%Gʆ:|V[N'&ס-ޝ'kfE|K,G&˳98Juin/\\Qݿ̋v~Ǩ!rtWU d|E߫R4d}.qPw*Ӭv5YEcn~f5c%MTMkb-F>5JT,})QHg%{("ӔȸWMsYyWNRrkkJr0XドnͫT}r-jj,Ŕʍ\Q2Ri>v$5!]"JB2WɅ)]VԜUc8i|.jeRO6^V.¸ Q&#|ܶ-*uOG%JAtRZRr]FFG\۩w+?'zչSѧt jz>KW&ot{7P&2D;&\\>Q2JzܗAKSfeNn[jRrԕf6,q,F1tRfԗ>vֶևj-&R'Zi2=xv~Elbsvm8=ӛ"ū񕜈BȩlWau[]ٷBߨF~J!|Ipr3R̴#Yp)={7:G{+:\W}n|Q#%)7^-h"Ƒq:M*%J&$T軨I333׎g_- ucBwwjp[6i25$̏bU’ٱRv?G\~#Iͪb7<<}Ezt" q_Inw,7-d,G÷%T* Wg1"䥱kq/A.,_KhqŒxwvo u2ۥۧ.bQ}XκA$֣ +K״ZUNmڸII{.v{5z5ѮRme[moyƾd~cRݾK'j.\i&/S6f|b=5: p!6i_ 4j6=.si˧eƾtS^c.Y^RJVS-Vi3,esi08?H$GvZgg?gi䤟2adw릿:"۪lkSN>q-4kI܋ێe̊qۅgDoѨ9; #T.Q;7#~_Ufstb_'w~Xw1Xk,vcOt._}v}8"(4Z\ۘgk?J?bm_c!g{HZV]Fkk%~gEt)b秴vΰB|꽸}mp~E6ݹv;7P٤v+ri*3Ԣ|'O14_~7nP{7ZU\Vű[ +7󖱅o#:ǥŬ\|3r%TJX]V7ez¨Y]lc|O3V! R zbJ'PnGqVJ"19WVeOF埜EaEJωqCN5Z g-9[S<$sUK5b|7sn\7x qmv##FF\ w[=-43$^ooVSiXօv7iB۴yg>]Vf"r$J3""32!Zh[K%7GvNLs+4nB/B{vlsobJaҺJR:0g%&zR\ S3T[&ִor*ⷳc3ʊO[iozW٨%$gn:ܶWwFBԹjHP&z u&F2\f;ipW73 [; '_̽b;vib!oec dC-tS__$Xs]l9&z$2/N>%'[}b{h/{`{Ji׉׏ YJB/X%}.|+{(S:qz]4_Kѵo`^tY_4S#* ^zvݾMr+TrkQ g.8Ͽ^i>ӈǙvix>$o( ^qt*&t1oJVu-ql5U6jCЉmĻ*"?JT=K'O/|=Vo}l0b}}f?X[?/\JSBe,kP8ETJ==?.p5ފgbU9}ǶdNKk—_$8̸͓ۍ8Di\BԿ-1v{FF]|.^ۅ{vl12׏z7-R7wE?\nh\jN/Kձr_oBw"N QMBZqe-m:ӨSn6j4%!hQ;sv'm4kcM=!8\m[M4{SMliۇ%eֽR&N:{2A8)THLK3Zj[jPBx#BگMf:G1\`edcʮ?|w(-̮vXt,bW2;.ιNHRR#YwTM"<;mk\.foIDjmlJ;vxy7o7i\,KQŊ9d^Mmgc L*.T6tLeIuOH3SJQ3=F/ʿ<9\JM6mN6=<{xkP!F1QR[I$6ُimXu2An2yԒMU q f[IB-'䤯jYm52&JG\zд\~vdg QtHGXw&1Lw+nDEdC1w|YJmvP)HZ>i0BPβә?R:QO["]I_Jʏۍ>QKyu^bycBq4lXF~l [\*N>-J6,Gq(Zr5h]CwYӤU~ʶߑ u*SIv%ZfJ7)! FS*s_\|IŸZ)J ]ܜi4"z[+Z,MOZ))}|Ʀ(RUNIII.S'ˍO~˨rn}M)xxӕ0 eyҵ7YMAB]ӣU:/ѭ*6bcwP͵ "+qēVjŹO|GtY4V j[mLV M -m>",B$ GD1~j6O4|LxnNmqATNR3ε|DŽa[fmn-ڭ+FiK7Pcm;r5 l8r{#-]'nrFh2ruycb;pW=njRqRJ(d mnpckNnʹ+6]tz~E=ʕ l ZZ5jSi3#47.Lcfe`9؏v囜.F\-UZ:*0_<Νu9Lӵm&)_3\^ҹ3"1n1v_|uRʞͫr'iȧN_kH׺8xXrj=\МH)V\ˬ.Xʸ oVRC}ySU9/OBY먌5 ٿwޞ)rw8Ӫi5*5ZΗcGƱ !ZۄlmpjJ -l <R̵/JAպZuq\IdUS 48wXJJtcg4cI~aqߓwŷrm-v)G7yS^7H^-\mŌAq|"m9IBnF㏉9[N+mmy/!KKۉ%n +BdddfFF6FQRN-U5;Sv'm4kcM=Mn)\qιqUd9F%",6MGdT%-+~ f%+y֛^3SrF>6lc(֪vۊN;g._0Sѧ]ETWرkQKzGe9ʨsKA"yC y2\[5 rԭ7Gk5Mzw_4sM3hxЊ'oÍ5jsub )ͪ~tR2H]R͍>̋m6=%(˿(Wrr-܅y5(ܔJ޺YunW̹븹NsqK ]/QR#"ZMDfD|43Qw|._ԡSqTZBg??O Ϥ)/E_U|i}2 9Z?¹0:x'3,whǣ?C y-A~=daJј&M?D1_PS+Oi&;a @;Dž7[ zZC"bv:jjMQk$M RԸ3uA\=wI.AwC"^.{?-\NSiˏ"b}T/}q/ o.1M}R%:-ZniʒL$SgrBW*,Mw'N\ɇ{s\j]VryG'8f`}'N<*/`U숻z CwHq18J+vԕKss4R53/&XTt1bZƟo\=%nO)h$rBi-nKĪ^ ջڜlwkYm[̑+/QrZo%TQ;TLs($2C:s.%+eoNttq۰kK7O0m_t_pZ1SsSM7"mevFZ[w -FJ*T*jФQRg BSu|]g:ɵzjqwmltL.e3sRMچkSmjkmWœިm++¦'tILk*բQ D,PB\lI[9{%Gb R6öۍmX-MaʉA931cs..G4CujQտ[9 }G-xwl)IQz j Ó"rqe&=]꾧֎c)<kӳ+0JrRR3'TnXi^xMF Bު*tIL.[h"2"nKzZe'ZV/RrNYz]8죝n]Ķܩ>^Ժ]u-7^\mZjܣ9+Rmn ߑv?oꋘ?&ƪy^N4o=3-ؔ̿*`}V݁ ƒPu8%$ ݗ]wt;\y\>='OjPIp/nJU8{϶FNMsf"ίNqƹ(+ ݮF2Km |jܴZs%zf*eȫ?]4)I۵nR&FX + [jDh(#哑9q9Eծj8noǕZf\J-l&Z˫}`ӎhyrΉn\űn]9pʌӣ"׮Wt?N4_I_~54#/my1Xr*척aS#DT >q ssΛW;3oUaJSRMDgQnt:Ql,/ ܷfRqiM Ȼ>Cob;A>ڦWقM9X~/!'MW.}Vrߔꔵ!5|iB(0-zF=}okڢE$^wW~nokY߮\6՜̌{i-AF*9)\t9IV6۸5ZUF6R$ŨQIq砳YUZ]eyv >hI櫥N )&l JulwE1GDOuFN2| }馥uC1rޫV+^gdb&W[4<^e4YW,d|htͮsUM)۸8:{3d{AѢ)~ \#J=NdƮꮓ90 |1K$v*?мS ]i$J,C,SG?/_՜pMSƯM|mG1V1$~K>CSvkuj=&) -,yLjuFHK{c駗.SOua;BrSqj-ۍZ#'Jys7[g2z/.u4+XV2VQ.ޕ)$"(%)#Z7suZ%j }BǬݕe)Jvz8zJf:hIN|svO1O#IEcۍjݽ:SdὮvu^@:o^5cs>i/VqmVm]ؔܢn6'vޑ̗J4Wn@OlKbX ;n:hgJ9ŻyǑz8f܌q&Y fN0N;[69 rbׅC2/#kE l&2~èMR.*%g=Ft.%؝e8<.e=Uv{~㻏"EˑnvDѭ͜Lu3u0:U֝$[M5<:oi+V4V9 6nXvx&_ q Qqw3W:uϔ2yb/(ɳ|5zQiJ#r|Hw#.W?4aDŲ\ugWG;Cw鐢K|xg)##=O.dF˟jMUvWĻsr.z]kPc9"]R)mkfOd*uYf١RsB Aîh=k]ʳUrrZsq`d#r$/Ը3o^&lRWȍyuW̦Y4QDUMJ65ƒ[+ygk XK_±k#y:8(TJOSQhJt2.DR}"5[) r)6V6u5k:eXZmv𭤔!푊Q[qQ}ҹLE- 8qIZG|UM4j}Mܕ[Vwm{} Naqµ"ԈM zOpKѰ?IAD3Ir0'/q1itoB5{%wkOBn-ۜduqIzYK60{+DʕܞqIt";r1mG/\/ym[6JƫR \L=S=OT@Ix[TMm{>ݾտ֒ݸӉLYIx>+"JVNzx||5rI?C{oz8۹e\R-^\A2F R+N9 vlT]"ۭ d)t֞i #E2jB@׵=#/N+!ĕhx}I!cM`ąZ*ŻɄҒ߮Y.Z}='/oۙ3IpW̮hT7cTSuz9>B}΄&h!>lӵn~j˅IvU.'v'CSZw8QK3G> ,J59ٷ+HSg䧎hJdzvwv-cvxS5[̊n~ؿ%ַX?O0\6ne 6kn9.ϯ} *h 8_QhLݣ7q +=XBҲ5?[[)+F`=4 }B,sNg==u*Nj9k_GJ)+R~GSPBȒZ:(K]heL=vKPӢwq(NrG^ثϣ?#tC?.ͼ[ۅo؞y#%ǛjVyLSw%T*s92JTM%"YkQО.q)gCͲn8cgi6j1MѾ[{9h^vƘǚםidfi.^RHmg&rׇz:}݃}xT$ضk'5s-狶,\vpbPD،=Okf.c#cdz2FK5T!&)|ntD<+OŹU i-G[EE*FDfeaf2QƤM\UG_{ǹm%\yrGy:.\4wjPGUJޕUV7Do\7Vy_13w;[?c]H\$IJ,*L]3b%L{y.JRKG2sq,B6T}(#nW|km+q5] r㪍bJ@y{byz,b踊3ϻJ,'^xd،)JVw#.Vټc''ÝպWtbRؒJz۠8!o9IۄS95E9ؔ-e9JR{dmnッ<[~n${~Њ$W?&ՐY_? #a.ߑv?oꋘ?&ơ|y^N4o=3t=~7!/M3>n8W홎2M`Qx+ z qy8%]7_~540ۦ彷]Wq CѡwkďyF5Dum_}~P(5.(X,K9vᯐ?leB9;Jhm#3{CxGE-S{;@Fz˙]=O'!ɿ]' r`:7'2bЖ>Iy,/eTy/V<.H?UYY{\^#ѣr9^7?xoRȆ7EoS_&??zϾM?(~Q-K&>"~aߨ t7Emsϛ+?;fCr)fY+>z$tIkjn_>vnrֳki-˹l= t;'EyC¥|/BLwBJdgjۛ$s S1|ɍV%JI6KvəhzIlBYɒ|0"Sy0F>eo5W)O+X˻u';v)2vVq۳kۮws?UʑBǴYO漪e2MIjPAک\b1)DDؚKm6ZWΨgȕ۶yjڳ 2ضN[C[|r@9Jfo<_eI7q.|cÊV߷:i.:$ȋ)1%%)ADZCEBxJ0MJۥy(bNsKM9k43IwNt.\%N簤I'.j|ƃ2$grBEٌ\}9:v*!n7M(ɽ]7c@XxƱԨ37īf62cTTfFK]9wntQHͮvٱI/f|j=7}\_V5U^+:uljSȃY(XI.ȱmo1甅jڎIZ2>#\*:gY|4k\8ZwSqtyA!+];бޞKծË¥e)#5ap.QK^8VdU{*ѽL\=qmjnB5>{ Ӟ`v±5 ^k&O~Oshɷ,;6nOW>u6{RqS`)S%jp\ipdEBLfTWy$GIYw~䲭J.1vSY5z.V>^+Ǎvc.I[R{QsNR3ӎfhd>y?UJ*}~[e\i5U^͛E]G_FS(Iɿ]i8:4zj~շsW,ˆsy:%O}iur]iF5~3M:Ӟ#N06)4ߧgdawIotiz:1r5YDZLHBSi;NQc44la=Y kQIT*ըl:tq2(է9VO4뒳܂~2rq'nrVZŦ[t7\oլfb/mlpc.I8콚q^1iE~䰳mi[dۧw֤ICfdFeCsg:i| 6擣׋* 96lust^{%99UNRvaMܽo ammi$em4D6DD\nA%$$#}۷/ݕr99JMն[oT޲E"KTaP+HGkŴj5TM5xƱOS-k`ۛkٝWz;{kS}F;~q|~^_|euwnE'pSupUP)V]vE+t =ZRaVdG6= *.ϼnj9:UɷbېmF_tޫgHjVS'śǕًdkkѻ_]Kv?nT>)^e=Ar1'3ԔILyD?:-^in):{7.؂\.:V }#뺾.3r̸*xbFM aȵz 6SQ:ײj[ 8nn iFMw rR"5M5I旘35f^j='j:nNW.ʭocZvZKV^ɚJ.cM1ZI7E'6rg탸5oZ=[m Z`\hbMUR١Ȗĉ):Jin!_7Dй+f̷eKҷvͨBPR(V`y6tw*MRΝcB.ڭTnc;P$8nFvm4(D(R#R-L -2:FP lxZKQc6I("Km%$E, 78uXIFA$RQI$JbInG]c[ֹ:ZM+n^')JmJMJRu{e)7jQDw~%yQl}BZujSSf۩QZ+Dzhd5o%BIc'GZ?}΍:>Ɵivז-%݌J5MqGWTVʦh݇ܟ~Օ_6 n'{3~mϬj'J11OȻn߃r Qr\3y٘+WӍ'WxEs^O3 o~[|7>]]H9݇ZomT@]?5B:Z߂'`V_+/MSKX߆ޠk3?o7y:4R/7þ] iG߬aBRU&?r&/} cQߥGj2?C5Yśe7hU=?+ x龳f-܈czW^7p%-(\D4h{UK&ӡn^m]Fݢ:`δvj俜F+) y[{{ 7 tu>gvrěOj'5 iRg[ͶFjGe n~qT$ci ۚ0oԹc*jL[sVWqj\ݻ&6"WoK:cnWmrv)o>66(F>=W^bf#c zzʞtپy%mՉPël e}J.\Zk4ttt>oEM=q)hJjI=ͥ(%]脼_88ф;͛gWG;Cw~˘$4=uWdĜTثNDkiQL9U*O"4XP`02,Ge-k5$h>ܼ]3vr6!9RQPIVSnM(ۓ{>;/Qͱv{3&-[rc)ܚI$n{Sv3[j00)-D3z}MRzVQпj,T[uVs0\}Sid;r(ݝJ>æʺL&c[jPK0~d(FKÝW\m]GTcF|Iׁ)I3~#oX%vҦEݑؼ5Żv2qAZTE^..M{ʐfȏ2##.R}*KʛZz^ӞN*lPťLf\G6[WVQquV]XAi)5J!,$iJ6o$tPZc;Kjx_n3`qIelV~vLy{fn匋Ѿn%;zV.n'-ұdd2߽1bZksPe3TI9)$ԩIN9Vơ\=2885N\ p)/a柛w9g_lױo8ݷ iixJV& ғRi{N^_oAŮE6Y7I$Nk$|Q)-*4Z)^¸%4Qm [I%.c-OV+C֧R#%ѨCe3i;w$G+_dy| Fzj$DI(=OA gj%v/]8qԯNIS*֩',Q%\44ZZ%D|Ǧʴ6&vֵI$%8(ԬƾS&#Z. }6z?b/|Jl{ץv&mpx4Z$”ڝ4-H%dGKfM:sKSRWeJAn]>s6应-W9'H]'uȫYvgK^\czp|My\鏩w/ËQ.)]\QiS`8uL뚛̸=J"ܻi\å'-)54Ue]:K\퓡vK xwBqrH\*֕TnzC.mT=t-H]SČ~Nu╏NÅ3f|͡G~B+Xm[Q7U{9"~jgK Zoʰ7"qJ,ekSeNGgϳ] ^.6:s}_,%eRg<5⿨z{ZPun#jRІ.6g T.!]xa c#jN$Zpl̋H WZu8WmMRýsĮ?Mco~sx TU҆Q :KDG4n42.<3/'^?6/ܠڒ^yrrÿr2\D}}B]^E~^T cɛ7϶Y[<֞[7d}2%QPqOLEQR\CIsj1?\}%tJ0e~ *sk"*)&ۓEi#{1J8Hrt|'ܝRr8)=ƔN'RVz:cf]F7bZyZUȘ4x8,#JG̒?.W9XnO]KO]%]ƻ O5Γ/3qÓj؍/r̺rƵ 5\&m6h.xoeX[=<3%< lZ"2h\Z[&jW3ejm?k&[]ųj+{N{66leu_+lj]q* 7g*knأYv= q ەdxЬZ|%GUrQ3jLŒqET]1% qkXYūYc[7Ś]QY\jko\</Lc7+'hMSUc6qXyؙ~6#ѯv.0$BQi5YyIhɍiy=KD!n3Vm[V%W-B%swa97ajۗ m+9~]fKq|Ddaˑ0A]_v޺mM5* F-BYHJ5}q>ʉ.6hyDmpD׬'-_v5;5[8K[viJ.3dR:oYHHh9I7:۽fi+wm^ [)odPѱ52CZUJicSw\&_s0uBȍh32džzQflcd^m|7GѹE!fO5]]H9݇ZomT@]?5B:Z߂'`V_+/MSKX߆ޠk3?o7y:4R/7þ] iG߬aBRU&?r&/} cQߥGj2?C5Yśe7hU=?+ x龳f-܈czW^7p%5|Y:SJE\U-(a_cƣUǽXXKiȞNlmۊڭڄR!**ܤMeȽ$|X5(Ź\rJ~ܮ]>'HB0cp XFr_c?f?7<ukSgov¥iG>>䙗i.+t+bOjIܶ . i^:nm}s}(3>NZ$2Qg([".>i.ƾ)B̋M8+"- >eE6DݥJnJˣt׻ 5.˅nJGwZD~!i۶a,Db3ZQ3O#KO5/֍ozuK'GbRi᝘NV_ҝcvם ZoX}F6z 7e5_e:ۓj=AB+iܔERadMBq*ԯ DwI/Gy*mĥiRKg6skY/#SN4e$-yXM YL?^ĸNNӪ{$r1JJRSLO]Aqm>V/s[~i/j+m>z}eI"Qvp]{ZԼ:{vPAG2=T͡@ڐ#u"E*>C;o$~C#_d/HBq^YRٽzIKbOm\~żjFFGdiQ(*/i*#.FF]©m=BmpQQQSP&Ҫ!T&^>:y)$ˑÐFčI Bӡ-t!bM WҦŶ'UZ=}zvn~oT/\ǒ'nr8 AJIӆz<^uߖ4eFC1i+v!3qNyߕni?4JZlmYFXFۼO0B\m[ tʄU3s"Sr(NJ;SKW72L4̏BVdf^Ҹj\]ȱ۪(ӷm?J-KEmWڽ^4<8qu%9pŹW~877ܾeVгS(յe^C]yX͹! םm4FGȋ\y'Z FX7e)|Gjt߹#gb\ŧq_([R8[qU$Z (ʻezV2V!iQ,i$JE˂٩ a(GK'O{vnBvryRd-RK4=qxZJMl_CuuIz @Rt㮽޳!|68\-l[џ84-2Pu" RJ_^OL>G1~XnBŬw6J0*Uvlږ1N G1q9IUm*'oWu][&UyYZbBZRZNfEJf"+2nF~Eû7n1xv.RUM$6 lAxSQJ&n5ܞwlEói"#>4׿Q.nEq7Oko[1wg8ZQwZYiqtm&~">Bo?w͡ni2峋NCEy Ҕ+%ZJ ʩq*fpˤl,~^Mχk1+:ݕ z&Y`KLӪУDr3[*Z :(SL&ݻ۬Vqsyԭs x|iI߽zZrg.:mp%6ԜvgmpIUt;QbS.Է) ǨKSV,*lڌ|5Jt3#NP.=+OZ~/G سIgbꥹJnl_DUM\iM!֔wVZuԺ,yV.Q>f v:݇WiaŸN5Ҕ[M7SsrvǣrMW= \8ZW-jsnڕ.ZnF2qt ً[ٻޘY۷Zm"Jxr&NAfA-݌to9s359݆mZ+N1-qS$D=17 x׵+%_ ve4ir6Z$FDڗnFtOr'7'{9C˨ꤡaYoace{Refnft RR"4%ʌm:Sj3)OdInTO>X'vxV#jܮw9Fog;5.~Y5\~18YQܹvj4+~t7S ﬕs %^۵ڴDZV69R^Y+rj$ԇoJKR5wB9C>Y:l+EǎS{ʲ{T6Wi* ^^9k/y/Cs\g*qڵgn4T8mERr|Ti+iPe;;.i\EBEJ 丬i9ɧM-ԼsGDrZ>r#R>~X9y4b棇9JwV۔%m(b[Tjvl}۩~nDԺ{Zo-YuK1vx.nWuO+jN [ٮ0%"΢CdTJK-RަH"$I(*ve &҉FzB,_Vpqp9m8werv')E;o&QE׵^d9˦j\_,ڵugZȻ̧8k+jK{wmr@3ӭ2 wFkzFVqs1؛.v'I%$[iT]D5Dl2 nk7qUxԫLS+sا3/ΖeZYK<["%-g/kRs:f3;*E ت wJ%)5&+&rw*霣i|sMҴ|;R+fm䡩.!**dӶ-6s6,]zAXMWjmnz%SJߴm2UXw7MQ%<!tKys#P,W>s;3IYwx<+i_\\\U6 u7P|xbn_k&ӓVOe䦒 VUr,-㘘"-LZeOSҠթrEvq8Kf%5%&K"#%vD/.ZYYŏ+p$nZkvއuW9㓱Z G wYIFyf)?ƎUm5ԉ/'k84{KO:rQI}XRuԪ|*lu)3qZ[mSm5R3".Xcَ5c®ࢫI*۳~wRϿQWޝ(EJrri&ۥ^ʶ齲Im|[yb;mnm֩uiܘq>E+Ikx߄3r33-5𹻖09ϖ9[Tz~mr5NsWl$oPusޛ^{Z;);sڹf\3oٹZmԉ/'k84{NO:rQIBø8Bݱ3n֤DiK4u& ofSȒܩx<˘|N0Fչ]qsp"}! QWw@t4ӭ+cO5%]'*{eM߲DRO1y*q8w++e!c߶ܪlZWّM欼 CQ̼빶lX{vib/V/ ai;x6~]+z]MWB>re-:lgk}պ!#9?%܋V-c[z!W?c7YNm/jRr[HOzԻefճ0q15Zp#rkQQ0tU-AmڵP/cȕ?0cZYj;:0ZM=D6g ?'UN+ձ[K ܖB2'xq9{|۫N0ku 7xaj;n\ 2[VznMlWiKbSk))f..)Km)&bGZ=>OR܍W:j'rM'wYz&/鶧{Sʵb"vջq[I-ՌZH._x*BagC'T(Q:$ͳQcMCKy?3g'ߝqnT);qs #ؤZ}OOI:cfnc8W~qy.;^pVl]Hԓ>^H^@7-AA܃nmL(uWܻS߿ Td95Bdh4t6*dDh!EhI[iŨ\L.&Nc ܮf^;$R)\rip9I|ٺ?#R.ZDZ;/]nݻqs\QE9M&Bd ]N mN*D>tgbK>+ˏ.!23]BȔR1ɝ^j'k2ƮqBQq[$di]icV/e`޵B.FIIJqbi>Ӥ|p; 6${)RU>_e}^dzdfzi %ekRVUS?6'hׂ)5.\+qUgzE2C˷ecŏ^֔ibk shesFWJ#~> Wk~ݨ}ڶ>ơǚ)׽ZƉo~B-ڼrvoE:Ʃ3ۣK7+Y`WirS):{>ڛ}:wԨ(J_";6R%[u&ƫdZ_\'np| RJwNeTW,=rrbnkڄ[M3ܴz)3- R.?:okۼ0TU'w{6&w7j1z3ON'fGoO?)S_bQ_¿R(^ԴԴG.EtMڇ&RUiW uQjU> Kiu1d<ѥIQ'RQ1:O/lŗᏩiʂv&Jc{D5 Tt)1.n[n۶X}RjqnOʽ(~[Ns{ސ⛌uO,kgo֢dRNQȄ .'6W!׌P朼tdZjFGE"]K@'i۪N;sI[{SOzk>`rRR+!σj8&TjlvA̷Q?HyjyLHNտJMjܶT۽lG?SnKN%<‘ nq[N0Sq[Ta(&t(|HGO~gvkݻTR4&Z$#ViOY1r$6YF?e4U/Mvxų:zbU^gQQ+NW_'4jfz^c'#`rvrڡ(IJ/J ݦ6 ]-CW |_{v*_q3^DZ}Ic6Uڌ8p7{crZq5ki`)mU6|-Z5^iEz3P=:Cu7DF'k%}<C-޹ֲ̱#\,(f88%X-N(ck0VLR~} G"-8ӏ/ϰKq?(#nrVTmZ;zióM4 m |UT'C^_1X.gXM{%ʤd 4\ovN":"y-,T)fLQgۢr=/CƹǨJVr[a+!rT|%Y\ٱzsS>jͱ.oOc6f$q% ǒGo;n[];ߎjrk{~\VۓNIGn:iqxo |~t5)Rxעri{Vi&NUOl_ѮMfsޕkЄay.0P{7N((BaIP$ K"U6Gl ݙqJRu+qN$ m#*p<|{:>-Ev=86N*MM긭U*uѾ?/^o7;'u,h4݌xښRM:5.(/ \իU.{F^rmF-Jɷ.>Q"[4xT^OZ~mK}T0ݛ^SAo9u?lX(' qj%=X}"^e4wˠ|rܫ 6I\Ķ;Ӻw!'ڍWg{ i U_9Avhۣƾ+:vs/MK[ɭīe{`Zgb}r[i'GE2J7Nez579wRq+Un ]J.cJ4M:h箽Wxxm^ pc\wcN%'My $$| :$Fqɏ¾^қP9J6Wxvu}ݵP>Z'FFdg"-; [¢cmWkÎT8nG%ݣ7*\խCLRYZͤiD&J#'ehbSyXK|y*ӞpS̍R`[pTr/Eg)K+92{_ n3zwz'oŸۤ+sOj J:`T>Cf*lwd\fYOP"R E֢̔L4ɥ :;.b(B02rJ蠟9>V'9M%)IqnhP<%,r'P/vNSwr#w"ݨaqc(|{kd=^0jTMR2ULNz|.<|^PfY22##!,K~E BEJۜ&jRNsHަޛg\r,v؜.jK3)[EJ2ii{KEiHP^&]Gn8x=K}Wx/KI9-ϵwQ%spܾ[^R}S3$qvq8M[ ozKxcqmJ/ӿ{_}7&ݨ\f6ZSyQz& 7ۉ[8~UNn|nkiTB+4RI8'Nc%tn{!]Ȋo.nEmʱn𵵥J A+wy#+ikǒڂ;՛s85'KmE:Ђu""Iģ5p=БbTY-ͽڔ詻ngL2Q}$de# fs^o{DUUsfwӶ;s1T,ǤtޒQ\෼J=.tKU,7čJ5 N$y3kdSMQU~mO[03 $zAڟsF5^뜞"Կ QHmrR"ӳηer+ҔZ]hE-6Jmt'ޒ=O[sQj)6K}?e4v_KfZheޓ=BV[bY}lݒTTЬ{ȫvO_qpRApVŗ 6ju=*BR)g "O1yhb=tqJ gtm\b3RY+JQ^Ō֍\յ\>+uSi{=x ^w;uӘ#ĸzLn*$anok߷CBӷ}5Yqvdž<( "_OWit5:EZj2 B ρ1̊fi[n!HQF82q1牙nqnEpT(2RMoM4ϳOu ':֧_Xjsg jP^(ڙ{2%E͖j^}ZU[Q$'U) <܂%!s"m R'G5M0<+zM6qYm$ڕ$3ǧH]?o2N<8F1̻r_my[Rf59NjpzBnl7*{.QP 3N&^BLJPjAHCK2Q}$#~YMq8 k(MFMU)8MEqTy+Tʞ-ar5yܕOXw!e;q-Jqܶ䓊Y:LC UE{/t>r"lI9)3KJjϤA 6SEE$d߇3KG*En|P\ԭTn6I-ƍKTj<1H_zwGr19wF N8ݝ+a9ɫM6mhePi%mmD! """"""*1bRKrD"vnrM۫mmĽm]ӡiG~e"˩ lhRTMk^MX["Jݱk7_ޕ*DqĒ&flՒ}`W}~SմZ{ĕ~wm*/{{ѹ_-0ط#P]xlڱ~Tn5wi*lڪ (JxioϏbqKYR|!|KN53 OS222$jzww%i}>N)E+rۥ7c$Ofl/LNث\6H9: FY󡈾I)fB֔JI_ ֣^: 9mY{66㒢7Uj]:.-os[R&gMF3˸#໹kmjq^8W"PΦURjʄWa˧T!͋ lW48JB2ko+ /Nw QwQzQ ے%$ޓ7^YL|r7!v%Trܥ &|M8~ybrn[RV gSn{{*#2#ԽᢏӴHak" ӌcwҜw&RJ07ױ>Ļ =^ BɆ)v32.M1=#6%̠tҤnzqMwԣ~s*%-j|_m*.Yx9Sz=)qE4 3pk+,`=kNRڥ=B=nŔNAx)Q$ԩȧ4z3t#Z2lҮYn$S%y- JzGpu|LBV7ZW#;Wwipܷ%(6jFG5#{$D"uۭ~]֫SrD܃fҎӾ+Tu>-ZTQ& N|$沸ii>eRWݳu'[O̻j8JۻEѩ[]vni= ڒ,[_%kC7I3Nv$4ɎЈeٸoUu:[}Do5|zNq=Tre%ɧ6&~DȍF]ƞG5q m]/w/ \ʲr8=oʔe9U(W"|S]uZd#?Se[W"ֿh][-7Nu:T=)R}.;ml*5Dlf $fF(̏T hiIUU4Szɕ t(%_|2 ~6eM;TƗK[f&]LK^CE2[ȏBOd;Mi|cx,^6;sیGpQ\NuJIFTJ~đArh* B"$H쉩eXPRj?sl"ԥ)su]xpԴY%VESH"ЋJǰ K&5^Ukzׄ8kEgS2h&Se\ Yl]WҶp-ZUvi7QS:4byqOo+[̺腋[6-_Fo.6[7$p&^ _GZԸߍkc.qqoI[9m߸YxOZЦ1uoiSH)P9Uʄjcq= S>֙NeR><;+ڌk%_qT].srNO?s[=vH[]RZHRMtᩗVؾ:/~u)ԍdg%=edVrISb{6vSu=(ܥ)mTv/J}̇8 S3ad:^hBSf؉OɔLhI_1d8,L><_A0y3rXq"'(۱;mFNII.v5_(^q~X>y{3צ I*Vܛv/jW' T'NR'j%ꔩ:mJ3SB}΋!-H-RJBТQoedi9tjENenPpke.%4]#{:>mkEɱdYWl\\\'nRM4&U>?Ќˉk÷!𴪛]]5}UqG~ݏI"O~s6(Ļ)qO~h}uԕd}Q~G,oE!&G&/]_H-O=o{k\̭bkv.Ô܈+;arZx)m?M\3lU$mk-CFXjTv6u' g:Vn_*qk:VC A%'4JV%EY)#BғO4<e׿jQQ]yUr4=wm[K1r׵%Iũ-O}|kC;/VcݩWZ)EHdžTru]8hgĵ-;=>U_ InvTm_jBM+QiF"9*{DI/iuo(=TzϖmPQl_v4z>T*ȴ>YF;ε\t]EH4ꌇ[VrLzef 2T^V>g2~kg5~Nק;{~Z~W}&ŒBӿS2$J?~(Yœ"˲ߩ\O]: J׉ښT{mmIѩn3˧)4LdFZ/zUG>U> n 5& ϴ-KJi2o]uKljvK3$bԔҚV旧iY5.ίfi96v7!v))FJM4{jG~Jt/lUE%pTAFe4qQk\ve۽/u/Im+W')v{\-E|Pms7߮DZRr۞/mu*1ՙaB܆ -xg3#6ۥtRogʌU)׎]ZҞNnŞr}F1Nnޞ;cZ{N}ۿMiuxʉ*3qi'9KHQ$WJxXyرŔe~[v5~/jN9Q4o6rJv FrdxM*iRjMzUinHdн7ᾞS=S'7 } ̽zt7K|_g J=Lq+/Bw_\ۧx\HJUPzQ<hqF[V0x==CsU7q|^ {)Iq38$_A(VgcKu06Ƅ"%i~_ˉk QCܣB8Ku/񋇵u([w}$F|8TՠI.E !;RJ^}MɒD_q2];Ɖ{5}*n7nEInO{Mwv}&q+v [V}Ĝ@%>#dXQ$f;iep.GquixVt x6bj͵mlKقQ[T]zs/&yەnM'W}!Fp_d^Tu N{ɻ'l{խ2.sTu{W^H&;1s)Pӛ6>$mě;Łnj= fLT)>׸+qReɴ[UR\L*P/!$Ӊ3Q 'K=m~6XqW3^W+ųO_[F$rR*u"T%@O +%# ]˽!aܽz{ͷvQh쩎]hGތ5ɇ*DzJDRNLi 4:{~2FmXY-zzĽ^f=]uū{/+&c:Ma{ĝDp2m܍kHș/(--m_vݮK(V{R}.k&yƴ7i^4@3f sK3^Ř˸B=]?gt5KbZB<e;kQLpxuWC}n 5ҴepB##~q= `x]KWF {GfŲ}?G.I9pjWkU]>={7q{kO/^I3==f1ɏ%nnʫ/Zu_yXN<57ۍ'vy/"8넭M2eԷ&Y,в33%IkjMr7xf nmQkX4踼>a-GcIeތw&U=-:qnW)z¥j :WqSZvԒ#j"KrIU)%qrmRoDGQ~SYRsu*V)  ,/x)MFD6O#]z 96[Ui(JRfw'y$GeUީkdMF-ݻ98F2d[o{Rn0n-xsV6Dh|Eb2E:KCOӪv4SJCr"J!!m,hRLD| ZYFm/X~ΧfrN&4Ƒ=Z9Mh.Mܵw/BdrܥniŪ8ɧ|y%œ[M=_tj?F!z5\evM:\ ~F-sg钬OWq“iiȍ<Gi%%n2rqͻllƑ)okw7}\Uk-:&fj솘XerV9yZuʼşdFC=rmo%~ZN78X(N)_7.Εn1MpJ}62jjJdI";R5&iLԸc:jmqiQj$ujp\{;v5B񥍪Xn Ą4qOERjzN(Ga٠䌡)p*v(J7#ZۻZ8O W uONb+^Qipv9GvֽƼϯrYƖKGJQDNPhRJjᡧC"21"9ѓS1;R_O7/WGz)8fE%F2ukmvSov/iZ&/]~KmI[:^~ͤ\kMi稜\ywJt3W7 8Ʒ~ݥeFgѼw"8VVSج\뻆}ݭ/J6Q)d|)zU3>k\L=;ow֯gN3pKѫ|wmkZ$z^2R:E)f>ς нd|#׆?\ǔpV{;\$ƵE%-ͪm0S6[n< kE[}mvE4DDZ^$OZ0*$~XUv҅B@^?]so#%ojw;Y#SxxueBگy v^i-)s)zV jC{7Gt.w3v,ygg8s]aE_,*E tY5k٨h=o"m泏:\6w噓aiL׎n^c\75AGkЯ0Lf46َ`egZ˓p/k;̛]kq!ݸzpԭG"}R9Ve>ˏHUjJ-&7nrnwG*Xv\˱/vN}O)ʼn&CV͍f̵]r\PMB-6Du-#RͰtRN^)mT _}nSȕC*_xBuTkJW[`ɩ`ejvsngP ڻ.-WUtܑqԹQj)t;vN&RNũT+8%IXӃ5fK՛-d9 ]CƑm|nZ-6=Hz,*aEm W3VzRšdY~Xf׀Xx"]s;)5u*ُHB BRGS6bݶؿ 9j[1*jױga7oX CUI%0v#~\-O-Ꙛuɷ쏪&5mY٦M`LJ2qK~HZbr =N'YobI. (^ ׾{_ ?OJ`S`3BN[}5w6:ǵ/iSlt=4F*d&T4y/#. ɵim5Uֲf 眕6Y7 fơ=3dϕq뚩$qTM-%r!$@A? ޾V0c~{[{;򥧅a~ڵ»&ڄv1ek=wb MLkNAԬw-x>~/r=e73VeVN)K%Sښe"+3uXuچrn ֺVzscJ峻m}vb㶓n\YbIUBT%*,0nov=;z꣓S/nSXSpl##k9mXGrZv^Gde!ŷRԠzQyjC]`gToPov{j~KRBMY}i[߶9KL2ԉO0K#m>wB[ٍ+n[[b٦DX ݲpo] [\m5qdT()mo4Oy9Ie b][wղmM~vmi۱~t \}$яimRk(L c Cvk7r9_r1 ;zv|F@KyZ[&jEji/"6$69ml#e]9s\{ScL}Ȣؿ0q/nZ*t,CLoD߉Njǚy=Pgmu6^]l-["çUʖMlʍp-"qmU>۷uFOJ%Ǔkx 'g=睋k[3u,{³WɘݪF]ՍeFX"Oy\,cچ=w/gn Ļ]#2? vqy-gXnR.^}ݺFs{ŝG]}e|#0mjx"ƬWكm?rgU^xVB":Dt>@LRbun~ݭ,w+v⪕;\U(RYa61>#Jm˞Μ9g9XKaG='u8gf}'qy#ɉw J]We.ʲ-<+&q%s?2dњztҼn`cΤmmqMdz O[-ߩӲ&;[tmܝVnr">{x<8U+p:Ig]zjGkt,uzf}dؠoJaکqEq -(:d<պ=eKy[˗^%ZXkX[C2߱\ITTLGzANM￵i]K>UsOGDDD.ZF6* ҃V Zhz{'xp^`wo8r0h ZmJ5"jb[l=yUu7-;7IT%:jFjߖm0tzU'K)څNۧYJ)4IQ}^KWm7kSP>q;ނ#)'n7&׊r?óM{IwR\j2Qn[v pe#/tAF\ϵ225q֒om6z})6҅*oqDsMf CNIN=T S2t,_ѧ}kveMF0J\Rnnݙܹy[rUc-j{yGtkQ%s]5qB.Nw.JN1LvR Ui5J ZESQԙr):MJ+g}χ!2;q([jAud][ljVK3$ײSJI=/|&tl'*n۽f.frܥ jQO8>&Z];.|7T/C}$ڋUmP2Reҭ8hFF\L 3~e v\۫]ݝNmrnB%*]Z«hKc=BTLG :V74$=Ǘy+EX'4tn(I:Ѝ;Df8c,k1%dJ6.j6ź{N~l6&*fœI7 WAlGOu-ҢH,,(ǔe뿋쩨kM܍ZſgRvQ' 9)?n|er˭|I|-fGK.rΛp8XV1%K6mvG+tc+qE&ǸC_Nm:l=_/m5^[dߌڇ.c<%:)tQ$Ow~-aY;UJ>=F)2[nk؆?훐M=l6[4(O.]2#-H^n#->&mp5~Fӛ+|| S,xag%qkEUzUgæBhߕP(7]kFnq?֖CpruZ6*rEڊtS|*tI*E}7R<,nUU֫^I7Q*mSly%rdȓd8hE<9oHhMfNSRj[i7D[Rj݊+kდq{"$$H?p\̅S?㭻;t~R߁)^/>Qj`yt[w ԛ;²~+ߔ_ YW~|o]?x^ᯛ `ʼn;g)T@vWn]>&4lp+$D̢1l|ȨF%-}.9[}w~ ԠLM9hСablfe&QoW!s?wjLK?s7yO>(=C~_nyǜu?v3vyo oI@qV-jeES^[9WoSܝh"l2C1a͔CiJ@3:Pճw=/7ovuk+\V;lDgն<[A+rX~d;m!_s8ݖ׷;;.0llUC+?i#_crʙ1~C.\–q ul8Hܶ2m`ܻM3Tov|Bs rɵ"oLS- DКw=Tv@f'6|YlD͓Y%׵-#Ѯo%:&!3o%\J<02;K87>^vgƓ# ;ݝmz^Y6=PS39U%~ &f# }o!muH;ʲŇ˷yvP+&.7e[3'vR4Yj̗IZ`e˽3o[WU{ m[sUbۋZǾۆl6~9'V*.\S2<Sd*zY[aŶ`]C$n.v^Ʌ dng>ەZ,Mmϑ :n6nϦezWqUJ4! ۇ4R! =>>Fn|Q[{pRO17ƕ~._I''00k=b՛o}Osðc2'o\3}ݭQ^2 . R1yKȣtAݿ-uܾw!`?1Whn|gzUo[ECWwjUIן)^h#1ɭ!/Z np;o;ΗŻkXs."6E`Z1 עӐ9Kl8qd q} 2Stt;#j>;խabONŗ=fwP1j)l6J̶|gV2`y/0E˛6+ԫ1? 6}KW c\KoKͨ2ۅFw–s*TԞLיuDx .kCzWXhy۶gLu|%TnupǺl-S* PRaLnT+c+*xl.v!.U=|; !_L̎뱚U=4hm:ٯ"y)$:>%(n}X'p[ȴ ^˒4kƓmzDx \ 'NqamP7nyN݅=j7%McSڵj%STy qXymvCg{w/w=wSW5r̹u erծˊsOm=DhEҚRb#n)QOxtվQwe]I}wCa'"[ۂ-z}2UuKP$㜉ԧ:mc<Ý>RoL?wu|%ҷ&K y_!y9 ??:tq3(UU-lkS'ɸ@jdzQˬR] EVPW1DJq2n:,c|ǻ̑;y{X,ۂ.u.b˕u.tKBjQ"[S園S`ٮdNبeJ&9Ơ ~0a(Vm٘L+Jr*vڑE( x0+tp˕ n';wm-ޜMOxX>{#2%jgb2M[`K*\5@8l'e=0u+w ֘鳾{y܀:R*Ya]"Ӧ%ktynlۣ65,3gU}{GYrb;ge'TKwǘ.,rpܚV]Tr,!dp /ԺU,xՉ>s׽~W5oTh yx?xrrx?)?ilbT׬,z$Ԏ.UH٠\U1pU:]JwSrGZq8àd驐,N67QYBӢD㏙W!Q25ϸo9ms-7-%3CihO.J鯽-;MZM8ku-7k9S$8]q2E(}bۏI[DKOK}3KUB^u %Y,u.-&f#]'܆o$x`Yu,dzwM;#oKxn;\[d7}Rb+*Y䛂ZuBӱl{j0O̓}LhK;[aֶaGL{Cb#S.T[>߃F]NK"u^LUʐ_ykW?!GRj29͖qa'0[npcDvV)qz9R)PۨM^aJx W] r>];eN3vxdmĘ(5W2K1䪖weF{mE/QP6\u54x5[hۮ-Nk”i[lUgL]J}5 S:EhiUrgHl!ŒJ$pe=q^b͵Q' ?6|R\,JA ڵ"TDꈭ:ymg`B5t%M] <N_zv2_Ortٵ/i/ReӮ*7[qүqEG* m"[I:6e^p"I$jԴęh!m)]GZkcjS!{e^z}+Cѥ9;R|/ֱeiUԏCNu2Zhcٗg$ݭwvr P8*7/Lk~I'Km1+MW%Bk|oOm>-#qj*|Dbѱkn|n{v#jĮqNpMIUm(7Liz;{ҜݞڝVƚVϬ+sO!OstGvxӉ']uӎ4g_ 1^-8ۦ k!)Ύ5O;YSB#2Zzχ;<.ֵOtge~.(RC#wFZeGZٸ6FFJ4e2ˇpJT$[wgV)q6muDGJ56q\I!̗ y/I~RtJ9kJ]Iy*'FN0s.[l!fw'y(7$œ WƫgyΙdMEU JQJv̋vmrۖ.jWR_M֨djYgSj0^\y'EoECjm$ IƩK>Z28J2TiJ2N#}.s cArl嫶nB.FIJ.)۔\ZiM>/hLĸ=C1s[?YMqp|94- 鮝𦔽/k^#NT(Y LS$6˩}{;5 )B۷W$qpN)qqoot}ZDVә;7TiK|6f3h$dԄ}fqݡ>Nb򗉉+ͶO]>ߡ_VtYf79ڰիF sq~prս|QM)g%l0ocJȨHz V;Bb/kLAcfPJ,ԭ{ƍgpjNR6VSI*$!yV足jᇑ.](EܣqM\qJ2eZT).<9UB/(B0j)mtKEj#׿fDI-=rZړj|'Nڤ]k*i$5qt"ݙPM6E4ke^Z8ۏhz$Q(R Ay2zfRñnpnkbkI:=j &ΝșW?׵d{+ύM'??XqeeĽ.[o=UxFS=ӷdZwenՄ]_X=ĭVa* pKs0ބۍfJ3 gz̚i|wnxtjc¼5${(1fXQ65ȼb̶Zkn>%FQMJXӡ{TZEVNᖣimT/37cNJUPnP҂ZOE~"-Rc4^b- FEͧtf5[)S!OZIښݲ͑;tvܡ+N)AR=hCNn;wL16-:特7M$=Tҕ-.R[HٷnXk sn[ҞD-0WS9p9:-Ϸ-jѬNu{ҹfv)[Ľvwfg(ٷfe+0mYj8Q1\ݧg]Eǎvڿc!4#j5̋C2"}BRriFp7=ô\TZ:\BLfj#I22װ<;صZl j 6:l"6]۸ K'6RTѯ^ئOԓV\?$x7s#r:Oh{ց=MmuHԷd{pN /܅:UE#Yy+(SgQ(Щ)RHzw>^Ѿݻ>mK&^ '$Jۻ&w%F|xfz%˳ L~3N?Cy9 v w/{ƿ kz3x> sXv}vP"@WyC z`'톽Dw%-tt yVY\wmuPYQA0iG-2JP,6/gˢ]u.-n!Zw.N7Q]Df}Q0({a\@=i_X7gFǘ8^⻲}G MZ1)WEfO12G+=-B@z\`||w6ċj߬m}UwRox֢I &c~XGP6Qndpvܻul'V7^FJt^{b^B(L~sѣ6@߿^xqU!ڙ5|Vpvef-uӥ^3  FSDɯKD%0r}FF穛r7 +o"V8tv̖NQU!5uFd"bCr^bJ=֤fM#ʳԷP0O-9xRBm\=`r-:;~3Tl(nXtXi%2Vٛ#vwqƴ`L@"H‹qW.j,JM5B[)WܺUeZFqc'V˷1W7V̾-MHФwn8N;HPSdݷC7&2j.W\τGŎ'Vb]c.x+Rx1%C2T{myg[qU|+m:M:շ8҉yWd)ՋWS%%:iqlʹmGwݹ WnNŤѩ5(9hTٵDdGUi-)vSs2 2{OnT$Xck n:¶(lASLeȔBjμPpTb2~N2~%^k[ܗ[Jzs0ӓHBKq[}JَA-$dFQgjxxFv4r/x*Rm% `4J(&iv7SkԲmSH1YWmx 8n.k']:Z˭_W >ڃXЩ. jTq%Aā[E}amc]D:rmHRiu:uӚӢ\p(5-q%e)(۬ҖȽIf<߽pr&ݫVfY91q2ĭEQgYbTGQ&,yL+N$[q*RVۉQ=FuTܻ>f>f㋳8N6$܌n)9&»iˤsX,݅܍ȩv+sRTpO}d?Wn/Inpȸ%O]StQO|v5\}7Zwb.AIVK^:wb{[uݯcytO߶S<{8KSRׁH̏N7ۚ[xkwYy_'ZӵF+>쌛ZUĦreE9F[24De{}@:ExWs-\ǻ7K-\JNvEk%:s˙#κ].oͳ;լ7wB6nwu:$L; DkI#Wz.:Xp(˅v$Sq,wn\qIN-e<5Oe+vuYTpcojUI_ާP8 O 7&VL8z$_B-H-[uh]T{|8=qVRN-:Ij:7PUtXϷmy鉿:RIM~33ӸS2#׳GdŲ5+/Bx{(WzȨ5Y㞎#|˖+ ط.|e<o/rߔX>7s}VE.OVti׽ .5nNJO"95{#q}Ay9do]R"M6z\tnNS-D!@3N_jicWsy*5uٮRcWv/.,j}=S)j5C^> Ie =gu9ӛqjtz]۪TMoߧI!Ǧ¶m:,"[L!{qAv-o 3{"KʼnrIkfٶj2ƙ؄S`7` k6jzޞ?e5G&6uʷ2%ԒRKE*G\Npom F/V |C0.q_eenƣ<5Oh'67ɪn[SĽ{ڔjǘzs;~׌(ۂ`ܢ1ƣ` _l9Va6%UQWh~P~\F^ZHR@:ۧCJ{ôGeBh;~ۧnU J\O+n2 RҠ)ng}Kh{5+S×ܛ.1ZjG)iRȤIN 4%{oΜ/eO[Nffd ĹK?nnԼMqX'܌nZvq<ķbFnͪaQ`5 s,M_լ?-@_{w{ӺձJ}GF[%v\5[ŒGkOw/ΜM9rjË%2+rd~+󲕛C9U۳r[aJǭm|˒LAʨSCq[XMۺoubfp:t+ΤĻo ][ zt-*67kvS7D·MMCQXm;)܎n_h%]4ܙnRk!]ڵsDUF"`R, &#R_*[z*ZqFXɻ]7|۵w+'pFDەs=r./ᐚm3Hשy yD"jHCr':sA65نѮ^o1V/ f;nFr3VM)e*- s D'H݅fӧ\*޷[k<7u<-]֍Q8R h|p=WlW3s%Q %3l}@U-K6f-NϿu|ڴmWN׮[׸F*mW\%r! C78:޳vBG7ŵ.JթԚ2x)ST!řn~9 W:Wpܢ件{xf8ٳwKE ҰWxVB\qBZ 2wMb[lGSnyԚ~z9ZmያvoN2Afnݽjf>)j3 !;gOYʹK" Wftڎ+׭b*2ϻK>ۢӱeyԪXISUm[z+ugX%0lϏnvg!;t{BqPj>PyvR7Cj]O%+ݲ :qiMj6W}3vC/R=4Som]ŗ=ю, TF6U_-\6MyskwMr&Q\wjKܩyMϣUj0*}RZܷSdY3>Zjqj6TgzpA/M`/Cmл,޻feE[/+uk^Vs1W$G(JsW2ٰu*߻q*Y޵.Wi:ur5T),=0uRmho.twܖiYwrWHntvEj8qhf`Ͻpf(R&>Ki%I7$QӖm-2 ~yߗQ-앑/ x[k8nw.c㩵k}]FkbJl:{.(˩n0Hqvαp7 귎.Gupx[N`Yq'+ruU7[ү+>!xrȫoSo]OC# d^Q]\>!ƛGw^Mx"-+%vdX-:M2UR%d>%l ioSu6lsj7D P>XxHz Ukà(n^Q V>5cVtWj SEiJdznyej[lE' 3kuٌNn4JW)gB {4 j6&]' m-(ZMEz8cz>WZ6#7+[,MR-Z!4ܓtCyE|umj1ƽvƷV\;%>Q :#Le(iVz5 4ũۤUWxX ^(ҔsլB2w-V ^R+; ˂M\z+Uwr+RWY⺧~ Q*JcYSNSλUd8in=v K낫k\IRרSUaCFmϿ5̗P|u ZTԕ}>oYѲ1sfP+sQkX8Gb~6r,s>^\,mGL+7[n-E\.Fqḕcl*Jmjb5 ,m]c}NXfeVlǸJ5eˡ$4%g~N p4Y*WwW٧<8v#;qԩTut,m"#Y D\5V`\\Lȋ];LȇiS6ϝZ l>LruR\v=ǘϔDg=ԈdFZ+M{=|,[;0>RiSi4,S5}yxw&(E7&fݙ4UՕ! ~'Id)]ǽu2K-fޭ \08Vڅ쓬=Vy^^ IhyKR-B#Ըr=]mܻӾ'*Umkoy rTqT_i,/8Q^<ݤ|4ԻO(܄"'5N~#m.(Ҿ2i6Uev&I*<}҄$eNtÛzyWJubW^iBW.܅Wڮg]irO6Ve90sgv.+sV޿aޔ[p?3q*FutUo*eL\KM'EG*ZcAFfG5J 5jj=MJ3OK:k˝'NMB7m3uFҕ\-Ywg%PRqMIyZGY9|μvn߻5cWݷa^+X֥vnݘ\v7m>Fgzv"-;Ew֝}1|RjN𿊀7g#֟*GQQ|#/bo]p$>_Un9гUbn9׃ErQBU-^vDmVh'<R[fdHT]*~}3j;nvjc7s-rӳ Y8[n[1pJx kX[Jk9Mn!_Nю6x:iZ˦U |߉^Ԛ݃hYxk &U^bwKk.[jE+P(˞=9j@snCv7%c_7=xǁ<l {t'酚+1F‹l׭:ݻILruǶkL-L(K0L1&>wXB(pm;1fpnlp֓%Skidkt(U +xulo'/ڕeN r=^pZZ:Pnj8Hf"48ijY[ N[yZٻ+=  ø:3 ?^ܷ^Sr#YK[UF?CuhC b]GM')mڏsNrܗI]ljq6VB. W,UK"YX5{c >Iqā> T:n!,5l2VzCl|+I[*SrjnS6٨y+x,@>П.g+!rn9>N|W>OZT_ut Y""v7|sfި;Pclm EùN,{'fNT%U&LfH8~1v>Il}统u6P˗c(WV~H^bMU.o*oOF0N:_:6Smr_.b+|ݶYY غF,mwjv>f*>QM뭱Sd:`N{l/⎱;n-z~"Gze퇎J5S KG9!Gn;N1 ݎ h6m|S?ɂ5'WOÞ 7|7^ao @mxGmi^jϽ>01Mf0լD3-2T. VXR"ɥV Kl J O7|u?bvа;6.eߓ|[1bmRr,eRz`z 6܎-ͨku͹Fː dPhYgZUj}nvX;z=gVեTv_J }\1n7w2J?ޘγc\E 1Aޑzq;\r]]\Y&[nsNei\uURje*Qk2CSl*xJz-xٶlm+|UjUؓ`Ladqiĩ!Gd\W~fz;Tn*PdRM&T4`չSWq5k훶(N"Ӎ% V]֦wb.nUO!u*J&Oӕ2e|Z=eV쫚΅g#+/RW:طnbi*Wyo)p{:ETKؚR(RY+r웓r(IF) VmȵNB:h Q1ғ|u8E]{,'$-TR[j49l*3"I鯴zhd>Q+\BkNF=.$ZR4Nwհ(IpNi.(Gi33#33e$FXK*NdWrud[r{xnk$v2ıh+J1TQ[#JQl[tRO]LHKٮ NӍnF񨔤֞Em'MILB"ԋ%dBŋ+p̿_17jzT~4pc Vo\ƹb9Rq-'1j;8ܗ)hE%DZKS<璸Bu*%*Yw5ڻ9ۣ^z4U; Ñk\U(o~G?VUĎ:?P?_F_Kߤ~ᓾI |pr.Ok\SklRhҪz{­P .}SktZ7UQ4ڌIM8̈eaӊJZ%FFZu,KZvln廐SNFIVtuNi?CM5]+Ph,{jN JSR$IS^tSUVrORYu.9WyP6 [Kiu m!X|]Y79ӄ)\ģ)pbڳr%*&ꑶ_-H*dzk)1 V3')UAϹٶWRxe'պn۫h7AR9 EAJeGLms!%D| A 5]/Q3eb̄vnVn%za\m kZnv([emqrIҕij|""><hjJשvvǕ|Pޟs}V~2&Z?+2N&Z4w@)4iSڪ_>/JN9Hiۏuf8'It[ȲR.hZ$ȋ_Y ~U<UUO*6b)Ovzڜj\R̋.$FsQuҊj^נ䈈y<zZIuP[}Qm=C?zN(Exqu/kn S-FzKZzOסӽjJ\)F3b!r5ٝ|;6 o=-3*λ]αb\abqRi-w޵⦪~b8Kpo)Z=>)ғ"5/GTZLE-輵f7ݘ۹~+&+w/7GFI:l33fg.N~۲\2|*cnermnnM+Fq"ѪIz%j =YW8@~gc/~?N'?)«qȸs➟n=k" X“m֮VreMh2[uݖ] *FܖN)MȐ`f0 g,C9̑o;ddudJ=In13:ݒvvdMUEJLp^,6t-@͐9'{7m{-3,>hnF;ѰM)->>+Ěz!R* :`e--m7nB\u{b U>[8֪]6^ߤLʦ\DFNo$$dͶlgno8OrsQ\l̯hRo8tuNo+ CTxu!2[>ctFpeޓƻֶR"3QrQuOѳgwQr;S~)6HhZw/GgVTmUf_yt7%$];zLWF̰xy2Ʉu!MCmš_0[W6jf#a-KLi+3Q7c^qg%s<1aYIQeZf+}>;S6L0]Yu_h9߻<ƅpmiM$AVvŚ,*#t2.8Y)-Zhshü97/#Oro"u^/uFgWɺ,p:6a,^x%$Yve^3PƗMnTP&yS}OJ '덫MH^:rXԴJۋ/rI;S*,+yz1hv)Qw^ڍJ2oL׊q(\fDj:^T%vOadɂnS}ZO)N*λdaȜkG_PIEO}нa(^iQX᯦-7^)%g'SJx(.S9zVɴZ{E ))ۅi/s7 VIV-|sj0*UBTHIqRf>FP$KqN0 R̻8j\GcC}IUz\i 6F)Q{Gҧ3qSzKj-Az VЛS-zy:8*mNk|D鿓ND2u+0Yŝ7kqm·?8Ib]u>˗^_>(]vӋzv+ݩ){vZrJ2RQ몋C$z [,pp,8mڊbR]Il .f~d/ݓs㓓mͶ{mgjQwn=Oic9ܚm4Q/6ݨ[TƧ?nԶoytf{@AzT{e{[O'ZRZt~AGD?s3􌿂ՉIw'|~U\ w~di:Kޱ)U/sU%njѩ&GSP^ǝd)..!^U` 1wX[aԇSxoFV6_扐)T 2Mfd=ۖͭiZ7KK Bi9%7@<3<ճԻU,},a}FRqɛr i@ONJvK KLN M, ʖv0n-]DwlI-X6ܶ$Jʴh5O+mOI+Ra瞠\ MG7BفjYo1#͖0V`Ѱ2M?c8>-Crt*JkIGS:e#hPKx[鱼>{5m;wcն&>j-M֥^َ) 6yȜl_w{-ō̱r> U=]iw3)r*]:K]6BdCTZ|>gf}LW}[$'Y5 &c -j.z6R 67MԷFMnÌwI7w5E}o޽+K ֵy4܌ȥW"COyR[q5Ӱ͙f[v"_#q{MV6܍3"u9BK(41ӯqˇc${ߝCi6I(OmθzҜ5k^:>Jzw.>qV8{vU[ڶEm|DžBz].KHjI]x;Mɗ{m,qZXr忇2u^RO2Z}ZێS[2Jen!*NDcrBUً4<ǼMҲs1Zw57c3&ĖڻzmP*FuJG1-dN:|OU}ҵgi2t~F^^Z.VxjvŧnNNh<:]^~NN+ge^g.SԔGFe߯'[vn'(ScJ]kܗ7eJOlRrfziݮq̋S"\*U<*W]k$FջV}? 7g#֟*GQQ|#/bo]p$>_Un9;l S VvQU%OLU{οmU6bZ1MTx%!֙Q7, J=!3 ;Q,ڌ;6ͱ݅q^&ߔ·n #WbwӖX.HtG)N&d̵zpI,n cu ޖUj+VXUp[w]N o.J6Z8Ts&utxln;~HPHS/xw`G\ʡ¿rj Z^vt"[L:SD\h0sUwR,}[x^X,R2Vn< ]2YDr[SRKs8tXb̷G?Ps Tv 3be,zVz D[/I.KOEQrm'$7|[J>r S`5յwT#\w1FTz\Ԛ &"ׅhSHrD\'r]~/>p;:Piuu:"9ő=tTaS7V2rӷk7mb[^WmPp*[y.Þ6f]cizJCgRR@UVl큝.WJP1N{/\whZ ػϧӱE7|E֫Sί.x-Y&pi%v''-x6r'Ws*6=DwwUu]=C?MK [yrtܒG$!WGqJ*%SAz ED[^)/tė/g=#Omd.|^n/sl׉g DZqemqowݮRzUܜ=ڽ-o/Iۖ;qVʘgPp|mm;6zGl9.8pwWgsJ2qPbe}}UpNjٯ}7TMQKrؽtEx%v w߾8%|j;~|}pK]ơ/ w߾8%|j;~|}pK]ơ/ w&~e_H 8PL7:%ʭ5Kw&U2vwR_+rm'}C7#rWoO&HoG?M$UR7{FU]u ;# !Wk`|W>׹潇9Vn)6)*ҹ{%qV4q>W1vi#T"Qk&GwxcJBJ- Ϸ^ˁxkU}ԣ/3.;]J=<*)cS)ROK9H=,r zX @)cS)Da^ԽQ gxJI=w֣gf*TRj

• Received: February 27, 2025   • Revised: March 28, 2025   • Accepted: May 24, 2025

Copyright © The Korean Society for Precision Engineering

This is an Open-Access article distributed under the terms of the Creative Commons Attribution Non-Commercial License (http://creativecommons.org/licenses/by-nc/3.0) which permits unrestricted non-commercial use, distribution, and reproduction in any medium, provided the original work is properly cited.

  • 70 Views
  • 6 Download
prev next
  • In the case of TV products, space constraints and design requirements make it advantageous to use a worm gear that has a small volume and a self-locking function. Single enveloping worm gear teeth are classified as ZA, ZN, ZK, ZI, and ZC according to international standards. However, combining worm shafts and worm wheels with different tooth profiles can significantly worsen meshing transmission errors and reduce the lifespan of the worm gear. Despite these challenges, due to processing limitations, ease of manufacturing, and cost reduction, combinations of worm shafts and worm wheels with different tooth profiles are still considered. In this study, we confirmed the meshing transmission error for a worm gear that combined a ZA tooth shape worm shaft with a ZI tooth shape worm wheel. Additionally, we examined the contact stress and fatigue life characteristics of the material combinations using finite element analysis (FEM).

T. E

Transmission Error

θ' 2

Angular Displacement of Gear, (θ2 + Δθ2) (rad)

rb 2

Reference Diameter of Gear (mm)

θ 1

Angular Displacement of Pinion (rad)

rb 1

Reference Diameter of Pinion (mm)

θ 1

Theory Angular Displacement of Gear (rad)

θw

Rotation Angle of Worm Wheel
TV 트랜드 변화와 소비자 라이프스타일을 고려하여 다양하고 복잡한 디자인이 요구되고 있다. 급변하는 시장 환경에 대응하기 위하여 기존의 정적인 TV 제품과 더불어 구동 메커니즘이 적용된 TV도 개발되고 있다. 특히 TV 제품의 경우 디자인이 슬림하며, 이에 따라 구동 메커니즘 적용을 위해 웜 기어(Worm gear)를 고려한다. 웜 기어는 작은 공간에 큰 감속비를 구현할 수 있으므로 구동 메커니즘이 적용된 TV 제품에 적합하다. 본 연구에서는 웜 기어 가공업체의 기술적 한계 및 가공 용이성, 비용 절감 등의 이유로 ZA 치형의 웜 샤프트와 ZI 치형의 웜 휠을 고려하였다. 서로 다른 치형의 웜 기어 설계 시 전달 오차(Transmission Error)를 확인해야 하며, 웜 기어의 치면 접촉에 의한 응력을 계산하기 위해서는 유한요소해석을 통하여 접촉패턴을 확인 할 수 있다. 유한요소해석은 웜 기어의 치면에 가해지는 응력과 변형량을 계산할 수 있으며, 웜 기어의 복잡한 치면 형상을 고려할 수 있다는 장점이 있다. 이러한 이점 때문에 많은 연구자들은 기어의 응력 분포 및 접촉패턴을 확인하기 위하여 유한요소해석에 대한 연구를 수행하였다. Lee 등은 스퍼 기어(Spur gear)의 유한요소해석 결과와 루이스식 계산 결과를 비교하고 분석하였다[1]. Lee 등은 스퍼 기어의 유한요소해석 결과와 AGMA 규격을 통해 계산된 접촉응력을 비교·분석하였다[2]. Lee 등은 치면의 불확정성을 고려한 기어 전달 오차 분석 연구를 하였다[3]. Kim 등은 스퍼 기어의 유한요소 모델링 조건에서 접촉응력 분포 및 최대 전달 오차와 해석 소요 시간 차이의 원인을 분석하였다[4]. Sohn 등은 높은 리드각의 원통형 웜 기어에서 웜 휠(Worm Wheel)의 비대칭적 크라우닝(Crowning)을 가공용 호브(Hob) 사양과 호브 커터(Hob Cutter)를 조절하여 웜 휠 사이의 거리 와 각도를 적절하게 조정하여 대칭적 크라우닝으로 바꿀 수 있다는 것을 유한요소해석으로 검토하였다[5]. Lee 등은 ZI 및 ZA 치형의 웜 기어를 수치해석 모델을 이용하여 전달 오차를 계산하였다[6]. Choi 등은 ZA 치형 웜과 인벨류트(Involute) 헬리컬(Helical) 기어의 접촉응력 특성을 유한요소해석 방법에 대하여 모색하였다[7]. Kim 등은 ZA 치형의 웜과 ZI 치형의 웜 휠을 조합한 웜 기어의 전달 오차와 접촉 패턴을 확인하고 해석을 통하여 접촉응력 분포 특성을 연구하였다[8]. Yeo 등은 싱글 인벨로핑 웜 기어의 치형에 따른 이상 소음과 피로 수명의 영향인자를 규명하기 위해 웜 기어의 치형 측정 방법에 대하여 연구하였다[9]. Sohn 등은 항공기 조향 작동기에 적용된 싱글 인벨로핑 웜 기어의 치형에 따른 응력분포를 유한 요소 해석을 통하여 비교하였다[10]. 일반적으로 스퍼·헬리컬 기어의 경우 유한요소해석 결과와 기어 전달 오차의 상대성을 분석하는 연구들이 활발하게 진행되어왔다. 하지만 웜 기어와 같이 치면이 인벨류트 곡면으로 이루어진 특수한 형상의 경우 유한요소해석을 통한 접근보다는 실험을 통해서 전달 오차의 경향성을 확인하여 피로 수명과의 연관성을 분석하는 연구들이 많이 진행되었다. 최근 유한요소해석 S/W의 발전으로 웜 기어의 접촉 패턴과 응력분포 결과를 이용한 전달 오차 연구들이 다수 진행되어 왔다. 하지만 여전히 유한요소해석을 통해 다양한 설계 인자가 미치는 영향을 분석하기에는 많은 시간과 자원이 요구되고 웜 기어 구동 해석 모델을 이용한 피로 수명 예측에 대한 연구는 찾아보기 힘들다.
이에 본 연구에서는 해당 웜 기어의 전달 오차 경향성을 수치해석모델로 확인하고 웜 기어 구동 조건을 유한요소해석 조건에 따라 피로해석으로 연계하여 구동 수명을 예측하는 방법론을 제시하고자 한다.
2.1 기어 제원
본 연구에 사용된 기어는 서로 다른 치형(Worm Shaft: ZA, Worm Wheel: ZI)의 싱글 인벨로핑 웜 기어이며, 형상은 Fig. 1과 같다. 상세 제원은 Table 1과 같다.
Fig. 1

Geometry of the Worm & Worm wheel gear pair

KSPE_2025_v42n8_595_f001.jpg
Table 1

Specification of the Worm & Worm wheel gear pair

Table 1
Description Worm shaft Worm wheel
Module [mm] 0.94
Pressure angle [o] 11
Number of teeth 1 10
Pitch diameter [mm] 7.8 9.4
Face width [mm] - 7.4
Addendum 0.21 1.28
Dedendum 1.99 0.7
본 연구에 사용된 기어의 경우 슬림한 디자인에 구동 메커니즘이 적용된 TV 제품이며, 약 7 kg의 기구물을 상하 작동시키기 위한 기어 제원이다. 따라서 일반적이지 않고 특수한 용도에 사용되기 위하여 설계되었다.
2.2 웜 기어 수명 예측 프로세스
TV 제품 디자인이 확정되고 구동 메커니즘이 적용될 공간이 결정되면 해당 기구물을 작동시키기 위해 구동 메커니즘 요소들의 사양을 결정한다. 또한 소비자에게 제품 품질을 만족시키기 위하여 다양한 품질 Test를 거치게 되며, 특히 구동 Test는 많은 시간이 소요된다.
이에 따라 TV 구동 메커니즘에 적용된 웜 기어의 수명을 예측하기 위하여 Fig. 2와 같이 프로세스를 정립하였다.
Fig. 2

Process of worm gear life prediction

KSPE_2025_v42n8_595_f002.jpg

2.2.1 전달 오차 & 접촉 패턴

기어 구동 메커니즘 시스템은 진동 및 이상 소음의 주요한 영향인자이다. TV의 경우 주로 실내에 배치하기 때문에 기어 구동 메커니즘 적용으로 소음이 발생할 때 소비자 클레임으로 연결된다. 따라서 기구 부하에 따른 기어 사양 선정, 구동 입·출력에 따른 기어비, 기어 전달 오차를 고려하여야 한다. Fig. 3과 같이 기어 치면 형상이 완벽한 인벨류트 곡면이며, 기어의 변형이 없다고 가정하면 기어비에 따른 입·출력값은 유지될 것이다[11]. 그러나 피동 기어(Driven Gear)의 회전각은 기구 부하에 의한 치 탄성 변형, 구동축 처짐, 치 형상 오차 등의 이유로 실제 회전각의 차이가 발생한다[12]. 이것을 전달 오차라고 하며, 전달 오차가 커지면 기어가 구동할 때 기어의 성능 저하 및 진동 소음에 원인이 된다[13]. 전달 오차는 식(1)과 같이 기어의 각 변위와 기초원의 곱과 피니언(Pinion)의 각 변위와 기초원 곱의 차로 계산된다[14].
Fig. 3

Definition of transmission error [14] (Adapted from Ref. 14 on the basis of OA)

KSPE_2025_v42n8_595_f003.jpg
(1)
T.E=θ'2rb2-θ1rb1
설계한 기어 제원의 전달 오차 값이 적절하다고 판단되면, 접촉패턴을 확인한다[5]. 접촉패턴을 확인하는 이유는 웜 휠 치면에 웜 샤프트(Worm Shaft)의 접촉 경로를 확인하고 기어 제원이 정량적으로 설계가 되었는지 검토하기 위해서이다. 또한 유한요소해석을 통하여 기어 치면의 응력 분포를 확인하고 치면에 골고루 부하가 작용될 수 있도록 검토하기 위함이다.

2.2.2 유한요소해석

Fig. 4는 본 연구에서 검토한 웜 기어의 해석 모델의 구동 조건과 부하 조건을 도식화한 것이다. 기어 유한요소해석은 웜 휠의 초기 부하 조건에서 웜 샤프트가 밀어내는 구동 조건으로 재료의 변형이 일어날 수 있으며, 웜 샤프트와 웜 휠 간의 치면을 서로 긁는 형태의 접촉으로 재료 비선형 및 접촉 비선형을 고려하여 Non-linear Static으로 수행되었다. Fig. 5와 같이 해당 모델의 요소(Element) 개수는 219,733개, 평균 요소 길이는 0.2 mm, 요소의 형태는 Penta & Hexa Type을 혼합한 3D 요소로 생성하였다. 본 연구에서는 1주기의 치물림 사이클로 기어 형상을 단순화하여 유한요소해석을 수행하였다. 부하 조건은 웜 샤프트가 360o 회전할 때 웜 휠의 기구 부하는 600 Nmm 조건이며, 기어의 치면 접촉 알고리즘 조건은 Penalty Method를 사용하였다. 자사의 인장시험을 통하여 취득한 소재 물성의 Stress-Strain Curve는 Fig. 6과 같으며 Table 2와 같이 정리하였다. 기어 구동 조건의 유한요소해석을 검토하기 위해 상용 프로그램인 Altair 사의 Optistruct를 사용하였다.
Fig. 4

Analysis model of worm gear

KSPE_2025_v42n8_595_f004.jpg
Fig. 5

Finite element mesh of worm gear

KSPE_2025_v42n8_595_f005.jpg
Fig. 6

Mechanical properties of worm gear

KSPE_2025_v42n8_595_f006.jpg
Table 2

Mechanical properties of each material combination

Table 2
Case Material Young’s
modulus
Density Poisson’s
ratio
#1 Worm
shaft
SCM440 203GPa 7.86e-6 0.3
Worm
wheel
CAC304 109GPa 8.73e-6 0.34
#2 Worm
shaft
SCM440 203GPa 7.86e-6 0.3
Worm
wheel
CAC703 112GPa 8.73e-6 0.34
#3 Worm
shaft
SCM440 203GPa 7.86e-6 0.3
Worm
wheel
SUS316L 124GPa 7.85e-6 0.3
#4 Worm
shaft
CAC304 109GPa 8.73e-6 0.34
Worm
wheel
POM 1.9GPa 1.41e-6 0.44

2.2.3 피로 해석

TV 제품의 구조물이 실제 구동되는 웜 기어의 경우 단순 굽힘하중뿐만 아니라 복잡한 반복 하중으로 기어 손상이 발생한다. 본 연구에서는 유한요소해석을 통하여 얻는 임의의 하중 이력(Radom Loading History)을 통하여 피로해석(Fatigue Analysis)을 수행하였다. Fig. 7은 유한요소모델에서 138개 Load Case 중 Critical Node의 등가응력 이력을 나타낸 것이다. 임의의 복잡한 하중을 받는 기어의 수명을 예측하기 위해서는 단순화된 하중 이력으로 줄여야 한다. 본 연구에서는 가장 일반적으로 사용되고 있는 Rainflow Counting 기법을 사용하였다. Fig. 8은 유한요소해석 결과에서 얻은 138개의 Load Case에 대하여 Rainflow Counting을 수행한 결과이다. 그 결과 6개 블록의 피로 수명을 얻을 수 있었다. 본 연구에서 피로해석을 수행하기 위하여 피로해석 상용 프로그램인 FEMFAT S/W를 사용하였다.
Fig. 7

Loading history for random fatigue analysis

KSPE_2025_v42n8_595_f007.jpg
Fig. 8

Result of rainflow counting for random loading history

KSPE_2025_v42n8_595_f008.jpg
2.3 기어 검토 결과

2.3.1 전달 오차 & 접촉 패턴 결과

Table 1의 기어 제원을 이용하여 전달 오차와 웜 기어의 접촉 패턴을 확인하기 위하여 Sohn [5] 등이 연구한 방법으로 수행하였다.
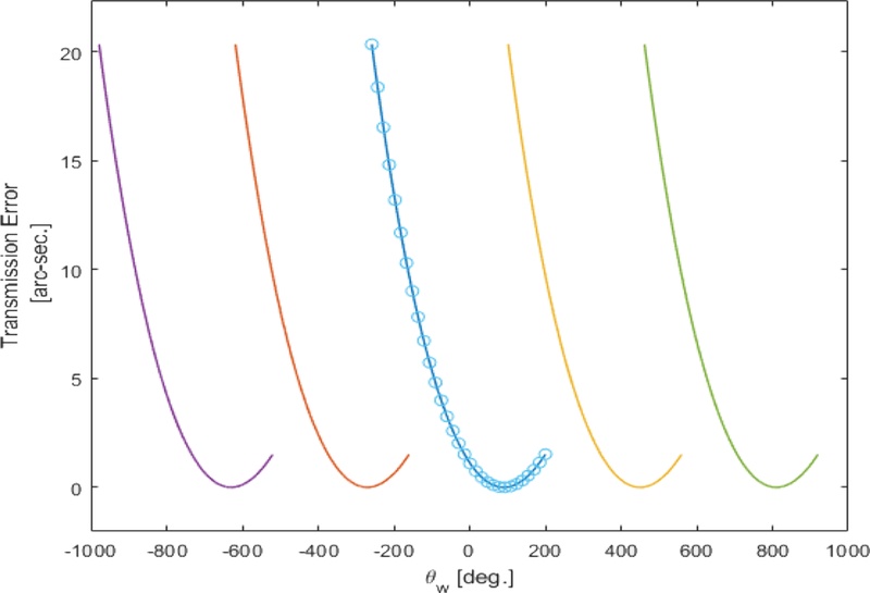
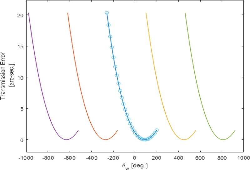
전달 오차의 경우 arc-sec 단위를 적용했는데 arc-sec는 3600분의 1o 수준을 의미한다. Fig. 9는 해당 기어의 전달 오차 해석 결과이다. 약 20.3 arc-sec 수준으로 확인했고, 자사 기준을 만족하는 수준으로 확인되었다. 분석해 보면 웜 샤프트가 회전할 때 웜 휠과 접촉이 되는데 기어 제원 특성상 웜 휠의 회전각이 기어비에 의한 위치보다 덜 회전할 것으로 예상된다. Fig. 10은 해당 기어의 접촉 패턴을 나타낸 것이다. R [mm]은 웜 휠 치면 높이 축이고, t [mm]는 웜 휠의 치폭 축이다. 웜 샤프트와 웜 휠 간의 접촉 면적은 넓게 분포될 것으로 예상되며, 접촉 압력 수준은 상대적으로 낮게 나타날 것으로 예상하였다. 또한 웜 샤프트의 접촉 경로는 웜 휠 치면 가운데 위치할 것으로 확인할 수 있었다.
Fig. 9

Transmission error of worm gear (arc-sec)

KSPE_2025_v42n8_595_f009.jpg
Fig. 10

Contact pattern of Worm gear

KSPE_2025_v42n8_595_f010.jpg

2.3.2 유한요소해석 결과

TV 제품에 적용되는 웜 기어의 부하 조건과 구동 조건을 고려하여 유한요소해석을 수행하였다. AGMA [15]에 의하면 웜 샤프트 소재는 웜 휠의 소재보다 경질을 선택해야 한다. 따라서 크롬몰리브덴강(SCM440)과 황동(CAC304) 조합을 고려하였다. 두 소재의 탄성계수(Young's Modulus)를 비교해 보면 SCM440: 203 GPa, CAC304: 109 GPa이다. 산업군에서 일반적으로 사용하는 소재 조합으로 가공 용이성 및 기구 부하에 따른 내구 수명에 적합하다. 따라서 SCM440 & CAC304 조합의 웜 기어 접촉해석을 통해 계산된 각 구간별 최대 접촉 압력(Contact Pressure) 수준을 Fig. 11과 같이 도식화하였다. 여기서 Load Factor는 웜 샤프트가 360o 1회 회전하는 것을 1로 하고 증분한 값이다. 검토 결과 최초 웜 샤프트가 웜 휠에 진입할 때 이 끝부분 모서리에서 가장 높은 압력을 나타내었다. 그 이유는 웜 샤프트가 웜 휠에 접촉할 때 이 끝 모서리가 상대적으로 좁은 치면에 해당하기 때문이다. 접촉 압력 수준으로는 이 끝 모서리부에서 756 MPa을 나타내었고, 치면 접촉이 발생하는 부분에서는 약 430-630 MPa 수준을 나타내었다. 이뿌리 부분에서는 434 MPa 수준을 나타내었고, Max-Min 범위는 약 322 MPa 수준으로 대체로 안정적인 분포를 나타냈다. Fig. 12는 구간별 접촉 압력 패턴을 나타낸 것이다. 기어 제원을 이용하여 계산된 접촉 패턴 Figs. 10과 12를 비교한 결과, 접촉 압력분포는 웜 휠 가운데 위치하며, 선 접촉을 확인할 수 있었다.
Fig. 11

Distribution of maximum contact pressure

KSPE_2025_v42n8_595_f011.jpg
Fig. 12

Contact pressure pattern for each section

KSPE_2025_v42n8_595_f012.jpg
SCM440 & CAC304 조합 외 3가지 조합을 추가로 검토하고 접촉 압력을 분석하였다. 각 소재 조합을 적용하여 유한요소해석을 수행하였고, 구간별 최대 접촉 압력 수준을 Fig. 13과 같이 비교하였다. 웜 샤프트 소재를 SCM440으로 고정하고 웜 휠 소재만 각각 CAC304, CAC703, SUS316L 소재로 변경하여 비교한 결과, 최대 접촉 압력 경향성은 유사하다고 판단할 수 있었다. 웜 샤프트 소재를 CAC304로 하고 웜 휠 소재를 POM 소재를 적용할 때 낮은 접촉 압력 분포를 나타내었다. 단순히 접촉 압력 관점에서는 유리하다고 판단할 수 있지만, 본 연구에서의 구동 부하 조건은 레진(Resin) 소재를 적용할 때, 내구성의 문제가 발생할 가능성이 있다. 본 유한요소해석 결과를 바탕으로 각 소재 조합에 따른 접촉 압력 수준을 확인하였다. 소재 강성 및 재료비를 고려해 볼 때, SCM440 & CAC304 조합이 가장 유리하다고 판단할 수 있다.
Fig. 13

Description of maximum contact pressure for each material combination

KSPE_2025_v42n8_595_f013.jpg

2.3.3 피로해석 결과

각각의 소재 조합을 비교한 유한요소해석 결과를 기반으로 피로해석을 수행하였고, 피로 수명을 평가하였다. 피로해석의 경우 유한요소해석 결과의 응력 Tensor 성분을 이용하여 복잡한 하중 데이터를 응력진폭, 평균응력, 피로 사이클을 단순화하는 Rainflow Counting 기법을 이용하고 계산된 응력진폭과 피로 사이클을 소재의 S-N Curve에 적용하여 수명을 평가한다[16]. Fig. 14는 자사가 보유하고 있는 피로 물성을 그래프로 도식화한 것이며, 웜 휠에 적용하기 위해 검토한 소재의 S-N Curve 이다. 각 소재의 S-N Curve를 비교해 보면 SUS316L, CAC304, CAC703, POM 순으로 높은 피로강도를 나타낸다. 본 연구에서는 각 소재별 웜 휠의 피로 수준을 검토하기 위하여 FEMFAT S/W를 사용하였다. Fig. 15와 같이 구조적 형상과 하중 사이클을 고려한 평균응력으로 소재의 S-N Curve를 보정하여 피로해석 결과로 도출한다. 또한 본 S-N 선도에서는 내구한도 이후에 Modified Miner Rule을 사용하였는데, 내구 한도는 특정 응력 이하에서는 무한히 수명을 보장한다고 가정하지만, 실제로는 극히 낮은 응력에서도 매우 긴 시간이 지나면 피로 파괴가 발생할 수 있다. 따라서 Modified Miner Rule을 사용하여 보다 정확한 피로 수명을 예측할 수 있다[17]. Table 3은 각 웜 휠에 적용할 소재들의 피로파괴가 발생하지 않은 응력 수준을 확인하기 위해 내구 한도(Endurance Limit)와 내구 수명(Cycle Limit)을 정리하였다. 먼저 내구 한도를 비교해 보면 CAC304는 350.8 MPa, CAC703은 315 MPa이며, SUS316L은 293.8 MPa 수준으로 나타났다. 세 가지 소재의 웜 샤프트는 SCM440으로 동일하다. 참고로 POM 경우 레진 소재 적용을 가정하고 수행한 결과로 내구 한도는 43.1 MPa로 나타났는데, 웜 샤프트 소재는 CAC304 소재이다. POM의 경우 소재 특성상 고온환경에 약하므로 실 제품 적용에는 배제하였다. Table 4는 각 소재들의 Critical Node의 피로해석 결과로 평균응력, 응력진폭, 응력비, 진폭비를 나타낸 것이며, Table 5는 각 소재들의 1/Damge (Cycle) 결과를 나타낸 것이다. 결과를 종합해 보면 웜 샤프트는 SCM440을, 웜 휠에는 CAC304 소재를 적용할 때 4가지 조합 중 가장 높은 피로 수명을 나타냈다.
Fig. 14

Material of worm gear: S-N curve

KSPE_2025_v42n8_595_f014.jpg
Fig. 15

Fatigue analysis results of worm gear: S-N curve

KSPE_2025_v42n8_595_f015.jpg
Table 3

Fatigue analysis results of worm gear: Endurance limit & cycle limit

Table 3
Material Endurance limit [MPa] Cycle limit [N]
CAC304 350.8 4.89E+06
CAC703 315 4.34E+06
SUS316L 293.8 4.98E+05
POM 43.1 9.13E+05
Table 4

Fatigue analysis results of worm gear: Mean Stress, stress amplitude, stress ratio, amplitude ratio

Table 4
Material Mean
stress
Stress
amplitude
Stress
ratio
Amplitude
ratio
CAC304 -83.29 109.80 -7.28 -1.32
CAC703 -84.12 112.00 -7.03 -1.33
SUS316L -84.83 114.50 -6.73 -1.35
POM -26.20 27.91 -31.52 -1.07
Table 5

Fatigue analysis results of worm gear: 1/Damage

Table 5
Material CAC304 CAC703 SUS316L POM
1/Damage 4.30E+11 1.63E+11 7.15E+07 6.46E+07
본 연구에서 TV 구동 메커니즘에 적용할 서로 다른 치형(Worm Shaft: ZA, Worm Wheel: ZI)의 싱글 인벨로핑 웜 기어의 수명 예측 프로세스를 정립하였다. 웜 기어 제원을 이용하여 전달 오차 결과를 분석하고, 접촉 패턴을 확인하였다. 해당 웜 기어의 구동 조건과 부하 조건을 묘사한 유한요소해석을 수행하였고, 각 소재 조합의 접촉 압력을 평가하였다. 해당 기어 제원으로 산출된 접촉 패턴과 유한요소해석을 통하여 접촉 압력 분포를 비교하여 기어 제원의 타당성을 검증하였다. 각각의 소재 조합으로 피로해석을 수행하였고, 각 소재의 내구 한도 및 내구 한도 사이클을 도출하였고, 피로 수명을 평가하였다. 그 결과 해당 구동 조건에서 최적의 소재를 선정하였다.
  • 1.
    Lee, K.-W., Ban, J.-S., Kim, G.-H., Cho, K.-Z., (2002), A study on stress analysis of spur gear using fem, Journal of the Korean Society for Precision Engineering, 19(2), 171-176.
  • 2.
    Lee, J.-H., Lee, D.-H., Lee, K.-H., (2010), Contact stress analysis of a pair of mating spur gears, Journal of the Korean Society of Manufacturing Process Engineers, 9(4), 59-65.
  • 3.
    Lee, J., Choi, H., Sohn, J., Lee, G., Kim, J.-G., (2020), Analysis of gear transmission error for tooth surface with uncertainties, Proceedings of the Korean Society for Noise and Vibration Engineering 2020 Spring Conference, 66-66.
  • 4.
    Kim, J., Sohn, J., Kim, M.-G., Lee, G., Kim, S., (2023), Analysis of the transmission error of spur gears depending on the finite element analysis condition, Journal of the Computational Structural Engineering Institute of Korea, 36(2), 121-130.
    10.7734/COSEIK.2023.36.2.121
  • 5.
    Sohn, J., Park, N., (2017), Modified worm gear hobbing for symmetric longitudinal crowning in high lead cylindrical worm gear drives, Mechanism and Machine Theory, 117, 133-147.
    10.1016/j.mechmachtheory.2017.07.004
  • 6.
    Lee, T.-H., Suh, J., Park, N.-G., (2018), Transmission error analysis of zi and za profile worm gears, Tribology and Lubricants, 34(6), 325-331.
  • 7.
    Choi, J., Suh, J., Park, N., Lee, T., (2019), Contact stress analysis of za type worm gear flexible and rigid body models, Proceedings of the Tribology and Lubricants, 34(6), 325-331.
  • 8.
    Kim, D., Yeo, J, Oh, S., Choi, W., Sohn, J., (2022), study on the contact characteristics of the worm gear combining za worm and zi worm wheel for the application of tv driving mechanism, Proceedings of the Korean Society for Precision Engineering 2022 Autumn Conference, 327-327.
  • 9.
    Yeo, J., Kim, D., Oh, S., Choi, W., Sohn, J., (2022), A comparative study of three-dimensional tooth measurement methods for establishing tooth shape management standards for long-spherical worm wheels, Proceedings of the Korean Society for Precision Engineering 2022 Autumn Conference, 169-169.
  • 10.
    Sohn, J., Choi, J., Kim, T., Moon, S. and Kim, S., (2023), Improvement of tooth root strength of aircraft steering drive worm gear through tooth modification, Transactions of the KSME A, 47(10), 797-804.
    10.3795/KSME-A.2023.47.10.797
  • 11.
    Song, J.-S., Lee, G.-H., Park, Y.-J., Bae, D.-S., Lee, C.-H., (2012), Development of gear stiffness module for multi-body dynamic analysis on gears, Journal of the Korean Society of Manufacturing Technology Engineers, 21(1), 130-136.
    10.7735/ksmte.2012.21.1.130
  • 12.
    Lee, H. K., Lee, S. H., Ku, H. I., Yoo, D. K., Won, K. M., Lee, T. H., (2016), Development of a transmission error measurement system and its adaptation to a manufacturing line, Transactions of the Korean Society for Noise And Vibration Engineering, 26(4), 420-427.
    10.5050/KSNVE.2016.26.4.420
  • 13.
    Lee, N. G., Kim, Y. J., Kim, W. S., Kim, Y. S., Kim, T. J., Baek, S. M., Choi, Y., Kim, Y. K., Choi, I. S., (2020), A study on the improvement of transmission error and tooth load distribution using micro-geometry of compound planetary gear reducer for tractor final driving shaft, Journal of Drive and Control, 17(1), 1-12.
  • 14.
    Moon, S.-P., Lee, J.-Y., Moon, S.-G., Kim, S.-C., (2021), A study on the development of gear transmission error measurement system and verification, Journal of the Korean Society of Manufacturing Process Engineers, 20(12), 136-144.
    10.14775/ksmpe.2021.20.12.136
  • 15.
    ANSI/AGMA 6022-C93, (2014), Design manual for cylindrical worm gearing.
  • 16.
    Gaier, C., Unger, B., Vogler, J., (1999), Theory and applications of FEMFAT-A FE-Postprocessing tool for fatigue analysis, Fatigue'99: Seventh International Fatigue Congress, 821-826.
  • 17.
    Hwang, W., Han, K., (1986), Cumulative damage models and multi-stress fatigue life prediction, Journal of Composite Materials, 20(2), 125-153.
    10.1177/002199838602000202
Dong Uk Kim
KSPE_2025_v42n8_595_bf001.jpg
Senior researcher in the TV CAE Team, Division of Media Entertainment Solution, LG Electronics Inc. His research interest is Mechanical Structure Analysis.
Tae Bae Kim
KSPE_2025_v42n8_595_bf002.jpg
Chief researcher in the TV CAE Team, Division of Media Entertainment Solution, LG Electronics Inc. His research interest is Structure & Injection Molding Analysis.
Il Joo Chang
KSPE_2025_v42n8_595_bf003.jpg
Chief researcher in the TV CAE Team, Division of Media Entertainment Solution, LG Electronics Inc. His research interest is Mechanical Structure Analysis.

Download Citation

Download a citation file in RIS format that can be imported by all major citation management software, including EndNote, ProCite, RefWorks, and Reference Manager.

Format:

Include:

Study on the Life Prediction Analysis Methodology of Worm Gear for the TV Driving Mechanism
J. Korean Soc. Precis. Eng.. 2025;42(8):595-602.   Published online August 1, 2025
Download Citation

Download a citation file in RIS format that can be imported by all major citation management software, including EndNote, ProCite, RefWorks, and Reference Manager.

Format:
Include:
Study on the Life Prediction Analysis Methodology of Worm Gear for the TV Driving Mechanism
J. Korean Soc. Precis. Eng.. 2025;42(8):595-602.   Published online August 1, 2025
Close

Figure

  • 0
  • 1
  • 2
  • 3
  • 4
  • 5
  • 6
  • 7
  • 8
  • 9
  • 10
  • 11
  • 12
  • 13
  • 14
Study on the Life Prediction Analysis Methodology of Worm Gear for the TV Driving Mechanism
Image Image Image Image Image Image Image Image Image Image Image Image Image Image Image
Fig. 1 Geometry of the Worm & Worm wheel gear pair
Fig. 2 Process of worm gear life prediction
Fig. 3 Definition of transmission error [14] (Adapted from Ref. 14 on the basis of OA)
Fig. 4 Analysis model of worm gear
Fig. 5 Finite element mesh of worm gear
Fig. 6 Mechanical properties of worm gear
Fig. 7 Loading history for random fatigue analysis
Fig. 8 Result of rainflow counting for random loading history
Fig. 9 Transmission error of worm gear (arc-sec)
Fig. 10 Contact pattern of Worm gear
Fig. 11 Distribution of maximum contact pressure
Fig. 12 Contact pressure pattern for each section
Fig. 13 Description of maximum contact pressure for each material combination
Fig. 14 Material of worm gear: S-N curve
Fig. 15 Fatigue analysis results of worm gear: S-N curve
Study on the Life Prediction Analysis Methodology of Worm Gear for the TV Driving Mechanism
Description Worm shaft Worm wheel
Module [mm] 0.94
Pressure angle [o] 11
Number of teeth 1 10
Pitch diameter [mm] 7.8 9.4
Face width [mm] - 7.4
Addendum 0.21 1.28
Dedendum 1.99 0.7
Case Material Young’s
modulus
Density Poisson’s
ratio
#1 Worm
shaft
SCM440 203GPa 7.86e-6 0.3
Worm
wheel
CAC304 109GPa 8.73e-6 0.34
#2 Worm
shaft
SCM440 203GPa 7.86e-6 0.3
Worm
wheel
CAC703 112GPa 8.73e-6 0.34
#3 Worm
shaft
SCM440 203GPa 7.86e-6 0.3
Worm
wheel
SUS316L 124GPa 7.85e-6 0.3
#4 Worm
shaft
CAC304 109GPa 8.73e-6 0.34
Worm
wheel
POM 1.9GPa 1.41e-6 0.44
Material Endurance limit [MPa] Cycle limit [N]
CAC304 350.8 4.89E+06
CAC703 315 4.34E+06
SUS316L 293.8 4.98E+05
POM 43.1 9.13E+05
Material Mean
stress
Stress
amplitude
Stress
ratio
Amplitude
ratio
CAC304 -83.29 109.80 -7.28 -1.32
CAC703 -84.12 112.00 -7.03 -1.33
SUS316L -84.83 114.50 -6.73 -1.35
POM -26.20 27.91 -31.52 -1.07
Material CAC304 CAC703 SUS316L POM
1/Damage 4.30E+11 1.63E+11 7.15E+07 6.46E+07
Table 1 Specification of the Worm & Worm wheel gear pair
Table 2 Mechanical properties of each material combination
Table 3 Fatigue analysis results of worm gear: Endurance limit & cycle limit
Table 4 Fatigue analysis results of worm gear: Mean Stress, stress amplitude, stress ratio, amplitude ratio
Table 5 Fatigue analysis results of worm gear: 1/Damage